Development and Analysis of a Three-Fin Trigate Q-FinFET for a 3 nm Technology Node with a Strained-Silicon Channel System
Abstract
1. Introduction
2. Device Structure and Theory
3. Results and Discussion
3.1. Electrical Characteristics of Three-Fin Quantum FinFETs
3.2. Investigation of Quantum Effects in Three-Fin FinFETs
4. Conclusions
Author Contributions
Funding
Data Availability Statement
Acknowledgments
Conflicts of Interest
References
- Pei, G.; Kedzierski, J.; Oldiges, P.; Ieong, M.; Kan, E.C. FinFET design considerations based on 3-D simulation and analytical modeling. IEEE Trans. Electron Devices 2002, 49, 1411–1419. [Google Scholar] [CrossRef]
- Colinge, J.P. FinFETs and Other Multi Gate Transistors; Springer: New York, NY, USA, 2008. [Google Scholar]
- Kavalieros, J.; Doyle, B.; Datta, S.; Dewey, G.; Doczy, M.; Jin, B.; Lionberger, D.; Metz, M.; Rachmady, W.; Radosavljevic, M.; et al. Tri-Gate Transistor Architecture with High-k Gate Dielectrics, Metal Gates and Strain Engineering. In Proceedings of the 2006 Symposium on VLSI Technology, Digest of Technical Papers, Honolulu, HI, USA, 13 June 2006; pp. 50–51. [Google Scholar]
- Maszara, W.P.; Lin, M.R. FinFETs—Technology and circuit design challenges. In Proceedings of the 2013 IEEE Proceedings of the European Solid-State Device Research Conference (ESSDERC), Bucharest, Romania, 16 September 2013; pp. 3–8. [Google Scholar]
- Patel, J.; Banchhor, S.; Guglani, S.; Dasgupta, A.; Roy, S.; Bulusu, A.; Dasgupta, S. Design optimization Using Symmetric/Asymmetric Spacer for 14 nm Multi-Fin Tri-gate Fin-FET for Mid-Band 5G Applications. In Proceedings of the 35th International Conference on VLSI Design and 2022 21st International Conference on Embedded Systems (VLSID), Bangalore, India, 26 February 2022; pp. 292–296. [Google Scholar]
- Vidya, S.; Kamat, S.V.; Khan, A.R.; Venkatesh, V. 3D FinFET for next generation nano devices. In Proceedings of the 2018 IEEE International Conference on Current Trends towards Converging Technologies (ICCTCT), Coimbatore, India, 1 March 2018; pp. 1–9. [Google Scholar]
- Saxena, S.; Mehra, R. Low-power and high-speed 13T SRAM cell using FinFETs. IET Circuits Devices Syst. 2017, 11, 250–255. [Google Scholar] [CrossRef]
- Wu, W.; Chan, M. Analysis of Geometry-Dependent Parasitics in Multifin Double-Gate FinFETs. IEEE Trans. Electron Devices 2007, 54, 692–698. [Google Scholar] [CrossRef]
- Bhoj, A.N.; Joshi, R.V.; Jha, N.K. 3-D-TCAD-based parasitic capacitance extraction for emerging multigate devices and circuits. IEEE Trans. Very Large Scale Integr. (VLSI) Syst. 2013, 21, 2094–2105. [Google Scholar] [CrossRef]
- 2022 International Roadmap of Devices and Systems (IRDS), More Moore. Available online: https://irds.ieee.org/editions/2022/more-moore (accessed on 31 March 2022).
