Improved Characteristics of CdSe/CdS/ZnS Core-Shell Quantum Dots Using an Oleylamine-Modified Process
Abstract
1. Introduction
2. Materials and Methods
2.1. Materials
2.2. Methods
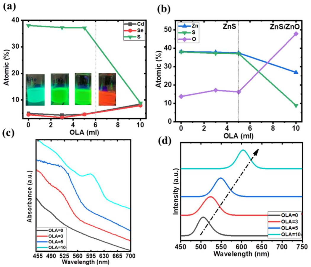
3. Results and Discussion
4. Conclusions
Author Contributions
Funding
Institutional Review Board Statement
Informed Consent Statement
Data Availability Statement
Conflicts of Interest
References
- Hasanzadeh, A.; Mofazzal Jahromi, M.A.; Abdoli, A.; Mohammad-Beigi, H.; Fatahi, Y.; Nourizadeh, H.; Zare, H.; Kiani, J.; Radmanesh, F.; Rabiee, N.; et al. Photoluminescent carbon quantum dot/poly-l-Lysine core-shell nanoparticles: A novel candidate for gene delivery. J. Drug Deliv. Sci. Technol. 2021, 61, 102118. [Google Scholar] [CrossRef]
- Liu, Y.; Zhao, C.; Li, J.; Zhao, S.; Xu, X.; Fu, H.Y.; Yu, C.; Kang, F.; Wei, G. Highly sensitive CuInS2/ZnS Core–Shell quantum dot photodetectors. ACS Appl. Electron. Mater. 2021, 3, 1236–1243. [Google Scholar] [CrossRef]
- Lu, W.; Song, B.; Li, H.; Zhou, J.; Dong, W.; Zhao, G.; Han, G. Strategy for performance enhancement of Cd1-XZnXTe/CdS core/shell quantum dot sensitized solar cells through band adjustment. J. Alloys Compd. 2020, 826, 154050. [Google Scholar] [CrossRef]
- Wang, J.; Lv, Z.; Xing, X.; Li, X.; Wang, Y.; Chen, M.; Pang, G.; Qian, F.; Zhou, Y.; Han, S.T. Optically modulated threshold switching in core–shell quantum dotbased memristive device. Adv. Funct. Mater. 2020, 30, 1909114. [Google Scholar] [CrossRef]
- Edvinsson, T. Optical quantum confinement and photocatalytic properties in two-, one- and zero-dimensional nanostructures. R. Soc. Open Sci. 2018, 5, 180387. [Google Scholar] [CrossRef]
- Moon, H.; Lee, C.; Lee, W.; Kim, J.; Chae, H. Stability of quantum dots, quantum dot films, and quantum dot light-emitting diodes for display applications. Adv. Mater. 2019, 31, 1804294. [Google Scholar] [CrossRef] [PubMed]
- Zhao, H.; Chaker, M.; Ma, D. Effect of CdS shell thickness on the optical properties of water-soluble, amphiphilic polymer-encapsulated PbS/CdS core/shell quantum dots. J. Mater. Chem. 2011, 21, 17483–17491. [Google Scholar] [CrossRef]
- Lambert, K.; Geyter, B.D.; Moreels, I.; Hens, Z. PbTe|CdTe core|shell particles by cation eExchange, A HR-TEM study. Chem. Mater. 2009, 21, 778–780. [Google Scholar] [CrossRef]
- Huang, K.; Demadrille, R.; Silly, M.G.; Sirotti, F.; Reiss, P.; Renault, O. Internal structure of InP/ZnS nanocrystals unraveled by high-resolution soft X-ray photoelectron spectroscopy. ACS Nano 2010, 4, 4799–4805. [Google Scholar] [CrossRef]
- Vasudevan, D.; Gaddam, R.R.; Trinchi, A.; Cole, I. Core–shell quantum dots: Properties and applications. J. Alloys Compd. 2015, 636, 395–404. [Google Scholar] [CrossRef]
- Zhu, J.; Wang, S.N.; Li, J.J.; Zhao, J.W. The effect of core size on the fluorescence emission properties of CdTe@CdS core@shell quantum dots. J. Lumin. 2018, 199, 216–224. [Google Scholar] [CrossRef]
- Dorfs, D.; Hickey, S.G.; Eychmüller, A. Type-I and Type-II Core-Shell Quantum Dots: Synthesis and Characterization. In Semiconductor Nanomaterials; Kumar, C.S.S.R., Ed.; Wiley-VCH: Weinheim, Germany, 2010; pp. 331–366. [Google Scholar]
