Next Article in Journal
Theory of MBE Growth of Nanowires on Adsorbing Substrates: The Role of the Shadowing Effect on the Diffusion Transport
Next Article in Special Issue
A Non-Resonant Piezoelectric–Electromagnetic–Triboelectric Hybrid Energy Harvester for Low-Frequency Human Motions
Previous Article in Journal
The Photocatalytic Performance of Nd2O3 Doped CuO Nanoparticles with Enhanced Methylene Blue Degradation: Synthesis, Characterization and Comparative Study
Previous Article in Special Issue
An Energy Harvester Coupled with a Triboelectric Mechanism and Electrostatic Mechanism for Biomechanical Energy Harvesting
 
 
Font Type:
Arial Georgia Verdana
Font Size:
Aa Aa Aa
Line Spacing:
Column Width:
Background:
Article

Physical Operations of a Self-Powered IZTO/β-Ga2O3 Schottky Barrier Diode Photodetector

1
Laboratory of Semiconducting and Metallic Materials (LMSM), University of Biskra, Biskra 07000, Algeria
2
Department of Intelligent Mechatronics Engineering, and Convergence Engineering for Intelligent Drone, Sejong University, Seoul 05006, Korea
3
George W. Woodruff School of Mechanical Engineering, Institute for Electronics and Nanotechnology, Georgia Institute of Technology, Atlanta, GA 30332, USA
4
High Collage of Food Sciences and Food Industries, Algiers 16200, Algeria
*
Author to whom correspondence should be addressed.
Nanomaterials 2022, 12(7), 1061; https://doi.org/10.3390/nano12071061
Submission received: 29 December 2021 / Revised: 11 March 2022 / Accepted: 21 March 2022 / Published: 24 March 2022
(This article belongs to the Special Issue Advance in Energy Harvesters/Nanogenerators and Self-Powered Sensors)

Abstract

:
In this work, a self-powered, solar-blind photodetector, based on InZnSnO (IZTO) as a Schottky contact, was deposited on the top of Si-doped β-Ga2O3 by the sputtering of two-faced targets with InSnO (ITO) as an ohmic contact. A detailed numerical simulation was performed by using the measured J–V characteristics of IZTO/β-Ga2O3 Schottky barrier diodes (SBDs) in the dark. Good agreement between the simulation and the measurement was achieved by studying the effect of the IZTO workfunction, β-Ga2O3 interfacial layer (IL) electron affinity, and the concentrations of interfacial traps. The IZTO/β-Ga2O3 (SBDs) was tested at a wavelength of 255 nm with the photo power density of 1 mW/cm2. A high photo-to-dark current ratio of 3.70 × 10 5 and a photoresponsivity of 0.64 mA/W were obtained at 0 V as self-powered operation. Finally, with increasing power density the photocurrent increased, and a 17.80 mA/W responsivity under 10 mW/cm2 was obtained.

1. Introduction

Gallium oxide (Ga2O3) is an oxide semiconductor material with a long, rich history [1,2,3]. It has an ultra-wide bandgap (UWBG) of ~4.8 eV, a high breakdown electric field of ~8 MV/cm, and a high saturation velocity of 1 × 107 cm/s, and these properties have brought Ga2O3 to the fore once again [1,2,4]. Ga2O3 has six polymorphs, i.e., α ,   β ,   γ ,   δ ,   ε , and k , with β-Ga2O3 being the most stable [1]. Unipolar devices based on β-Ga2O3, such as the metal–oxide–semiconductor field-effect transistor (MOSFET) [5], thin film transistor (TFT) [6], field emission (FE) [7], and Schottky barrier diode (SBD) [1,2,3,4,8,9], have been studied extensively. It is also used for deep ultraviolet (DUV) photodetectors (PDs) for solar-blind applications [10,11]. DUV PDs work in the solar-blind spectrum with wavelengths shorter than 280 nm, which means that they can be applied to optical communication, chemical analysis, missile tracking, and harsh environmental monitoring [12]. Different types of solar-blind PD structures based on β-Ga2O3, such as metal–semiconductor–metal [13], heterojunction [14], and Schottky [15], have been reported. The Schottky barrier diode solar-blind has some advantages, including low dark current and low cost in comparison with heterojunctions [11,16]. Self-powered solar-blind PDs are of special interest, because they can work in the absence of an external power supply. A strong built-in electric field ensures that this high-performance, self-powered, solar-blind Schottky barrier diode photodetector can operate at zero bias voltage [14]. Different metals have been used as the Schottky contacts of β-Ga2O3, e.g., Au, Ti, Ni, Pt, Cu, and Pb [17]. For example, Chen et al. [18] reported a self-powered photodetector based on a Au/β-Ga2O3 nanowire array film Schottky, in which the responsivity reached 0.01 (mA/W) during 254 nm light illumination with 2 mW/cm2 at a bias of 0 V. Zhi et al. [19] studied the Au/β-Ga2O3 Schottky solar-blind photodetector, and they achieved a responsivity of 0.4 (mA/W) for 0 V bias and 254 nm illumination. Peng et al. [10] reported a Pt/β-Ga2O3 Schottky barrier diode solar-blind photodetector with nearly a 104 of light to dark current ratio at 0 V bias and a wavelength of 254 nm. Liu et al. [20] studied a Ni/β-Ga2O3 Schottky barrier diode solar-blind photodetector tested under 254 nm light, and they obtained responsivities of about 806.02 (A/W) and 1372.92 (A/W) under −5 V and 5 V, respectively. In the publications mentioned above, various metals were used, such as Pt, Ni, and Au, for Schottky contact formation with β-Ga2O3. In addition, transparent materials and oxides are used for the formation of the Schottky contact with β-Ga2O3. However, these types of materials formed a low Schottky barrier height with β-Ga2O3. For example, Zhuo et al. [14] reported a MoS2/β-Ga2O3 heterojunction self-powered photodetector with a 670 ratio of light current to dark current at 0 V, and this result was achieved because of the very low value of the Schottky barrier. Chen et al. [17] studied a self-powered MXenes/β-Ga2O3 photodetector under 254 nm wavelength with a light illumination of 115.1 µW.cm−2 and a 1.6 × 104 ratio of light current to dark current at 0 V and an extracted Schottky barrier height of about 0.9 eV. Then, Cui et al. [21] published a flexible solar-blind amorphous β-Ga2O3 photodetector with an indium tin oxide (ITO) transparent conducting electrode, with a photocurrent that is less effected at 0 V and under 254 nm when it is exposed to an oxygen flux of 0.14 SCCM; this result was related to the low Schottky barrier height of about 0.97 eV. In addition, Kim et al. [11] used InZnSnO (IZTO) for Schottky contact formation with β-Ga2O3, and a Schottky barrier height greater than 1.06 eV was obtained; these results indicate that this photodetector can work in the absence of an external power supply.
Here, we constructed simulation–experiment combination of ITZO/β-Ga2O3 SBD-based UV photodiodes under the illumination to reveal the physics behind the behavior of the J–V characteristics in terms of workfunction, IL electron affinity and interfacial traps. The different conduction mechanisms we performed were taken into consideration either collectively or individually. Their parameters were scanned over a physically acceptable range so that an acceptable comparison of measurement to simulation was achieved. Good agreement between simulation and experiment was observed clearly with the consideration of the effect of different IZTO workfunctions, IZTO/β-Ga2O3 interfacial layer electron affinity, and the effect of interfacial traps. Additionally, the IZTO/β-Ga2O3 self-powered solar-blind PDs were tested and compared with measurements at the photo power density of 1 mW/cm2 and the wavelength of 255 nm.

