Synthesis of Titanium Oxide Nanotubes Loaded with Hydroxyapatite
Abstract
:1. Introduction
2. Materials and Methods
2.1. Experimental Procedures
2.2. Analytical Methods
2.3. Statistical Analysis
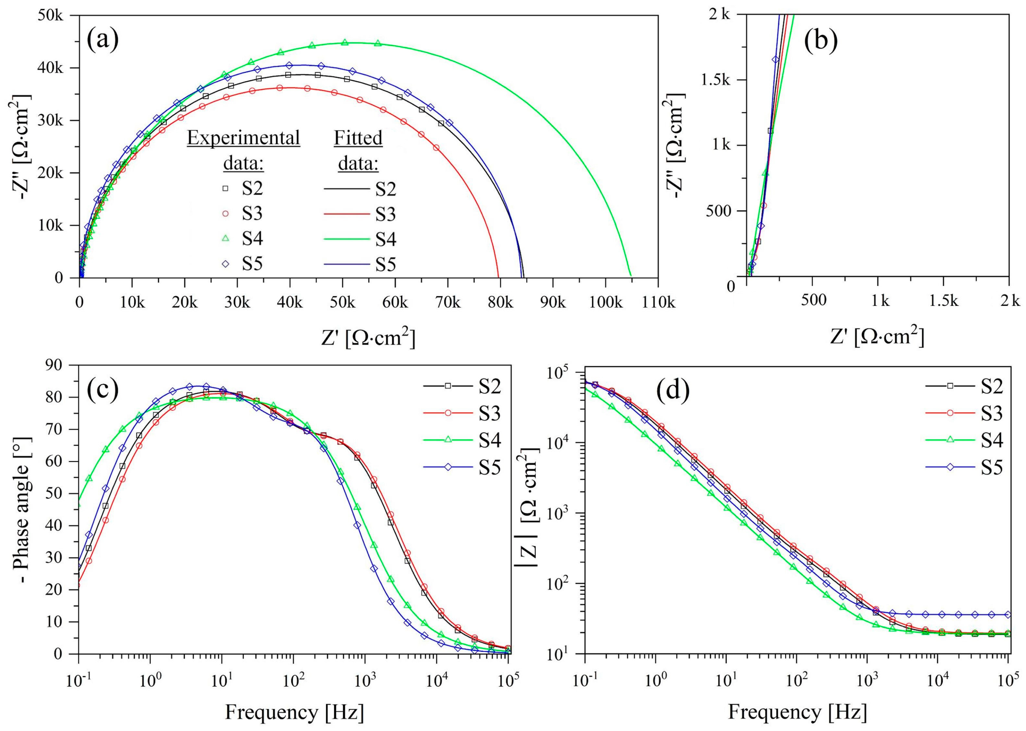
3. Results and Discussions
3.1. Anodizing Process
3.2. Morphology
3.3. XRD Analysis
3.4. Contact Angle
3.5. Electrochemical Test
4. Conclusions
Author Contributions
Funding
Institutional Review Board Statement
Informed Consent Statement
Data Availability Statement
Acknowledgments
Conflicts of Interest
References
- Li, Y.; Nam, C.T.; Ooi, C.P. Iron (III) and manganese (II) substituted hydroxyapatite nanoparticles: Characterization and cy-totoxicity analysis. J. Phys. Conf. Ser. 2009, 187, 012024. [Google Scholar] [CrossRef]
- Niinomi, M.; Nakai, M.; Hieda, J. Development of new metallic alloys for biomedical applications. Acta Biomater. 2012, 8, 3888–3903. [Google Scholar] [CrossRef] [PubMed]
- Esen, Z.; Öcal, E.B. Surface characteristics and in-vitro behavior of chemically treated bulk Ti6Al7Nb alloys. Surf. Coat. Technol. 2017, 309, 829–839. [Google Scholar] [CrossRef]
- Yamanaka, K.; Mori, M.; Chiba, A. Effects of nitrogen addition on microstructure and mechanical behavior of biomedical Co–Cr–Mo alloys. J. Mech. Behav. Biomed. Mater. 2014, 29, 417–426. [Google Scholar] [CrossRef]
- Spriano, S.; Yamaguchi, S.; Baino, F.; Ferraris, S. A critical review of multifunctional titanium surfaces: New frontiers for improving osseointegration and host response, avoiding bacteria contamination. Acta Biomater. 2018, 79, 1–22. [Google Scholar] [CrossRef]
- Schmalz, G.; Galler, K.M. Biocompatibility of biomaterials–Lessons learned and considerations for the design of novel materials. Dent. Mater. 2017, 33, 382–393. [Google Scholar] [CrossRef] [PubMed]
- Kozelskaya, A.; Fedotkin, A.; Khlusov, I.; Litvinova, L.; Tverdokhlebov, S. Effect of working gas on physicochemical and biological properties of CaP coatings deposited by RFMS. Biomed. Mater. 2021, 16, 035012. [Google Scholar] [CrossRef]
- Kunrath, M.F.; Leal, B.F.; Hübler, R.; de Oliveira, S.D.; Teixeira, E.R. Antibacterial potential associated with drug-delivery built TiO2 nanotubes in biomedical implants. AMB Express 2019, 9, 51. [Google Scholar] [CrossRef]
- Łęcka, K.M.; Gąsiorek, J.; Mazur-Nowacka, A.; Szczygieł, B.; Antończak, A.J. Adhesion and corrosion resistance of laser-oxidized titanium in potential biomedical application. Surf. Coating. Technol. 2019, 366, 179–189. [Google Scholar] [CrossRef]