- Bae, G.; Bae, D.I.; Kang, M.; Hwang, S.M.; Kim, S.S.; Seo, B.; Kwon, T.Y.; Lee, T.J.; Moon, C.; Choi, Y.M.; et al. 3 nm GAA technology featuring multi-bridge-channel FET for low power and high performance applications. In Proceedings of the 2018 IEEE International Electron Devices Meeting (IEDM), San Francisco, CA, USA, 1 December 2018; pp. 28.7.1–28.7.4. [Google Scholar]
- Radosavljevic, M.; Kavalieros, J. Taking Moore’s Law to New Heights: When transistors can’t get any smaller, the only direction is up. IEEE Spectr. 2022, 59, 32–37. [Google Scholar] [CrossRef]
- Chaudhry, A.; Roy, J.N.; Joshi, G. Nanoscale strained-Si MOSFET physics and modeling approaches: A review. J. Semicond. 2010, 31, 104001. [Google Scholar] [CrossRef]
- Thriveni, G.; Ghosh, K. Performance analysis of nanoscale double gate strained silicon MOSFET with high k dielectric layers. Mater. Res. Express 2019, 6, 085062. [Google Scholar] [CrossRef]
- Dastgeer, G.; Shahzad, Z.M.; Chae, H.; Kim, Y.H.; Ko, B.M.; Eom, J. Bipolar junction transistor exhibiting excellent output characteristics with a prompt response against the selective protein. Adv. Funct. Mater. 2022, 32, 2204781. [Google Scholar] [CrossRef]
- Dastgeer, G.; Afzal, A.M.; Jaffery, S.H.A.; Imran, M.; Assiri, M.A.; Nisar, S. Gate modulation of the spin current in graphene/WSe2 van der Waals heterostructure at room temperature. J. Alloys Compd. 2022, 919, 165815. [Google Scholar] [CrossRef]
- Fitzgerald, E.A.; Lee, M.L.; Leitz, C.W.; Antobiadis, D.A. MOSFET channel engineering using strained Si, SiGe and Ge channels. In Proceedings of the Third International Conference SiGe(C) Epitaxy and Heterostructures (ICSi3), Sante Fe, NM, USA, 9 March 2003; pp. 167–169. [Google Scholar]
- Dutta, A.; Koley, K.; Sarkar, C.K. Impact of underlap and mole-fraction on RF performance of strained-Si/Si1−xGex/strained-Si DG MOSFETs. Superlattices Microstruct. 2014, 75, 634–646. [Google Scholar] [CrossRef]
- Hoyt, J.L.; Nayfeh, H.M.; Eguchi, S.; Aberg, I.; Xia, G.; Drake, T.; Fitzgerald, E.A.; Antoniadis, D.A. Strained silicon MOSFET technology. In Proceedings of the Digest. International Electron Devices Meeting, San Francisco, CA, USA, 8 December 2002; pp. 23–26. [Google Scholar]
- Venkataraman, V.; Nawal, S.; Kumar, M.J. Compact Analytical Threshold-Voltage Model of Nanoscale Fully Depleted Strained-Si on Silicon–Germanium-on-Insu lator (SGOI) MOSFETs. IEEE Trans. Electron Devices 2007, 54, 554–562. [Google Scholar] [CrossRef]
- Khiangte, L.; Dhar, R.S. Development of Tri-Layered s-Si/s-SiGe/s-Si Channel Heterostructure-on-Insulator MOSFET for Enhanced Drive Current. Phys. Status Solidi B 2018, 255, 1800034. [Google Scholar] [CrossRef]
- Kumar, K.; Dhar, R.S. Exploration of improved leakage based performance analysis for underlap induced strained-Si layer in tri-layered channel DG nanoFETs. Phys. Scr. 2021, 96, 124006. [Google Scholar] [CrossRef]