2. Experiment

The Solar-blind Schottky photodetector was fabricated on a 650 µm, Sn-doped, bulk β-Ga2O3 single-crystal wafer ((Nd−Na) = 1 × 1018 cm−3, Novel Crystal Technology, Inc., Saitama, Japan) with (001) surface orientation. The epitaxial layer of Si-doped β-Ga2O3 (10 µm thick, 1 × 1018 cm−3) was grown by halide vapor phase epitaxy (HVPE). Si-doped β-Ga2O3 was used as the active layer in this solar-blind Schottky photodetector, as it provides a high purity and a low resistance [2]. The ITO electrode was deposited by sputtering on the bottom of Sn-doped β-Ga2O3 as an ohmic contact. IZTO was deposited on the top of the Si-doped β-Ga2O3 as a Schottky contact by two-faced target co-sputtering with ITO (In2O3:SnO = 9:1) and IZO (In2O3:ZnO = 9:1) at room temperature. Figure 1 shows a schematic representation of this SBD structure. After the deposition of the layers, the device was annealed at 600 °C in Ar for 1 min using rapid thermal annealing. The electrical J–V in dark and light was measured using a semiconductor analyzer and a source meter (SCS-4200A and 2410 Source meter, Keithley, Beaverton, OR, USA). Further details can be found in our previous publication [11].

3. Simulation Methodology

For the simulation, we considered thermionic emission, Shockley–Read–Hall, Auger recombination, and image force lowering models. The physical parameters of different layers and related traps are presented in Table 1 and Table 2, respectively.
SILVACO TCAD (Version 5.24.1.R, Silvaco Inc.: Santa Clara, CA, USA) was used to model the above structure. It solves the basic drift–diffusion semiconductor Poisson and continuity equations, which are [2,3,22]:
Poisson equation is given by [2,3,22]:
d i v ε ψ = q p n + N d ± N t ±
where ψ is the electrostatic potential, ε is the permittivity, p and n are the concentrations of the free holes and electrons, respectively, and N t ± is the density of the ionized traps ( cm 3 ) .
The continuity equations for electrons and holes as defined in steady states are given by [2,3,22]:
0 = 1 q d i v J n + G n R n
0 = 1 q d i v J p + G p R p
where G n and G p are the generation rates for electrons and holes, respectively, and R n and R p are the recombination rates for electrons and holes, respectively. J n and J p are the electron density and the hole current density, respectively, which are given in terms of the free electron and hole density ( n and p), electric field (E) and mobility ( μ n and μ p ) [25]:
J n = q μ n n E + μ n K B T n
J p = q μ p p E μ p K B T p
Traps are represented by their ionized density,   N t ± . The sign ± depends on whether the trap is an acceptor or a donor, so that N t + = f N t and   N t = 1 f N t , f is the occupancy function given by   f = σ n n + σ p p σ n n + n t + σ p p + p t , and σ n p is the trap capture cross-section for electrons (holes). The recombination rate is related to traps through the well-known SRH formula, i.e., R n , p = p n n i 2 τ 0 n p + p t + τ 0 p n + n t , where n t = n i e x p E i E t / k T and   p t = n i e x p E t E i / k T , and τ 0 n and τ 0 p are the minority carrier lifetimes which are also related to the traps through τ 0 n p = 1 v t h n p σ n p N t , where v t h n p is the thermal velocity of electrons (holes).
According to several publications [11,26,27], ITO forms an Ohmic contact with β- Ga 2 O 3 . In this simulation, an ideal ohmic contact was considered for ITO/β-Ga2O3 interface. A low ITO/β-Ga2O3 barrier was achieved when highly doped β- Ga 2 O 3 substrate was used.