- Fu, Y.; Kim, D.; Jiang, W.; Yin, W.; Ahn, T.K.; Chae, H. Excellent stability of thicker shell CdSe@ZnS/ZnS quantum dots. RSC Adv. 2017, 7, 40866–40872. [Google Scholar] [CrossRef]
- Nguyen, T.-L.; Michael, M.; Mulvaney, P. Synthesis of highly crystalline CdSe@ZnO nanocrystals via monolayer-by-monolayer epitaxial shell deposition. Chem. Mater. 2014, 26, 4274–4279. [Google Scholar] [CrossRef]
- Viswanathan, K.; Kim, I.; Kasi, G.; Sadeghi, K.; Thanakkasaranee, S.; Seo, J. Facile approach to enhance the antibacterial activity of ZnO nanoparticles. Adv. Appl. Ceram. 2020, 119, 414–422. [Google Scholar] [CrossRef]
- Devloo-Casier, K.; Geiregat, P.; Ludwig, K.F.; van Stiphout, K.; Vantomme, A.; Hens, Z.; Detavernier, C.; Dendooven, J. A Case study of ALD encapsulation of quantum dots: Embedding supported CdSe/CdS/ZnS quantum dots in a ZnO matrix. J. Phys. Chem. C. 2016, 120, 18039–18045. [Google Scholar] [CrossRef]
- Bae, W.K.; Char, K.; Hur, H.; Lee, S. Single-step synthesis of quantum dots with chemical composition gradients. Chem. Mater. 2008, 20, 531–539. [Google Scholar] [CrossRef]
- Zhang, Q.; Nie, C.; Chang, C.; Guo, C.; Jin, X.; Qin, Y.; Li, F.; Li, Q. Highly luminescent red emitting CdZnSe/ZnSe quantum dots synthesis and application for quantum dot light emitting diodes. Opt. Mater. Express 2017, 7, 3875–3884. [Google Scholar] [CrossRef]
- Hines, M.A.; Guyot-Sionnest, P. Synthesis and characterization of strongly luminescing ZnS-Capped CdSe Nanocrystals. J. Phys. Chem. 1996, 100, 468–471. [Google Scholar] [CrossRef]
- Cho, J.; Jung, Y.K.; Lee, J.K.; Jung, H.S. Highly efficient blue-emitting CdSe-derived core/shell gradient alloy quantum dots with improved photoluminescent quantum yield and enhanced photostability. Langmuir 2017, 33, 3711–3719. [Google Scholar] [CrossRef]
- Talapin, D.V.; Rogach, A.L.; Kornowski, A.; Haase, M.; Weller, H. Highly luminescent monodisperse CdSe and CdSe/ZnS nanocrystals synthesized in a hexadecylamine−trioctylphosphine oxide−trioctylphospine mixture. Nano Lett. 2001, 1, 207–211. [Google Scholar] [CrossRef]
- Pérez, E.; Benavente, R.; Quijada, R.; Narváez, A.; Galland, G.B. Structure characterization of copolymers of ethylene and 1-octadecene. J. Polym. Sci. B Polym. Phys. 2000, 38, 1440–1448. [Google Scholar] [CrossRef]
- Ghosh, S.; Das, K.; Chakrabarti, K.; De, S.K. Effect of oleic acid ligand on photophysical, photoconductive and magnetic properties of monodisperse SnO2 quantum dots. Dalton Trans. 2013, 42, 3434–3446. [Google Scholar] [CrossRef] [PubMed]
- Chen, M.; Feng, Y.G.; Wang, X.; Li, T.C.; Zhang, J.Y.; Qian, D.J. Silver nanoparticles capped by oleylamine: Formation, growth, and self-organization. Langmuir 2007, 23, 5296–5304. [Google Scholar] [CrossRef] [PubMed]
- Mourdikoudis, S.; Liz-Marzán, L.M. Oleylamine in nanoparticle synthesis. Chem. Mater. 2013, 25, 1465–1476. [Google Scholar] [CrossRef]