- Bha, J.K.K.; Priya, P.A.; Joseph, H.B.; Thiruvadigal, D.J. 10 nm TriGate High k Underlap FinFETs: Scaling Effects and Analog Performance. Silicon 2020, 12, 2111–2119. [Google Scholar] [CrossRef]
- Nanda, S.; Dhar, R.S. Exploration and development of tri-gate quantum well barrier FinFET with strained nanosystem channel for enhanced performance. Comput. Electr. Eng. 2022, 98, 107687. [Google Scholar] [CrossRef]
- Saha, P.; Nanda, S.; Yogender, P.; Dhar, R.S. Effects of Dimensional Variations on Short Channel Parameters in 14 nm Channel Length TG–SOI FinFETs. In Advances in Communication, Devices and Networking: Proceedings of ICCDN 2021; Springer Nature: Singapore, 2022. [Google Scholar]
- Panchanan, S.; Maity, R.; Baishya, S.; Maity, N.P. Modeling, simulation and analysis of surface potential and threshold voltage: Application to high-K material HfO2 based FinFET. Silicon 2021, 13, 3271–3289. [Google Scholar] [CrossRef]
- Kumar, K.; Dhar, R.S.; Nanda, S. Modelling and Implementation of Double Gate n-channel FET with Strain Engineered Tri-Layered Channel System for Enriched Drain Current. J. Nano Electron. Phys. 2022, 14, 02028. [Google Scholar] [CrossRef]
- Batwani, H.; Gaur, M.; Kumar, M.J. Analytical drain current model for nanoscale strained-Si/SiGe MOSFETs. COMPEL-Int. J. Comput. Math. Electr. Electron. Eng. 2009, 28, 353–371. [Google Scholar] [CrossRef]
- Silvaco International. Atlas User’s Manual Device Simulation Software; Silvaco Int.: Santa Clara, CA, USA, 2018. [Google Scholar]
- Lee, C.H.; Hashemi, P.; Guo, D.; Narayanan, V.; Loubet, N.; Jagannathan, H.; Southwick, R.G.; Mochizuki, S.; Li, J.; Miao, X.; et al. Toward high performance SiGe channel CMOS: Design of high electron mobility in SiGe nFinFETs outperforming Si. In Proceedings of the 2018 IEEE International Electron Devices Meeting (IEDM), San Francisco, CA, USA, 1 December 2018; pp. 35.1.1–35.1.4. [Google Scholar]
- Mizuno, T.; Sugiyama, N.; Tezuka, T.; Numata, T.; Maeda, T.; Takagi, S. Thin-film strained-SOI CMOS Devices-physical mechanisms for reduction of carrier mobility. IEEE Trans. Electron Devices 2004, 51, 1114–1121. [Google Scholar] [CrossRef]








| Device | Description | Substrate + BOX Height (nm) |
|---|---|---|
| A1 | 10 nm HOI 3-fin FinFET (2 nm gap) | 80 |
| A2 | 8 nm HOI 3-fin FinFET (2 nm gap) | 80 |
| A3 | 8 nm HOI 3-fin FinFET (2 nm gap) | 70 |
| A4 | 8 nm HOI 3-fin FinFET (2 nm gap) | 60 |
| A5 | 8 nm HOI 3-fin FinFET (2 nm gap) | 50 |
| A6 | 8 nm HOI 3-fin FinFET (2 nm gap) | 40 |
| A7 | 8 nm HOI 3-fin FinFET (4 nm gap) | 30 |
| A8 | 8 nm HOI 3-fin FinFET (2 nm gap) | 30 |
| A9 | 10 nm HOI single fin FinFET [24] | 80 |
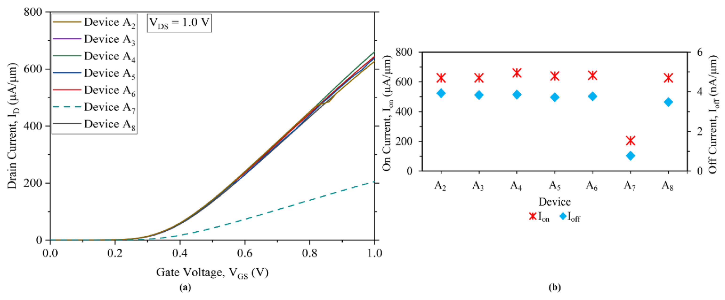
| Device | Ion (μA/μm) | Ioff (nA/μm) | Ion/Ioff Current Ratio (×105) |
|---|---|---|---|