4. Results and Discussion

4.1. Optical and Electrical Properties of IZTO Thin Film

The obtained resistivity, carrier concentration, workfunction, and mobility of IZTO were 4.86 × 10 4 Ω cm, 2.80 × 10 20   cm 3 , 4.79 eV, and 10.83 cm2/V s, respectively. Figure 2a shows the optical transmission ( T λ ) of IZTO thin film as a function of the wavelength in the 250–1200 nm range. The average transmittance of the IZTO films in the visible wavelength range was over 87%.
For direct bandgap semiconductors, the absorption can be obtained from the following equation [15]:
α h ν 2 = C · h ν E g
where α is the absorption coefficient, C is a constant, h is Planck’s constant, and ν is the frequency of the incident light. By plotting (α ( λ ) · h υ )2 versus h υ , the optical bandgap of the IZTO thin film was determined to be 3.5 eV, as shown in Figure 2b. This value agrees with the published value [28]. The refractive index has a significant importance in the design of optical devices. It reflects the crystallinity and optical quality of thin films. The extinction coefficient ( k ) and the refractive index ( n ) of IZTO thin film are calculated by [29]:
k λ = α . λ 4 π
n λ = 1 R λ 1 + R λ + 4 R λ 1 R λ 2 k λ 2
where R λ is the reflectance of the thin film, which can be calculated by the following equation [30]:
R λ = 1 T λ e α . t 2
where t is the IZTO thin film thickness, which is evaluated by ellipsometry at 300 nm. The extracted refractive index ( n ) and the extinction coefficient ( k ) are presented in Figure 3.
As mentioned above, the photodetector consisted of 300 nm IZTO deposited on the top of Si-doped β-Ga2O3, and the ITO layer was considered as an ohmic contact on the bottom of the Sn-doped β-Ga2O3 (Figure 1). Before simulating the proposed photodetector, the measurement of the dark output current density of SBD was reproduced, and details are provided in the next section.

4.2. Modeling the Dark Current of IZTO/β-Ga2O3 SBD

As presented in Figure 4, when the tunneling transport mechanism was not considered, the shape of the IZTO/β-Ga2O3 SBD current is parallel to the measurement current; this indicates that the thermionic transport mechanism dominates in the forward bias. However, when the properties presented in Table 1 and the traps presented in Table 2 were considered, a huge disagreement was obtained between the simulation and the measurement. This disagreement is related to the IZTO workfunction, i.e., the IZTO/β-Ga2O3 IL electron affinity (conduction band minimum), in addition to the effect of the surface traps between IZTO and the β-Ga2O3 drift layer.

4.3. Effect of IL Electron Affinity

Next, an IL (10 nm thickness) between Si-doped β-Ga2O3 and IZTO was considered for modeling the effect IZTO/β-Ga2O3 conduction band offset on the SBD performance. The effects of the IL electron affinity on the SBD J–V characteristics were studied, and these effects are shown in Figure 5. Experimentally, the IL electron affinity is related to the chemical composition of the surface [2] and surface polarization [31] as well as external effects, such as argon (Ar) bombardment, plasma, etc. The current density decreases with decreasing IL electron affinity of Si-doped β-Ga2O3, i.e., from 4 to 3.5 e V [32], but the IL electron affinity has a more pronounced effect in the high voltage domain. This is due to the increase in the height of the Schottky barrier ( ϕ B ) with decreasing IL electron affinity according to the Schottky–Mott rule and the increase in the series resistance [2]. As presented in Figure 6, with decreasing IL electron affinity, the barrier between IZTO and β-Ga2O3 increases. An agreement between measurement and simulation occurs for voltages higher than 1 V for a 3.556 eV IL electron affinity. However, a disagreement between simulation and measurement was noticed in the low-voltage domain, and this is related to the effect of the IZTO workfunction and the concentrations of the interfacial traps, which are addressed in the next two subsections.

4.4. Effect of the IZTO Workfunction

In addition to the IL electron affinity, the IZTO workfunction will have an effect. As shown in Figure 7, when the IZTO workfunction decreases from 5 to 4.5 eV [33,34] the current density increases. This increase in the current density is related to the decrease in ϕ B as presented in Figure 8; the formed barrier between IZTO and Si-doped β-Ga2O3 increased. The best agreement between simulation and measurement was achieved for ϕ I Z T O = 4.6   eV . The small deviation from measurement, i.e., in the range of 0.4–0.8 V, was due to the parameters of the traps that are considered (Table 2), which may not be accurate. It also may be related to the effect of the different compositions of the materials (In, Zn, and Sn) [35].