- Indira, K.; Mudali, U.K.; Nishimura, T.; Rajendran, N. A review on TiO2 nanotubes: Influence of anodization parameters, formation mechanism, properties, corrosion behavior, and biomedical applications. J. Bio-And Tribo-Corros. 2015, 1, 28. [Google Scholar] [CrossRef]
- Durdu, S.; Cihan, G.; Yalcin, E.; Altinkok, A. Characterization and mechanical properties of TiO2 nanotubes formed on titanium by anodic oxidation. Ceram. Int. 2021, 47, 10972–10979. [Google Scholar] [CrossRef]
- Puga, M.; Venturini, J.; Caten, C.T.; Bergmann, C. Influencing parameters in the electrochemical anodization of TiO2 nanotubes: Systematic review and meta-analysis. Ceram. Int. 2022, 48, 19513–19526. [Google Scholar] [CrossRef]
- Yu, H.; Chen, J.; Zhang, S.; Yu, Y.; Wang, S.; Ye, M. Effects of electrolyte composition on the growth and properties of titanium oxide nanotubes. Electrochem. Commun. 2022, 135, 107217. [Google Scholar] [CrossRef]
- Kojima, R.; Kimura, Y.; Bitoh, M.; Abe, M.; Niwano, M. Investigation of Influence of Electrolyte Composition on Formation of Anodic Titanium Oxide Nanotube Films. J. Electrochem. Soc. 2012, 159, 629–636. [Google Scholar] [CrossRef]
- Kulkarni, M.; Mazare, A.; Schmuki, P.; Iglič, A. Biomaterial surface modification of titanium and titanium alloys for medical applications. Nanomedicine 2014, 111, 111–136. [Google Scholar]
- Ge, R.; Fu, W.; Yang, H.; Zhang, Y.; Zhao, W.; Liu, Z.; Wang, C.; Zhu, H.; Yu, Q.; Zou, G. Fabrication and characterization of highly-ordered titania nanotubes via electrochemical anodization. Mater. Lett. 2008, 62, 2688–2691. [Google Scholar] [CrossRef]
- Dai, X.-C.; Hou, S.; Huang, M.-H.; Li, Y.-B.; Li, T.; Xiao, F.-X. Electrochemically anodized one-dimensional semiconductors: A fruitful platform for solar energy conversion. J. Physics Energy 2019, 1, 022002. [Google Scholar] [CrossRef]
- Mohan, L.; Dennis, C.; Padmapriya, N.; Anandan, C.; Rajendran, N. Effect of Electrolyte Temperature and Anodization Time on Formation of TiO2 Nanotubes for Biomedical Applications. Mater. Today Commun. 2020, 23, 101103. [Google Scholar] [CrossRef]
- Lockman, Z.; Sreekantan, S.; Ismail, S.; Schmidt-Mende, L.; MacManus-Driscoll, J.L. Influence of anodisation voltage on the dimension of titania nanotubes. J. Alloys Compd. 2010, 503, 359–364. [Google Scholar] [CrossRef]
- Bilek, O.; Fohlerova, Z.; Hubalek, J. Enhanced antibacterial and anticancer properties of Se-NPs decorated TiO2 nanotube film. PLoS ONE 2019, 14, e0214066. [Google Scholar] [CrossRef]