| A2 | 629.47 | 3.93 | 1.60 |
| A3 | 630.35 | 3.84 | 1.63 |
| A4 | 660.70 | 3.86 | 1.71 |
| A5 | 638.97 | 3.72 | 1.72 |
| A6 | 643.97 | 3.77 | 1.71 |
| A7 | 205.64 | 0.78 | 2.65 |
| A8 | 627.25 | 3.49 | 1.80 |
| Symbol | Description | Device A1 | Device A8 |
|---|---|---|---|
| LD, LS | Length of Drain/Source | 10 nm | 8 nm |
| LG | Length of Channel | 10 nm | 8 nm |
| Tox (SiO2) | Lateral Oxide Thickness | 1 nm | 1 nm |
| WFIN | Thickness of Silicon Fin | 6 nm | 6 nm |
| HFIN | Height of Silicon Fin | 6 nm | 6 nm |
| GFIN | Gap Between Fins | 2 nm | 2 nm |
| NA | Doping of Channel | 1 × 1015 cm−3 | 1 × 1015 cm−3 |
| ND (Source) | Doping of Source | 5 × 1018 cm−3 | 5 × 1018 cm−3 |
| ND (Drain) | Doping of Drain | 1 × 1018 cm−3 | 1 × 1018 cm−3 |
| Electrical Parameters | Kavalieros et al. [3] | Kumar et al. [22] | Bha et al. [23] | Nanda et al. [24] | A1 (This Work) | A8 (This Work) |
|---|---|---|---|---|---|---|
| Vth (V) | – | 0.032 | 0.25 | 0.251 | 0.193 | 0.265 |
| Ion (μA/μm) | 165 | 106.5 | 166 | 183.13 | 466.63 | 627.25 |
| Ioff (nA/μm) | 139 | 27.38 | 0.324 | 0.415 | 1.54 | 3.49 |
| SS (mV/dec) | 76 | 104 | 94 | 74.49 | 71 | 76 |
| DIBL (mV/V) | 89 | 146 | – | 55.83 | 61.8 | 91.78 |
Disclaimer/Publisher’s Note: The statements, opinions and data contained in all publications are solely those of the individual author(s) and contributor(s) and not of MDPI and/or the editor(s). MDPI and/or the editor(s) disclaim responsibility for any injury to people or property resulting from any ideas, methods, instructions or products referred to in the content. |
© 2023 by the authors. Licensee MDPI, Basel, Switzerland. This article is an open access article distributed under the terms and conditions of the Creative Commons Attribution (CC BY) license (https://creativecommons.org/licenses/by/4.0/).
Share and Cite
Nanda, S.; Dhar, R.S.; Awwad, F.; Hussein, M.I. Development and Analysis of a Three-Fin Trigate Q-FinFET for a 3 nm Technology Node with a Strained-Silicon Channel System. Nanomaterials 2023, 13, 1662. https://doi.org/10.3390/nano13101662
Nanda S, Dhar RS, Awwad F, Hussein MI. Development and Analysis of a Three-Fin Trigate Q-FinFET for a 3 nm Technology Node with a Strained-Silicon Channel System. Nanomaterials. 2023; 13(10):1662. https://doi.org/10.3390/nano13101662
Chicago/Turabian StyleNanda, Swagat, Rudra Sankar Dhar, Falah Awwad, and Mousa I. Hussein. 2023. "Development and Analysis of a Three-Fin Trigate Q-FinFET for a 3 nm Technology Node with a Strained-Silicon Channel System" Nanomaterials 13, no. 10: 1662. https://doi.org/10.3390/nano13101662
APA StyleNanda, S., Dhar, R. S., Awwad, F., & Hussein, M. I. (2023). Development and Analysis of a Three-Fin Trigate Q-FinFET for a 3 nm Technology Node with a Strained-Silicon Channel System. Nanomaterials, 13(10), 1662. https://doi.org/10.3390/nano13101662