4.5. Effect of the Concentration of Traps at the IL

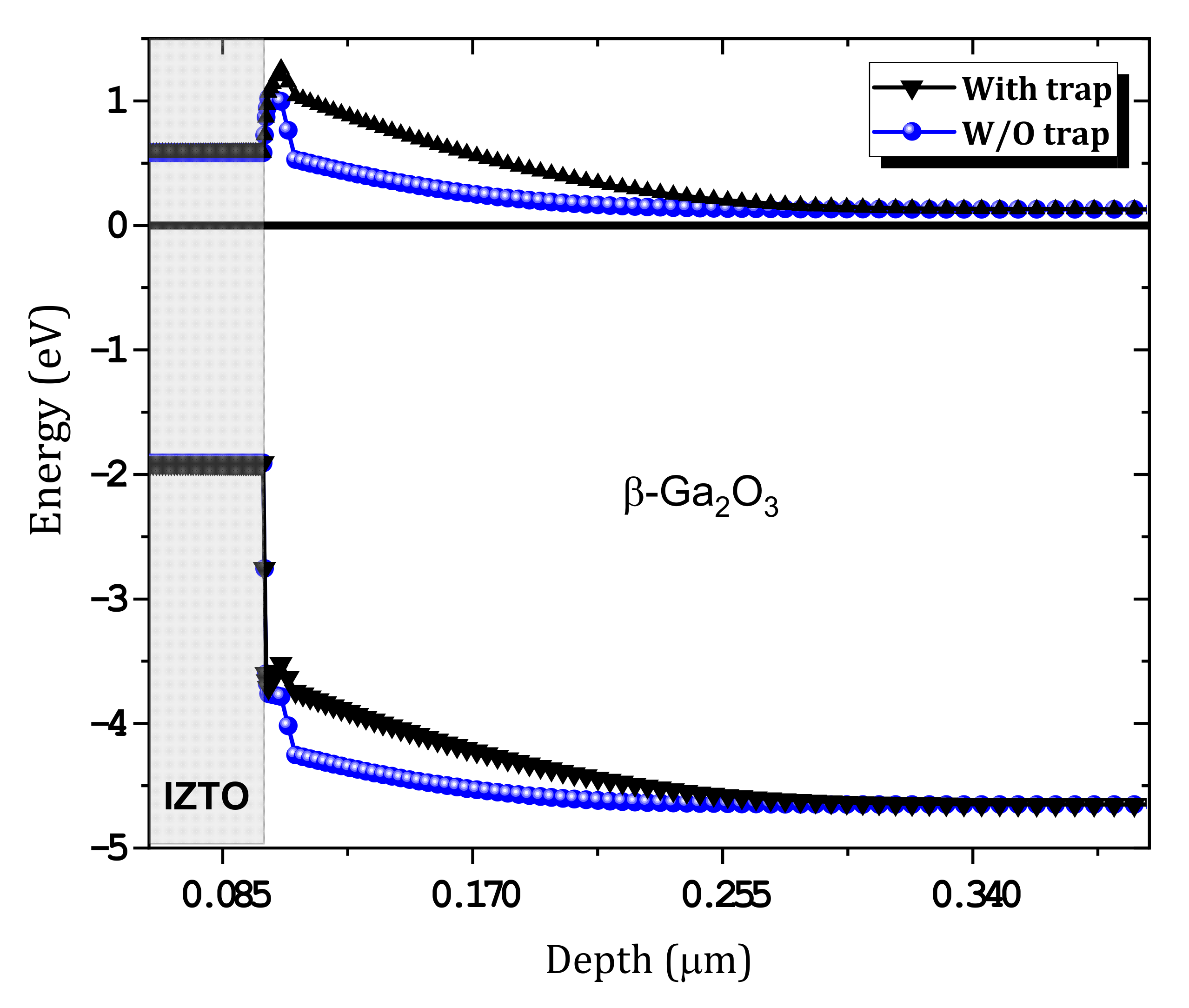
We studied the effect of the concentration of the (Ec−1.05) traps at IL on the characteristics of the SBD J–V. The traps that we considered were the most affected, especially given that the surface of the β-Ga2O3 is exposed to plasma and Ar bombardment [2]. For the four traps, these effects are shown in Figure 9a–d, respectively. First, all of the defects that were considered have a significant effect on the current density of the SBD. Among the defect concentrations that were considered, those that gave the best comparison with the measurements were 3.6 × 10 16 ,   4.6 × 10 16 , 4.6 × 10 16 and 1.1 × 10 15   cm 3 , respectively. The dark current was affected at high trap densities, and this result was related to electrons being captured by the traps. Figure 10 shows the effect of traps on the equilibrium band diagram. When traps were considered with the concentration mentioned above, the difference of conduction band and Fermi level (Ec – Ef) increased, and this meant a decrease in the free electron density. A good comparison between simulation and measurement is obtained as presented in Figure 11 and the extracted SBD parameters are presented in Table 3. The Schottky barrier height ( ϕ B ) and the Rs were extracted using the Sato and Yasumura method [3,36]. A high ϕ B was obtained with a low ideality factor close to unity in addition to the low densities of the interfacial traps, as expected in our previous publication [11]. In addition, a very low saturation current was obtained.

4.6. The Effect of 255 nm Wavelength Illumination on Forward Current

The simulated SBD J–V characteristics were successfully compared to measurements made at room temperature. This good agreement was achieved by modeling the effect of IL electron affinity, IZTO workfunction, and the concentrations of the IL traps. As shown in Table 3, a low dark saturation current was obtained, so this SBD is proposed as a high-performance solar-blind PD. The IZTO/β-Ga2O3 SBD was illuminated at 255 nm with a light intensity of 1mW/cm2. To evaluate the performance of the IZTO/β-Ga2O3 solar-blind SBD under 255 nm, the forward photocurrent was extracted with the consideration of the previous IZTO workfunction, the IL electron affinity, and the concentrations of the interfacial traps. As presented in Figure 12, good agreement was demonstrated between the simulation results and the actual measurements. The solar-blind SBD exhibited a high rectifying characteristic after illumination at 255 nm in forward voltage J P h o t o n   /   J d a r k = 3.70 × 10 5 under 0 V. The responsivity reached 0.64 (mA/W). The responsivity was estimated as follows [37]:
R λ = J P h o t o n J d a r k P  
where J P h o t o n , J d a r k , and P are the photocurrent at a given voltage, the dark current, and the power density, respectively. With zero bias voltage, the photodetector had good responsivity under 255 nm light illumination with intensity of 1 (mW/cm2). In addition, a decrease in ϕ B from 1.25 eV in dark to 1.18 after illumination was observed.
In this solar-blind PD, the built-in electric field in the depletion region of the β-Ga2O3 and IZTO interface was enough to separate the photogenerated electron–hole pairs toward corresponding electrodes. In this structure, a high built-in potential is related to the high ϕ B . In addition, the effect of light power density on simulated J–V characteristics was studied. As presented in Figure 13, with increasing power density, the photocurrent increased, and a responsivity of 17.80 mA/W under 10 mW/cm2 was achieved. This increase in photocurrent is related to the increase in photo-excited, separated, and collected carriers [38]. This result agrees with the result obtained by Wu et al. [39].