- Chen, Y.A.; Chou, K.H.; Kuo, Y.Y.; Wu, C.Y.; Hsiao, P.W.; Chen, P.W.; Yuan, S.H.; Wu, D.S. Formation of ZnO/Zn0.5Cd0.5Se Alloy quantum dots in the presence of high oleylamine contents. Nanomaterials 2019, 9, 999. [Google Scholar] [CrossRef]
- Aldeek, F.; Balan, L.; Medjahdi, G.; Roques-Carmes, T.; Malval, J.-P.; Mustin, C.; Ghanbaja, J.; Schneider, R. Enhanced optical properties of core/shell/shell CdTe/CdS/ZnO quantum dots prepared in aqueous solution. J. Phys. Chem. C 2009, 113, 19458–19467. [Google Scholar] [CrossRef]
- Leyre, S.; Coutino-Gonzalez, E.; Joos, J.J.; Ryckaert, J.; Meuret, Y.; Poelman, D.; Smet, P.F.; Durinck, G.; Hofkens, J.; Deconinck, G.; et al. Absolute determination of photoluminescence quantum efficiency using an integrating sphere setup. Rev. Sci. Instrum. 2014, 85, 123115. [Google Scholar] [CrossRef]
- Li, R.; Wei, Z.; Zhao, F.; Gao, X.; Fang, X.; Li, Y.; Wang, X.; Tang, J.; Fang, D.; Wang, H.; et al. Investigation of localized and delocalized excitons in ZnO/ZnS core-shell heterostructured nanowires. Nanophotonics 2017, 6, 1093–1100. [Google Scholar] [CrossRef]
- Gakhar, R.; Merwin, A.; Summers, K.; Pilli, S.K.; Chidambaram, D. Application of ZnxCd1−xSe-sensitized TiO2 nanotube arrays as photoanodes for solar cells. J. Mater. Chem. A 2014, 2, 10116–10125. [Google Scholar] [CrossRef]
- Gualdrón-Reyes, A.F.; Meléndez, A.M.; Tirado, J.; Mejia-Escobar, M.A.; Jaramillo, F.; Niño-Gómez, M.E. Hidden energy levels Carrier transport ability of CdS/CdS1−xSex quantum dot solar cells impacted by Cd–Cd level formation. Nanoscale 2019, 11, 762–774. [Google Scholar] [CrossRef]
- Selvaraj, J.; Mahesh, A.; Asokan, V.; Baskaralingam, V.; Dhayalan, A.; Paramasivam, T. Phosphine-free, highly emissive, water-soluble Mn:ZnSe/ZnS core–shell nanorods: Synthesis, characterization, and in vtro bioimaging of HEK293 and HeLa cells. ACS Appl. Nano Mater. 2018, 1, 371–383. [Google Scholar] [CrossRef]
- Cai, C.; Xu, Y.F.; Chen, H.Y.; Wang, X.D.; Kuang, D.B. Porous ZnO@ZnSe nanosheet array for photoelectrochemical reduction of CO2. Electrochim. Acta 2018, 274, 298–305. [Google Scholar] [CrossRef]
- Mittal, V.; Sessions, N.P.; Wilkinson, J.S.; Murugan, G.S. Optical quality ZnSe films and low loss waveguides on Si substrates for mid-infrared applications. Opt. Mater. Express 2017, 7, 712–725. [Google Scholar] [CrossRef]
- Singh, A.; Geaney, H.; Laffir, F.; Ryan, K.M. Colloidal synthesis of wurtzite Cu2ZnSnS4 nanorods and their perpendicular asembly. J. Am. Chem. Soc. 2012, 134, 2910–2913. [Google Scholar] [CrossRef]
- Zhu, C.Q.; Wang, P.; Wang, X.; Li, Y. Facile Phosphine-free synthesis of CdSe/ZnS core/shell nanocrystals without precursor Injection. Nanoscale Res. Lett. 2008, 3, 213–220. [Google Scholar]
- Kumar, P.; Maikap, S.; Prakash, A.; Tien, T.C. Time-dependent pH sensing phenomena using CdSe/ZnS quantum dots in EIS structure. Nanoscale Res. Lett. 2014, 9, 179. [Google Scholar] [CrossRef][Green Version]
- Powell, C.J.; Werner, W.S.M.; Kalbe, H.; Shard, A.G.; Castner, D.G. Comparisons of analytical approaches for determining shell thicknesses of core–shell nanoparticles by X-ray photoelectron spectroscopy. J. Phys. Chem. C. 2018, 122, 4073–4082. [Google Scholar] [CrossRef]