- Zhao, L.; Wang, H.; Huo, K.; Cui, L.; Zhang, W.; Ni, H.; Zhang, Y.; Wu, Z.; Chu, P.K. Antibacterial nano-structured titania coating incorporated with silver nanoparticles. Biomaterials 2011, 32, 5706–5716. [Google Scholar] [CrossRef] [PubMed]
- Esmaeilnejad, A.; Mahmoudi, P.; Zamanian, A.; Mozafari, M. Synthesis of titanium oxide nanotubes and their decoration by MnO nanoparticles for biomedical applications. Ceram. Int. 2019, 45, 19275–19282. [Google Scholar] [CrossRef]
- Aaseth, J.; Boivin, G.; Andersen, O. Osteoporosis and trace elements—An overview. J. Trace Elem. Med. Biol. 2012, 26, 149–152. [Google Scholar] [CrossRef] [PubMed]
- Ramadoss, R.; Padmanaban, R.; Subramanian, B. Role of bioglass in enamel remineralization: Existing strategies and future prospects—A narrative review. J. Biomed. Mater. Res. Part B Appl. Biomater. 2022, 110, 45–66. [Google Scholar] [CrossRef]
- Schwartz, A.; Kossenko, A.; Zinigrad, M.; Danchuk, V.; Sobolev, A. Cleaning Strategies of Synthesized Bioactive Coatings by PEO on Ti-6Al-4V Alloys of Organic Contaminations. Materials 2023, 16, 4624. [Google Scholar] [CrossRef]
- Kozelskaya, A.I.; Rutkowski, S.; Frueh, J.; Gogolev, A.S.; Chistyakov, S.G.; Gnedenkov, S.V.; Sinebryukhov, S.L.; Frueh, A.; Egorkin, V.S.; Choynzonov, E.L.; et al. Surface Modification of Additively Fabricated Titanium-Based Implants by Means of Bioactive Micro-Arc Oxidation Coatings for Bone Replacement. J. Funct. Biomater. 2022, 13, 285. [Google Scholar] [CrossRef]
- Shen, X.; Ma, P.; Hu, Y.; Xu, G.; Xu, K.; Chen, W.; Ran, Q.; Dai, L.; Yu, Y.; Mu, C.; et al. Alendronate-loaded hydroxyapatite-TiO2nanotubes for improved bone formation in osteoporotic rabbits. J. Mater. Chem. B 2016, 4, 1423–1436. [Google Scholar] [CrossRef]
- Wang, Y.; Tang, S.; Ding, N.; Zhang, Z. Biological properties of hydroxyapatite coatings on titaniumdioxide nanotube surfaces using negative pressure method. J. Biomed. Mater Res. 2023, 11, 1365–1373. [Google Scholar] [CrossRef]
- Yurova, V.Y.; Zyrianova, P.I.; Nesterov, P.V.; Goncharov, V.V.; Skorb, E.V.; Ulasevich, S.A. Photodeposition of Hydroxyapatite into a Titanium Dioxide Nanotubular Layer Using Ca(EDTA) Complex Decomposition. Catalysts 2023, 13, 993. [Google Scholar] [CrossRef]
- Aryan, N.; Behpour, M.; Benvidi, A.; Kashi, F.J.; Azimzadeh, M.; Zare, H.R. Evaluation of sodium alendronate drug released from TiO2 nanoparticle doped with hydroxyapatite and silver–strontium for enhancing antibacterial effect and osteoinductivity. Mater. Chem. Phys. 2023, 295, 126934. [Google Scholar] [CrossRef]