5. Conclusions

The J–V characteristics of an IZTO/β-Ga2O3 Schottky barrier diode was simulated by SILVACO-Atlas and compared with measurements. The effects of the IZTO workfunction and the interfacial layer electron affinity and trap concentrations were studied for further agreement with measurements made in the dark. Then, we demonstrated the IZTO/β-Ga2O3 self-powered Schottky photodetector with a high photo-to-dark ratio and responsivity of 3.70 × 10 5 and 0.64 (mA/W) under 255 nm illumination with 1 mW/cm2 for 0 V, respectively. Finally, with increasing power density, the photocurrent increased, and a 17.80 mA/W responsivity under 10 mW/cm2 was obtained.

Author Contributions

Software, writing—original draft preparation, M.L. (Madani Labed); conceptualization, visualization, H.K.; visualization, J.H.P.; visualization, M.L. (Mohamed Labed); methodology A.M.; writing—review and editing N.S.; writing—review and editing Y.S.R. All authors have read and agreed to the published version of the manuscript.

Funding

This paper was supported by the Korea Institute for Advancement of Technology (KIAT) grant funded by the Ministry of Trade, Industry & Energy (MOTIE, Korea). (P0012451, The Competency Development Program for Industry Specialist) and was also supported by the Technology Innovation Program—(20016102, Development of 1.2kV Gallium oxide power semiconductor devices technology) funded by MOTIE, Korea.

Institutional Review Board Statement

Not applicable.

Informed Consent Statement

Not applicable.

Data Availability Statement

Data presented in this article is available on request from the corresponding author.

Acknowledgments

Madani Labed and Hojoong Kim contributed equally to this work.

Conflicts of Interest

The authors declare that they have no known competing financial interests or personal relationships that could have appeared to influence the work reported in this paper.

