Tunable Nonlinear Optical Response of ITO Films with Au@Ag Bimetallic Nanoparticles
Abstract
1. Introduction
2. Methods and Model Design
2.1. Preparation of ITO Films
2.2. Synthesis of Au@Ag Nanoparticles
2.3. Synthesis of ITO/Au@Ag Composites
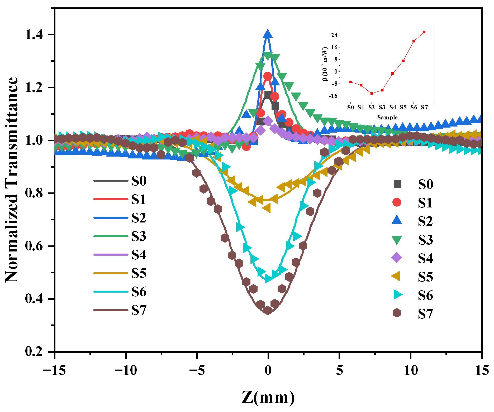
3. Results and Analysis Discussion
4. Conclusions
Author Contributions
Funding
Data Availability Statement
Conflicts of Interest
References
- Autere, A.; Jussila, H.; Dai, Y.; Wang, Y.; Lipsanen, H.; Sun, Z. Nonlinear Optics with 2D Layered Materials. Adv. Mater. 2018, 30, 1705963. [Google Scholar] [CrossRef]
- Alam, M.Z.; De Leon, I.; Boyd, R.W. Large optical nonlinearity of indium tin oxide in its epsilon-near-zero region. Science 2016, 352, 795–797. [Google Scholar] [CrossRef] [PubMed]
- Zhang, F.; Xiao, X.; Lu, Y.; Dong, J.; Chen, Y. Broadband Enhancement of Optical Nonlinearity in a Plasmonic Nanocavity Coupled with an Epsilon-Near-Zero Film. J. Phys. Chem. C 2023, 127, 3726–3732. [Google Scholar] [CrossRef]
- Abhijith, T.; Edappadikkunnummal, S.; Suthar, R.; Thomas, S.; Karak, S. Au–WS2 Nanohybrids with Enhanced Optical Nonlinearity for Optical Limiting Applications. ACS Appl. Nano Mater. 2023, 6, 2327–2335. [Google Scholar] [CrossRef]
- Prabhakar Vattikuti, S.V.; Nagajyothi, P.C.; Devarayapalli, K.C.; Yoo, K.; Dang Nam, N.; Shim, J. Hybrid Ag/MoS2 nanosheets for efficient electrocatalytic oxygen reduction. Appl. Surf. Sci. 2020, 526, 146751. [Google Scholar] [CrossRef]
- Yang, X.; Yu, H.; Guo, X.; Ding, Q.; Pullerits, T.; Wang, R.; Zhang, G.; Liang, W.; Sun, M. Plasmon-exciton coupling of monolayer MoS2-Ag nanoparticles hybrids for surface catalytic reaction. Mater. Today Energy 2017, 5, 72–78. [Google Scholar] [CrossRef]
- Pan, R.; Kang, J.; Li, Y.; Zhang, Z.; Li, R.; Yang, Y. Highly Enhanced Photoluminescence of Monolayer MoS2 in Plasmonic Hybrids with Double-Layer Stacked Ag Nanoparticles. ACS Appl. Mater. Interfaces 2022, 14, 12495–12503. [Google Scholar] [CrossRef]
- Jiang, R.; Li, B.; Fang, C.; Wang, J. Metal/Semiconductor Hybrid Nanostructures for Plasmon-Enhanced Applications. Adv. Mater. 2014, 26, 5274–5309. [Google Scholar] [CrossRef] [PubMed]
- Guo, P.; Schaller, R.D.; Ocola, L.E.; Diroll, B.T.; Ketterson, J.B.; Chang, R.P. Large optical nonlinearity of ITO nanorods for sub-picosecond all-optical modulation of the full-visible spectrum. Nat. Commun. 2016, 7, 12892. [Google Scholar] [CrossRef]
- Ma, H.; Zhao, Y.; Shao, Y.; Lian, Y.; Zhang, W.; Hu, G.; Leng, Y.; Shao, J. Principles to tailor the saturable and reverse saturable absorption of epsilon-near-zero material. Photonics Res. 2021, 9, 678–686. [Google Scholar] [CrossRef]
- Lau, K.Y.; Yang, Y.T.; Zhao, D.; Liu, X.F.; Qiu, J.R. Tunable optical nonlinearity of indium tin oxide for optical switching in epsilon-near-zero region. Nanophotonics 2022, 11, 4209–4219. [Google Scholar] [CrossRef]
- Edappadikkunnummal, S.; Nherakkayyil, S.N.; Kuttippurath, V.; Chalil, D.M.; Desai, N.R.; Keloth, C. Surface Plasmon Assisted Enhancement in the Nonlinear Optical Properties of Phenothiazine by Gold Nanoparticle. J. Phys. Chem. C 2017, 121, 26976–26986. [Google Scholar] [CrossRef]