- Ionita, D.; Bajenaru-Georgescu, D.; Totea, G.; Mazare, A.; Schmuki, P.; Demetrescu, I. Activity of vancomycin release from bioinspired coatings of hydroxyapatite or TiO2 nanotubes. Int. J. Pharm. 2017, 517, 296–302. [Google Scholar] [CrossRef] [PubMed]
- Sapoletova, N.; Kushnir, S.; Napolskii, K. Anodic titanium oxide photonic crystals prepared by novel cyclic anodizing with voltage versus charge modulation. Electrochem. Commun. 2018, 91, 5–9. [Google Scholar] [CrossRef]
- Pantazi, A.; Vardaki, M.; Mihai, G.; Ionita, D.; Stoian, A.B.; Enachescu, M.; Demetrescu, I. Understanding surface and interface properties of modified Ti50Zr with nanotubes. Appl. Surf. Sci. 2020, 506, 144661. [Google Scholar] [CrossRef]
- Owens, D.K.; Wendt, R.C. Estimation of the surface free energy of polymers. J. Appl. Polym. Sci. 1969, 13, 1741–1747. [Google Scholar] [CrossRef]
- Deen, K.; Farooq, A.; Raza, M.; Haider, W. Effect of electrolyte composition on TiO2 nanotubular structure formation and its electrochemical evaluation. Electrochim. Acta 2014, 117, 329–335. [Google Scholar] [CrossRef]
- Nahum, E.Z.; Lugovskoy, S.; Lugovskoy, A.; Kazanski, B.; Sobolev, A. The study of hydroxyapatite growth kinetics on CP–Ti and Ti65Zr treated by Plasma electrolytic oxidation process. J. Mater. Res. Technol. 2023, 24, 2169–2186. [Google Scholar] [CrossRef]
- Faghihi-Sani, M.-A.; Arbabi, A.; Mehdinezhad-Roshan, A. Crystallization of hydroxyapatite during hydrothermal treatment on amorphous calcium phosphate layer coated by PEO technique. Ceram. Int. 2013, 39, 1793–1798. [Google Scholar] [CrossRef]
- Vangolu, Y.; Alsaran, A.; Yildirim, O. Wear properties of micro arc oxidized and hydrothermally treated Ti6Al4V alloy in simulated body fluid. Wear 2011, 271, 2322–2327. [Google Scholar] [CrossRef]
- Du, L.-W.; Bian, S.; Gou, B.-D.; Jiang, Y.; Huang, J.; Gao, Y.-X.; Zhao, Y.-D.; Wen, W.; Zhang, T.-L.; Wang, K. Structure of Clusters and Formation of Amorphous Calcium Phosphate and Hydroxyapatite: From the Perspective of Coordination Chemistry. Cryst. Growth Des. 2013, 13, 3103–3109. [Google Scholar] [CrossRef]
- Munirathinam, B.; Pydimukkala, H.; Ramaswamy, N.; Neelakantan, L. Influence of crystallite size and surface morphology on electrochemical properties of annealed TiO2 nanotubes. Appl. Surf. Sci. 2015, 355, 1245–1253. [Google Scholar] [CrossRef]