References

  1. Galazka, Z. β-Ga2O3 for wide-bandgap electronics and optoelectronics. Semicond. Sci. Technol. 2018, 33, 113001. [Google Scholar] [CrossRef]
  2. Labed, M.; Sengouga, N.; Labed, M.; Meftah, A.; Kyoung, S.; Kim, H.; Rim, Y.S. Modeling a Ni/β-Ga2O3 Schottky barrier diode deposited by confined magnetic-field-based sputtering. J. Phys. D Appl. Phys. 2021, 54, 115102. [Google Scholar] [CrossRef]
  3. Labed, M.; Sengouga, N.; Labed, M.; Meftah, A.; Kyoung, S.; Kim, H.; Rim, Y.S. Modeling and analyzing temperature-dependent parameters of Ni/β-Ga2O3 Schottky barrier diode deposited by confined magnetic field-based sputtering. Semicond. Sci. Technol. 2021, 36, 35020. [Google Scholar] [CrossRef]
  4. Labed, M.; Sengouga, N.; Meftah, A.; Labed, M.; Kyoung, S.; Kim, H.; Rim, Y.S. Leakage Current Modelling and Optimization of β-Ga2O3 Schottky Barrier Diode with Ni Contact under High Reverse Voltage. ECS J. Solid State Sci. Technol. 2020, 9, 125001. [Google Scholar] [CrossRef]
  5. Pearton, S.J.; Ren, F.; Tadjer, M.; Kim, J. Perspective: Ga2O3 for ultra-high power rectifiers and MOSFETS. J. Appl. Phys. 2018, 124, 220901. [Google Scholar] [CrossRef] [Green Version]
  6. Thomas, S.R.; Adamopoulos, G.; Lin, Y.-H.; Faber, H.; Sygellou, L.; Stratakis, E.; Pliatsikas, N.; Patsalas, P.A.; Anthopoulos, T.D. High electron mobility thin-film transistors based on Ga2O3 grown by atmospheric ultrasonic spray pyrolysis at low temperatures. Appl. Phys. Lett. 2014, 105, 092105. [Google Scholar] [CrossRef]
  7. Grillo, A.; Barrat, J.; Galazka, Z.; Passacantando, M.; Giubileo, F.; Iemmo, L.; Luongo, G.; Urban, F.; Dubourdieu, C.; Di Bartolomeo, A. High field-emission current density from β-Ga2O3 nanopillars. Appl. Phys. Lett. 2019, 114, 193101. [Google Scholar] [CrossRef]
  8. Jian, G.; He, Q.; Mu, W.; Fu, B.; Dong, H.; Qin, Y.; Zhang, Y.; Xue, H.; Long, S.; Jia, Z.; et al. Characterization of the inhomogeneous barrier distribution in a Pt/(100)β-Ga2O3 Schottky diode via its temperature-dependent electrical properties. AIP Adv. 2018, 8, 015316. [Google Scholar] [CrossRef] [Green Version]
  9. Labed, M.; Park, J.H.; Meftah, A.; Sengouga, N.; Hong, J.Y.; Jung, Y.-K.; Rim, Y.S. Low Temperature Modeling of Ni/β-Ga2O3 Schottky Barrier Diode Interface. ACS Appl. Electron. Mater. 2021, 3, 3667–3673. [Google Scholar] [CrossRef]
  10. Peng, B.; Yuan, L.; Zhang, H.; Cheng, H.; Zhang, S.; Zhang, Y.; Zhang, Y.; Jia, R. Fast-response self-powered solar-blind photodetector based on Pt/β-Ga2O3 Schottky barrier diodes. Optik 2021, 245, 167715. [Google Scholar] [CrossRef]
  11. Kim, H.; Seok, H.-J.; Park, J.H.; Chung, K.-B.; Kyoung, S.; Kim, H.-K.; Rim, Y.S. Fully Transparent InZnSnO/β-Ga2O3/InSnO Solar-Blind Photodetectors with High Schottky Barrier Height and Low-Defect Interfaces. J. Alloys Compd. 2021, 890, 161931. [Google Scholar] [CrossRef]
  12. Guo, D.; Liu, H.; Li, P.; Wu, Z.; Wang, S.; Cui, C.; Li, C.; Tang, W. Zero-Power-Consumption Solar-Blind Photodetector Based on β-Ga2O3/NSTO Heterojunction. ACS Appl. Mater. Interfaces 2017, 9, 1619–1628. [Google Scholar] [CrossRef] [PubMed]
  13. Qin, Y.; Li, L.; Zhao, X.; Tompa, G.S.; Dong, H.; Jian, G.; He, Q.; Tan, P.; Hou, X.; Zhang, Z.; et al. Metal–Semiconductor–Metal ε-Ga2O3 Solar-Blind Photodetectors with a Record-High Responsivity Rejection Ratio and Their Gain Mechanism. ACS Photonics 2020, 7, 812–820. [Google Scholar] [CrossRef]
  14. Zhuo, R.; Wu, D.; Wang, Y.; Wu, E.; Jia, C.; Shi, Z.; Xu, T.; Tian, Y.; Li, X. A self-powered solar-blind photodetector based on a MoS2/β-Ga2O3 heterojunction. J. Mater. Chem. C 2018, 6, 10982–10986. [Google Scholar] [CrossRef]
  15. Liu, Z.; Wang, X.; Liu, Y.; Guo, D.; Li, S.; Yan, Z.; Tan, C.-K.; Li, W.; Li, P.; Tang, W. A high-performance ultraviolet solar-blind photodetector based on a β-Ga2O3 Schottky photodiode. J. Mater. Chem. C 2019, 7, 13920–13929. [Google Scholar] [CrossRef]
  16. Zou, Y.; Zhang, Y.; Hu, Y.; Gu, H. Ultraviolet Detectors Based on Wide Bandgap Semiconductor Nanowire: A Review. Sensors 2018, 18, 2072. [Google Scholar] [CrossRef] [Green Version]
  17. Chen, Y.; Zhang, K.; Yang, X.; Chen, X.; Sun, J.; Zhao, Q.; Li, K.; Shan, C. Solar-blind photodetectors based on MXenes–β-Ga2O3 Schottky junctions. J. Phys. D Appl. Phys. 2020, 53, 484001. [Google Scholar] [CrossRef]
  18. Chen, X.; Liu, K.; Zhang, Z.; Wang, C.; Li, B.; Zhao, H.; Zhao, D.; Shen, D. Self-Powered Solar-Blind Photodetector with Fast Response Based on Au/β-Ga2O3 Nanowires Array Film Schottky Junction. ACS Appl. Mater. Interfaces 2016, 8, 4185–4191. [Google Scholar] [CrossRef]
  19. Zhi, Y.; Liu, Z.; Chu, X.; Li, S.; Yan, Z.; Wang, X.; Huang, Y.; Wang, J.; Wu, Z.; Guo, D.; et al. Self-Powered β-Ga2O3 Solar-Blind Photodetector Based on the Planar Au/Ga2O3 Schottky Junction. ECS J. Solid State Sci. Technol. 2020, 9, 65011. [Google Scholar] [CrossRef]
  20. Liu, Z.; Zhi, Y.; Zhang, S.; Li, S.; Yan, Z.; Gao, A.; Zhang, S.; Guo, D.; Wang, J.; Wu, Z.; et al. Ultrahigh-performance planar β-Ga2O3 solar-blind Schottky photodiode detectors. Sci. China Technol. Sci. 2021, 64, 59–64. [Google Scholar] [CrossRef]
  21. Cui, S.; Mei, Z.; Zhang, Y.; Liang, H.; Du, X. Room-Temperature Fabricated Amorphous Ga2O3 High-Response-Speed Solar-Blind Photodetector on Rigid and Flexible Substrates. Adv. Opt. Mater. 2017, 5, 1700454. [Google Scholar] [CrossRef]
  22. Labed, M.; Sengouga, N.; Meftah, A.; Meftah, A.; Rim, Y.S. Study on the improvement of the open-circuit voltage of NiOx/Si heterojunction solar cell. Opt. Mater. 2021, 120, 111453. [Google Scholar] [CrossRef]
  23. Polyakov, A.Y.; Lee, I.-H.; Smirnov, N.B.; Yakimov, E.B.; Shchemerov, I.V.; Chernykh, A.V.; Kochkova, A.I.; Vasilev, A.A.; Carey, P.H.; Ren, F.; et al. Defects at the surface of β-Ga2O3 produced by Ar plasma exposure. APL Mater. 2019, 7, 061102. [Google Scholar] [CrossRef] [Green Version]
  24. Labed, M.; Sengouga, N.; Rim, Y.S. Control of Ni/β-Ga2O3 Vertical Schottky Diode Output Parameters at Forward Bias by Insertion of a Graphene Layer. Nanomaterials 2022, 12, 827. [Google Scholar] [CrossRef]
  25. Sze, S.M.; Ng, K.K. Physics and Properties of Semiconductors—A Review. Phys. Semicond. Devices 2006, 3, 5–75. [Google Scholar]
  26. Carey, P.H.; Yang, J.; Ren, F.; Hays, D.C.; Pearton, S.J.; Kuramata, A.; Kravchenko, I.I. Improvement of Ohmic contacts on Ga2O3 through use of ITO-interlayers. J. Vac. Sci. Technol. B 2017, 35, 61201. [Google Scholar] [CrossRef]
  27. Oshima, T.; Wakabayashi, R.; Hattori, M.; Hashiguchi, A.; Kawano, N.; Sasaki, K.; Masui, T.; Kuramata, A.; Yamakoshi, S.; Yoshimatsu, K.; et al. Formation of indium–tin oxide ohmic contacts for β-Ga2O3. Jpn. J. Appl. Phys. 2016, 55, 1202B7. [Google Scholar] [CrossRef]
  28. Li, K.-D.; Chen, P.-W.; Chang, K.-S.; Hsu, S.-C.; Jan, D.-J. Indium-Zinc-Tin-Oxide Film Prepared by Reactive Magnetron Sputtering for Electrochromic Applications. Materials 2018, 11, 2221. [Google Scholar] [CrossRef] [Green Version]
  29. Hakkoum, H.; Tibermacine, T.; Sengouga, N.; Belahssen, O.; Ghougali, M.; Benhaya, A.; Moumen, A.; Comini, E. Effect of the source solution quantity on optical characteristics of ZnO and NiO thin films grown by spray pyrolysis for the design NiO/ZnO photodetectors. Opt. Mater. 2020, 108, 110434. [Google Scholar] [CrossRef]