- Lee, K.-S.; El-Sayed, M.A. Gold and Silver Nanoparticles in Sensing and Imaging: Sensitivity of Plasmon Response to Size, Shape, and Metal Composition. J. Phys. Chem. B 2006, 110, 19220–19225. [Google Scholar] [CrossRef] [PubMed]
- Elim, H.I.; Ji, W.; Yang, J.; Lee, J.Y. Intensity-dependent enhancement of saturable absorption in PbS–Au4 nanohybrid composites: Evidence for resonant energy transfer by Auger recombination. Appl. Phys. Lett. 2008, 92, 251106. [Google Scholar] [CrossRef]
- Shiju, E.; Abhijith, T.; Chandrasekharan, K. Nonlinear optical behavior of Au@Ag core-shell nanostructures. J. Mol. Liq. 2021, 333, 115935. [Google Scholar] [CrossRef]
- Frens, G. Controlled Nucleation for the Regulation of the Particle Size in Monodisperse Gold Suspensions. Nat. Phys. Sci. 1973, 241, 20–22. [Google Scholar] [CrossRef]
- Shan, H.; He, J.; Zhu, B.; Zhou, J.; Huo, H. Synergistic effects of ultrasonication and the addition of a nucleating agent on improving the crystallization and performance of P3HT. Org. Electron. 2023, 114, 106733. [Google Scholar] [CrossRef]
- Jiang, H.; Zhao, Y.; Ma, H.; Feng, C.; Wu, Y.; Zhang, W.; Chen, M.; Wang, M.; Lian, Y.; Cao, Z.; et al. Polarization-Independent, tunable, broadband perfect absorber based on semi-sphere patterned Epsilon-Near-Zero films. Appl. Surf. Sci. 2022, 596, 153551. [Google Scholar] [CrossRef]
- Lian, J.; Zhang, D.; Hong, R.; Yan, T.; Lv, T.; Zhang, D. Broadband Absorption Tailoring of SiO2/Cu/ITO Arrays Based on Hybrid Coupled Resonance Mode. Nanomaterials 2019, 9, 852. [Google Scholar] [CrossRef]
- Wu, G.-F.; Zhu, J.; Weng, G.-J.; Cai, H.-Y.; Li, J.-J.; Zhao, J.-W. The structure and plasmonic properties regulation of Au@Ag core-shell nanostructures with Au triangular nanoprisms as the core mediated by halide. J. Alloys Compd. 2023, 944, 169245. [Google Scholar] [CrossRef]
- Ma, Y.; Li, Q.; Wang, S.; Wang, Y.; Liu, H.; Wang, X.; Zhao, B.; Jiang, Z.; Ruan, W. Observation of tunable surface plasmon resonances and surface enhanced infrared absorption (SEIRA) based on indium tin oxide (ITO) nanoparticle substrates. Spectrochim. Acta Part A Mol. Biomol. Spectrosc. 2022, 271, 120914. [Google Scholar] [CrossRef] [PubMed]
- Dai, Y.; Yan, T.; Hong, R.; Tao, C.; Lin, H.; Wang, Q.; Zhang, D. Graphene oxide induced the enhancement of nonlinear optical response of ITO films. Opt. Mater. 2021, 113, 110841. [Google Scholar] [CrossRef]
- Makuła, P.; Pacia, M.; Macyk, W. How To Correctly Determine the Band Gap Energy of Modified Semiconductor Photocatalysts Based on UV–Vis Spectra. J. Phys. Chem. Lett. 2018, 9, 6814–6817. [Google Scholar] [CrossRef] [PubMed]
- Zhang, W.; Li, Q.; Xia, H. Photocatalytic oxidation of 5-hydroxymethylfurfural to furandicarboxylic acid over the Au-Ag/TiO2 catalysts under visible light irradiation. Appl. Surf. Sci. 2023, 613, 156036. [Google Scholar] [CrossRef]
- Guo, P.; Chang, R.P.H.; Schaller, R.D. Transient Negative Optical Nonlinearity of Indium Oxide Nanorod Arrays in the Full-Visible Range. ACS Photonics 2017, 4, 1494–1500. [Google Scholar] [CrossRef]
- Shi, K.; Haque, R.R.; Zhao, B.; Zhao, R.; Lu, Z. Broadband electro-optical modulator based on transparent conducting oxide. Opt. Lett. 2014, 39, 4978–4981. [Google Scholar] [CrossRef]