- Weigert, F.; Müller, A.; Häusler, I.; Geißler, D.; Skroblin, D.; Krumrey, M.; Unger, W.; Radnik, J.; Resch-Genger, U. Combining HR-TEM and XPS to elucidate the core–shell structure of ultrabright CdSe/CdS semiconductor quantum dots. Sci. Rep. 2020, 10, 20712. [Google Scholar] [CrossRef]
- Di Mauro, A.; Cantarella, M.; Nicotra, G.; Pellegrino, G.; Gulino, A.; Brundo, M.V.; Privitera, V.; Impellizzeri, G. Novel synthesis of ZnO/PMMA nanocomposites for photocatalytic applications. Sci. Rep. 2017, 7, 40895. [Google Scholar] [CrossRef]
- Talapin, D.V.; Mekis, I.; Götzinger, S.; Kornowski, A.; Benson, O.; Weller, H. CdSe/CdS/ZnS and CdSe/ZnSe/ZnS core−shell−shell nanocrystals. J. Phys. Chem. B 2004, 108, 18826–18831. [Google Scholar] [CrossRef]
- Gheshlaghi, N.; Pisheh, H.S.; Karim, M.R.; Malkoc, D.; Ünlü, H. Interfacial strain effect on type-I and type-II core/shell quantum dots. Superlattices Microstruct. 2016, 97, 489–494. [Google Scholar] [CrossRef]
- Smith, A.M.; Mohs, A.M.; Nie, S. Tuning the optical and electronic properties of colloidal nanocrystals by lattice strain. Nat. Nanotechnol. 2009, 4, 56–63. [Google Scholar] [CrossRef] [PubMed]
- Zhu, Z.; Ouyang, G.; Yang, G. The interface effect on the band offset of semiconductor nanocrystals with type-I core–shell structure. Phys. Chem. Chem. Phys. 2013, 15, 5472–5476. [Google Scholar] [CrossRef] [PubMed]
- Dinsmore, A.D.; Hsu, D.S.; Qadri, S.B.; Cross, J.O.; Kennedy, T.A.; Gray, H.F.; Ratna, B.R. Structure and luminescence of annealed nanoparticles of ZnS:Mn. J. Appl. Phys. 2000, 88, 4985–4993. [Google Scholar] [CrossRef]










Publisher’s Note: MDPI stays neutral with regard to jurisdictional claims in published maps and institutional affiliations. |
© 2022 by the authors. Licensee MDPI, Basel, Switzerland. This article is an open access article distributed under the terms and conditions of the Creative Commons Attribution (CC BY) license (https://creativecommons.org/licenses/by/4.0/).
Share and Cite
Chang, K.-P.; Yeh, Y.-C.; Wu, C.-J.; Yen, C.-C.; Wuu, D.-S. Improved Characteristics of CdSe/CdS/ZnS Core-Shell Quantum Dots Using an Oleylamine-Modified Process. Nanomaterials 2022, 12, 909. https://doi.org/10.3390/nano12060909
Chang K-P, Yeh Y-C, Wu C-J, Yen C-C, Wuu D-S. Improved Characteristics of CdSe/CdS/ZnS Core-Shell Quantum Dots Using an Oleylamine-Modified Process. Nanomaterials. 2022; 12(6):909. https://doi.org/10.3390/nano12060909
Chicago/Turabian StyleChang, Kai-Ping, Yu-Cheng Yeh, Chung-Jui Wu, Chao-Chun Yen, and Dong-Sing Wuu. 2022. "Improved Characteristics of CdSe/CdS/ZnS Core-Shell Quantum Dots Using an Oleylamine-Modified Process" Nanomaterials 12, no. 6: 909. https://doi.org/10.3390/nano12060909
APA StyleChang, K.-P., Yeh, Y.-C., Wu, C.-J., Yen, C.-C., & Wuu, D.-S. (2022). Improved Characteristics of CdSe/CdS/ZnS Core-Shell Quantum Dots Using an Oleylamine-Modified Process. Nanomaterials, 12(6), 909. https://doi.org/10.3390/nano12060909