- Gittens, R.A.; Scheideler, L.; Rupp, F.; Hyzy, S.L.; Geis-Gerstorfer, J.; Schwartz, Z.; Boyan, B.D. A review on the wettability of dental implant surfaces II: Biological and clinical aspects. Acta Biomater. 2014, 10, 2907–2918. [Google Scholar] [CrossRef] [PubMed]
- Stern, M.; Geaby, A.L. Electrochemical Polarization. J. Electrochem. Soc. 1957, 104, 56–63. [Google Scholar] [CrossRef]
- Sun, S.; Sun, Y.; Wen, J.; Zhang, B.; Liao, X.; Yin, G.; Huang, Z.; Pu, X. MoO3−x-deposited TiO2 nanotubes for stable and high-capacitance supercapacitor electrodes. RSC Adv. 2018, 8, 21823–21828. [Google Scholar] [CrossRef]
- Monetta, T.; Acquesta, A.; Carangelo, A.; Bellucci, F. TiO2 Nanotubes on Ti Dental Implant. Part 2: EIS Characterization in Hank’s Solution. Metals 2017, 7, 220. [Google Scholar] [CrossRef]
- Yang, Y.; Cheng, Y.F. One-step facile preparation of ZnO nanorods as high-performance photoanodes for photoelectrochemical cathodic protection. Electrochimica Acta 2018, 276, 311–318. [Google Scholar] [CrossRef]
- Sobolev, A.; Bograchev, D.; Borodianskiy, K.; Zinigrad, M. Kinetics and mechanism of corrosion of oxide coating fabricated on aluminum alloy by the plasma electrolytic oxidation in molten salt. Corros. Sci. 2022, 208, 110604. [Google Scholar] [CrossRef]











| Components | Concentration [g/L] |
|---|---|
| CaCl2 | 0.185 |
| MgSO4 | 0.09767 |
| KCl | 0.4 |
| KH2PO4 | 0.06 |
| NaHCO3 | 0.35 |
| NaCl | 8.0 |
| Na2HPO4 | 0.04788 |
| Glucose | 1.0 |
| Samples Code | Anodizing | Heat Treatment | Soaking in Calcium Glycerophosphate Solution | Exposure Test in Hanks’ Balanced Salt Solution | ||
|---|---|---|---|---|---|---|
| C = 0.1 [g/L] 24 h | C = 10 [g/L] 24 h | 0 Days | 7 Days | |||
| S0 | Without treatment | |||||
| S1 | + | + | ||||
| S2 | + | + | + | + | ||
| S3 | + | + | + | + | ||
| S4 | + | + | + | + | ||
| S5 | + | + | + | + | ||
| Samples Code | Ti [at.%] | O [at.%] | P [at.%] | Ca [at.%] | Ca/P |
|---|---|---|---|---|---|
| Sp. 1 | 30.2 | 69.8 | - | - | - |
| Sp. 2 | 32.2 | 67.8 | - | - | - |
| Sp. 3 | 32.18 | 67.56 | 0.1 | 0.16 | 1.60 |
| Sp. 4 | 29.10 | 64.57 | 1.70 | 2.84 | 1.67 |
| Sp. 5 | 32.12 | 67.50 | 0.14 | 0.24 | 1.71 |
| Sp. 6 | 27.49 | 63.00 | 3.42 | 5.96 | 1.74 |
| Sp. 7 | - | 66.9 | 13.3 | 19.81 | 1.49 |
| Sp. 8 | 16.8 | 31.2 | 6.0 | 8.4 | 1.4 |
| Samples Code | Contact Angle [°] | Surface Energy—γ | |
|---|---|---|---|
| Hanks’ BSS | Glycerol | [mJ∙m−2] | |
| S0 | 78.2 ± 1.5 | 86.6 ± 2.2 | 45.2 ± 2.2 |