  30. Hassanien, A.S.; Akl, A.A. Influence of composition on optical and dispersion parameters of thermally evaporated non-crystalline Cd50S50−xSex thin films. J. Alloys Compd. 2015, 648, 280–290. [Google Scholar] [CrossRef]
  31. Yang, W.-C.; Rodriguez, B.J.; Gruverman, A.; Nemanich, R.J. Polarization-dependent electron affinity of LiNbO3 surfaces. Appl. Phys. Lett. 2004, 85, 2316–2318. [Google Scholar] [CrossRef] [Green Version]
  32. Mohamed, M.; Irmscher, K.; Janowitz, C.; Galazka, Z.; Manzke, R.; Fornari, R. Schottky barrier height of Au on the transparent semiconducting oxide β-Ga2O3. Appl. Phys. Lett. 2012, 101, 132106. [Google Scholar] [CrossRef]
  33. Lee, H.Y.; Lichtenwalner, D.J.; Jur, J.S.; Kingon, A.I. Investigation of Conducting Oxide and Metal Electrode Work Functions on Lanthanum Silicate High-k Dielectric. ECS Trans. 2019, 11, 607–612. [Google Scholar] [CrossRef]
  34. Choi, K.-H.; Nam, H.-J.; Jeong, J.-A.; Cho, S.-W.; Kim, H.-K.; Kang, J.-W.; Kim, D.-G.; Cho, W.-J. Highly flexible and transparent InZnSnOx∕Ag∕InZnSnOx multilayer electrode for flexible organic light emitting diodes. Appl. Phys. Lett. 2008, 92, 223302. [Google Scholar] [CrossRef]
  35. Buchholz, D.B.; Proffit, D.E.; Wisser, M.D.; Mason, T.O.; Chang, R.P.H. Electrical and band-gap properties of amorphous zinc–indium–tin oxide thin films. Prog. Nat. Sci. Mater. Int. 2012, 22, 1–6. [Google Scholar] [CrossRef] [Green Version]
  36. Sato, K.; Yasumura, Y. Study of forward I-V plot for Schottky diodes with high series resistance. J. Appl. Phys. 1985, 58, 3655–3657. [Google Scholar] [CrossRef]
  37. Hu, Q.; Wang, P.; Yin, J.; Liu, Y.; Lv, B.; Zhu, J.-L.; Dong, Z.; Zhang, W.; Ma, W.; Sun, J. High-Responsivity Photodetector Based on a Suspended Monolayer Graphene/RbAg4I5 Composite Nanostructure. ACS Appl. Mater. Interfaces 2020, 12, 50763–50771. [Google Scholar] [CrossRef]
  38. Periyanagounder, D.; Gnanasekar, P.; Varadhan, P.; He, J.-H.; Kulandaivel, J. High performance, self-powered photodetectors based on a graphene/silicon Schottky junction diode. J. Mater. Chem. C 2018, 6, 9545–9551. [Google Scholar] [CrossRef]
  39. Wu, D.; Zhao, Z.; Lu, W.; Rogée, L.; Zeng, L.; Lin, P.; Shi, Z.; Tian, Y.; Li, X.; Tsang, Y.H. Highly sensitive solar-blind deep ultraviolet photodetector based on graphene/PtSe2/β-Ga2O3 2D/3D Schottky junction with ultrafast speed. Nano Res. 2021, 14, 1973–1979. [Google Scholar] [CrossRef]
Figure 1. A schematic representation of the β-Ga2O3 Schottky barrier diode (SBD) structure.
Figure 1. A schematic representation of the β-Ga2O3 Schottky barrier diode (SBD) structure.
Nanomaterials 12 01061 g001
Figure 2. (a) The transmittance of IZTO thin film; (b) (α ( λ ) . h υ ) 2 of the IZTO thin film.
Figure 2. (a) The transmittance of IZTO thin film; (b) (α ( λ ) . h υ ) 2 of the IZTO thin film.
Nanomaterials 12 01061 g002
Figure 3. The extracted refractive index (n) and the extinction coefficient (k) of IZTO thin film.
Figure 3. The extracted refractive index (n) and the extinction coefficient (k) of IZTO thin film.
Nanomaterials 12 01061 g002
Figure 4. IZTO/β-Ga2O3 SBD forward current density with and without the tunneling model compared to measurement.
Figure 4. IZTO/β-Ga2O3 SBD forward current density with and without the tunneling model compared to measurement.
Nanomaterials 12 01061 g003
Figure 5. Effect of the IL electron affinity on the simulated J–V characteristics compared to measurement.
Figure 5. Effect of the IL electron affinity on the simulated J–V characteristics compared to measurement.
Nanomaterials 12 01061 g004
Figure 6. Equilibrium band diagram variation with the IL electron affinity.
Figure 6. Equilibrium band diagram variation with the IL electron affinity.
Nanomaterials 12 01061 g005
Figure 7. Simulated J–V characteristics for different IZTO workfunctions compared to measurements.
Figure 7. Simulated J–V characteristics for different IZTO workfunctions compared to measurements.
Nanomaterials 12 01061 g006
Figure 8. Equilibrium band diagram variation with the IZTO workfunction.
Figure 8. Equilibrium band diagram variation with the IZTO workfunction.
Nanomaterials 12 01061 g007
Figure 9. Effects of the density of the traps on SBD, i.e., the (a) E c 0.6   eV , (b) E c 0.75   eV , (c) E c 0.72   eV , and (d) E c 1.05   eV traps.
Figure 9. Effects of the density of the traps on SBD, i.e., the (a) E c 0.6   eV , (b) E c 0.75   eV , (c) E c 0.72   eV , and (d) E c 1.05   eV traps.
Nanomaterials 12 01061 g009
Figure 10. Equilibrium band diagram variation with and without traps.
Figure 10. Equilibrium band diagram variation with and without traps.
Nanomaterials 12 01061 g008
Figure 11. The best comparison between the simulation and the experimental results.
Figure 11. The best comparison between the simulation and the experimental results.
Nanomaterials 12 01061 g009
Figure 12. Comparison between simulation and measurement (under incident light power density of 1 mW/cm2) of J–V characteristics of IZTO/β-Ga2O3 at 255 nm wavelength.
Figure 12. Comparison between simulation and measurement (under incident light power density of 1 mW/cm2) of J–V characteristics of IZTO/β-Ga2O3 at 255 nm wavelength.
Nanomaterials 12 01061 g010
Figure 13. Effect of light power density on the simulated J–V characteristics. The inset is the variation of photocurrent with light power density at 0 V.
Figure 13. Effect of light power density on the simulated J–V characteristics. The inset is the variation of photocurrent with light power density at 0 V.
Nanomaterials 12 01061 g011
Table 1. Properties of each layer of the studied SBD [2,3,23].
Table 1. Properties of each layer of the studied SBD [2,3,23].
ParametersSn: β-Ga2O3Si: β-Ga2O3
Bandgap (eV)4.84.8
Affinity (eV)44
Hole   mobility   ( cm 2 V 1 s 1 ) 1010
Electron   mobility   ( cm 2 V 1 s 1 ) 172300
m e * / m 0 0.280.28
m h * / m 0 0.350.35
Relative permittivity12.611
N c ( cm 3 ) 3.7 × 10 18 3.7 × 10 18
N v ( cm 3 ) 5 × 10 18 5 × 10 18
N d ( cm 3 ) 1 × 10 18 3 × 10 16
Minority carrier diffusion length (nm) 450 450
Saturation velocity (cm s⁻1) 10 7 10 7
Table 2. Characteristics of the Sn-doped and Si-doped β-Ga2O3 traps considered in this work [1,2,3,24].
Table 2. Characteristics of the Sn-doped and Si-doped β-Ga2O3 traps considered in this work [1,2,3,24].
TrapsTrap Level
( E c E )   ( eV )
Concentration
( c m 3 )
Capture   Cross   Sec tion   σ n   ( cm 2 ) σ n / σ p
Sn-doped β-Ga2O3 Bulk layer0.55 3 × 10 13 2 × 10 14 100
0.74 2 × 10 16 2 × 10 14 100
1.04 4 × 10 16 2 × 10 14 10
Si-doped β-Ga2O3 thin layer0.60 3.6 × 10 13 2 × 10 14 100
0.75 4.6 × 10 13 2 × 10 14 100
0.72 4.6 × 10 13 2 × 10 14 100
1.05 1.1 × 10 14 2 × 10 14 10
Table 3. Output parameters from simulation and measurement.
Table 3. Output parameters from simulation and measurement.
Parameter n ϕ B
( eV )
R s
(   cm 2 )
R o n
(Ω cm2)
J s   ( A / cm 2 )
Simulation1.021.251.781.01 1.72 × 10 12
Measurement1.031.291.911.04 1.11 × 10 11
Publisher’s Note: MDPI stays neutral with regard to jurisdictional claims in published maps and institutional affiliations.