- Chen, C.; Wang, Z.; Wu, K.; Ye, H. Tunable near-infrared epsilon-near-zero and plasmonic properties of Ag-ITO co-sputtered composite films. Sci. Technol. Adv. Mater. 2018, 19, 174–184. [Google Scholar] [CrossRef]
- Gu, B.; He, J.; Ji, W.; Wang, H.-T. Three-photon absorption saturation in ZnO and ZnS crystals. J. Appl. Phys. 2008, 103, 073105. [Google Scholar] [CrossRef]
- Sheik-Bahae, M.; Said, A.A.; Wei, T.H.; Hagan, D.J.; Stryland, E.W.V. Sensitive measurement of optical nonlinearities using a single beam. IEEE J. Quantum Electron. 1990, 26, 760–769. [Google Scholar] [CrossRef]
- Chapple, P.B.; Staromlynska, J.; Hermann, J.A.; McKay, T.J.; McDuff, R.G. Single-Beam Z-Scan: Measurement Techniques and Analysis. J. Nonlinear Opt. Phys. Mater. 1997, 6, 251–293. [Google Scholar] [CrossRef]
- Rao, K.S.; Ganeev, R.A.; Zhang, K.; Fu, Y.; Boltaev, G.S.; Krishnendu, P.S.; Redkin, P.V.; Guo, C. Laser ablation–induced synthesis and nonlinear optical characterization of titanium and cobalt nanoparticles. J. Nanoparticle Res. 2018, 20, 285. [Google Scholar] [CrossRef]
- Chen, Y.; Lu, Z.; Cao, Y.; Sun, M.; Dong, J. Polarization and incident angle-dependent plasmonic coupling of Au@Ag nanoalloys. Chin. J. Phys. 2022, 78, 132–140. [Google Scholar] [CrossRef]
- Liu, Z.; Wang, Y.; Zhang, X.; Xu, Y.; Chen, Y.; Tian, J. Nonlinear optical properties of graphene oxide in nanosecond and picosecond regimes. Appl. Phys. Lett. 2009, 94, 021902. [Google Scholar] [CrossRef]
- Yan, T.; Hong, R.; Tao, C.; Wang, Q.; Lin, H.; Han, Z.; Zhang, D. Thickness dependency of PVA on the transition from saturable absorption to reverse saturable absorption of ITO films. Opt. Mater. 2022, 125, 112061. [Google Scholar] [CrossRef]








Disclaimer/Publisher’s Note: The statements, opinions and data contained in all publications are solely those of the individual author(s) and contributor(s) and not of MDPI and/or the editor(s). MDPI and/or the editor(s) disclaim responsibility for any injury to people or property resulting from any ideas, methods, instructions or products referred to in the content. |
© 2023 by the authors. Licensee MDPI, Basel, Switzerland. This article is an open access article distributed under the terms and conditions of the Creative Commons Attribution (CC BY) license (https://creativecommons.org/licenses/by/4.0/).
Share and Cite
Yan, T.; Hong, R.; Lian, J.; Tao, C.; Lin, H.; Wang, Q.; Han, Z.; Zhang, D. Tunable Nonlinear Optical Response of ITO Films with Au@Ag Bimetallic Nanoparticles. Nanomaterials 2023, 13, 1631. https://doi.org/10.3390/nano13101631
Yan T, Hong R, Lian J, Tao C, Lin H, Wang Q, Han Z, Zhang D. Tunable Nonlinear Optical Response of ITO Films with Au@Ag Bimetallic Nanoparticles. Nanomaterials. 2023; 13(10):1631. https://doi.org/10.3390/nano13101631
Chicago/Turabian StyleYan, Tingzhen, Ruijin Hong, Jiqing Lian, Chunxian Tao, Hui Lin, Qi Wang, Zhaoxia Han, and Dawei Zhang. 2023. "Tunable Nonlinear Optical Response of ITO Films with Au@Ag Bimetallic Nanoparticles" Nanomaterials 13, no. 10: 1631. https://doi.org/10.3390/nano13101631
APA StyleYan, T., Hong, R., Lian, J., Tao, C., Lin, H., Wang, Q., Han, Z., & Zhang, D. (2023). Tunable Nonlinear Optical Response of ITO Films with Au@Ag Bimetallic Nanoparticles. Nanomaterials, 13(10), 1631. https://doi.org/10.3390/nano13101631