| S1 | 30.4 ± 1.1 | 35.4 ± 1.7 | 115.3 ± 1.4 |
| S2 | 18.2 ± 1.2 | 21.6 ± 1.9 | 192.1 ± 1.6 |
| S3 | 24.5 ± 1.2 | 28.7 ± 1.7 | 142.5 ± 1.5 |
| S4 | 7.2 ± 0.5 | 8.3 ± 1.2 | 485.3 ± 1.5 |
| S5 | 10.5 ± 0.7 | 12.5 ± 1.5 | 332.6 ± 0.9 |
| Samples Code | Ecorr vs. Ag/AgClsat [mV] | Icorr [µA∙cm−2] | βa [mV·dec−1] | −βc [mV·dec−1] | Rp [kΩ·cm−2] |
|---|---|---|---|---|---|
| S0 | −428 ± 5 | 5.02 ± 0.05 | 218 | 92 | 13.77 |
| S1 | −373 ± 3 | 0.872 ± 0.04 | 228 | 89 | 72.79 |
| S2 | −343 ± 3 | 0.832 ± 0.02 | 221 | 93 | 83.91 |
| S3 | −352 ± 4 | 0.840 ± 0.03 | 222 | 91 | 79.82 |
| Impedance Spectroscopy Parameters | S2 | S3 | S4 | S5 |
|---|---|---|---|---|
| CPE1 × 10−6 [S·cm−2·s−n] | 7.05 | 6.54 | 1.95 | 6.20 |
| n1 | 0.76 | 0.73 | 0.85 | 0.79 |
| R1 [kΩ·cm2] | 0.74 | 0.71 | 1.76 | 1.01 |
| CPE2 × 10−6 [S·cm−2·s−n] | 4.13 | 3.54 | 2.25 | 3.22 |
| n2 | 0.98 | 0.97 | 0.95 | 0.95 |
| R2 [kΩ·cm2] | 83.64 | 78.90 | 104.95 | 82.94 |
| Zf→0Hz [kΩ·cm2] | 84.39 | 79.61 | 106.70 | 83.95 |
| χ2 × 10−4 | 2.7 | 2.5 | 3.0 | 3.6 |
Disclaimer/Publisher’s Note: The statements, opinions and data contained in all publications are solely those of the individual author(s) and contributor(s) and not of MDPI and/or the editor(s). MDPI and/or the editor(s) disclaim responsibility for any injury to people or property resulting from any ideas, methods, instructions or products referred to in the content. |
© 2023 by the authors. Licensee MDPI, Basel, Switzerland. This article is an open access article distributed under the terms and conditions of the Creative Commons Attribution (CC BY) license (https://creativecommons.org/licenses/by/4.0/).
Share and Cite
Nahum, E.Z.; Lugovskoy, A.; Lugovskoy, S.; Sobolev, A. Synthesis of Titanium Oxide Nanotubes Loaded with Hydroxyapatite. Nanomaterials 2023, 13, 2743. https://doi.org/10.3390/nano13202743
Nahum EZ, Lugovskoy A, Lugovskoy S, Sobolev A. Synthesis of Titanium Oxide Nanotubes Loaded with Hydroxyapatite. Nanomaterials. 2023; 13(20):2743. https://doi.org/10.3390/nano13202743
Chicago/Turabian StyleNahum, Elinor Zadkani, Alex Lugovskoy, Svetlana Lugovskoy, and Alexander Sobolev. 2023. "Synthesis of Titanium Oxide Nanotubes Loaded with Hydroxyapatite" Nanomaterials 13, no. 20: 2743. https://doi.org/10.3390/nano13202743
APA StyleNahum, E. Z., Lugovskoy, A., Lugovskoy, S., & Sobolev, A. (2023). Synthesis of Titanium Oxide Nanotubes Loaded with Hydroxyapatite. Nanomaterials, 13(20), 2743. https://doi.org/10.3390/nano13202743