Share and Cite

MDPI and ACS Style

Labed, M.; Kim, H.; Park, J.H.; Labed, M.; Meftah, A.; Sengouga, N.; Rim, Y.S. Physical Operations of a Self-Powered IZTO/β-Ga2O3 Schottky Barrier Diode Photodetector. Nanomaterials 2022, 12, 1061. https://doi.org/10.3390/nano12071061

AMA Style

Labed M, Kim H, Park JH, Labed M, Meftah A, Sengouga N, Rim YS. Physical Operations of a Self-Powered IZTO/β-Ga2O3 Schottky Barrier Diode Photodetector. Nanomaterials. 2022; 12(7):1061. https://doi.org/10.3390/nano12071061

Chicago/Turabian Style

Labed, Madani, Hojoong Kim, Joon Hui Park, Mohamed Labed, Afak Meftah, Nouredine Sengouga, and You Seung Rim. 2022. "Physical Operations of a Self-Powered IZTO/β-Ga2O3 Schottky Barrier Diode Photodetector" Nanomaterials 12, no. 7: 1061. https://doi.org/10.3390/nano12071061

APA Style

Labed, M., Kim, H., Park, J. H., Labed, M., Meftah, A., Sengouga, N., & Rim, Y. S. (2022). Physical Operations of a Self-Powered IZTO/β-Ga2O3 Schottky Barrier Diode Photodetector. Nanomaterials, 12(7), 1061. https://doi.org/10.3390/nano12071061

Note that from the first issue of 2016, this journal uses article numbers instead of page numbers. See further details here.

Article Metrics

Back to TopTop