Nonlinear Optical Rectification in an Inversion-Symmetry-Broken Molecule near a Metallic Nanoparticle
Abstract
:1. Introduction
2. Theoretical Model
3. Results and Discussion
3.1. The Zinc–Phthalocyanine Molecular Complex
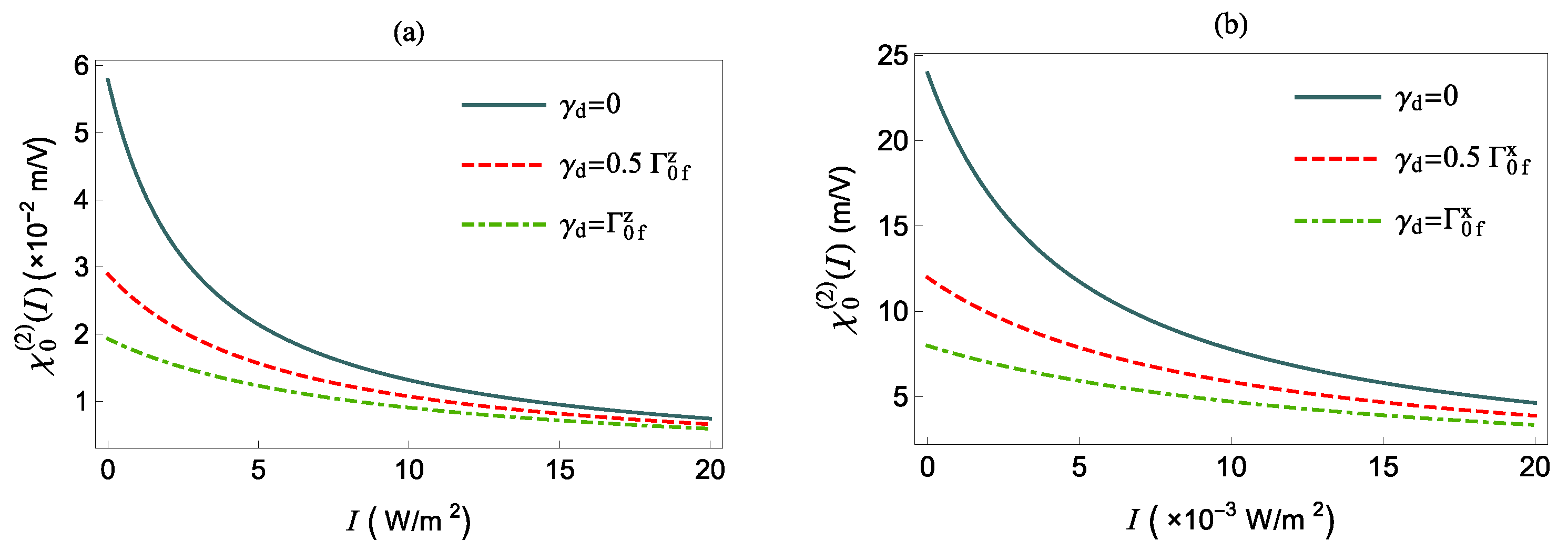
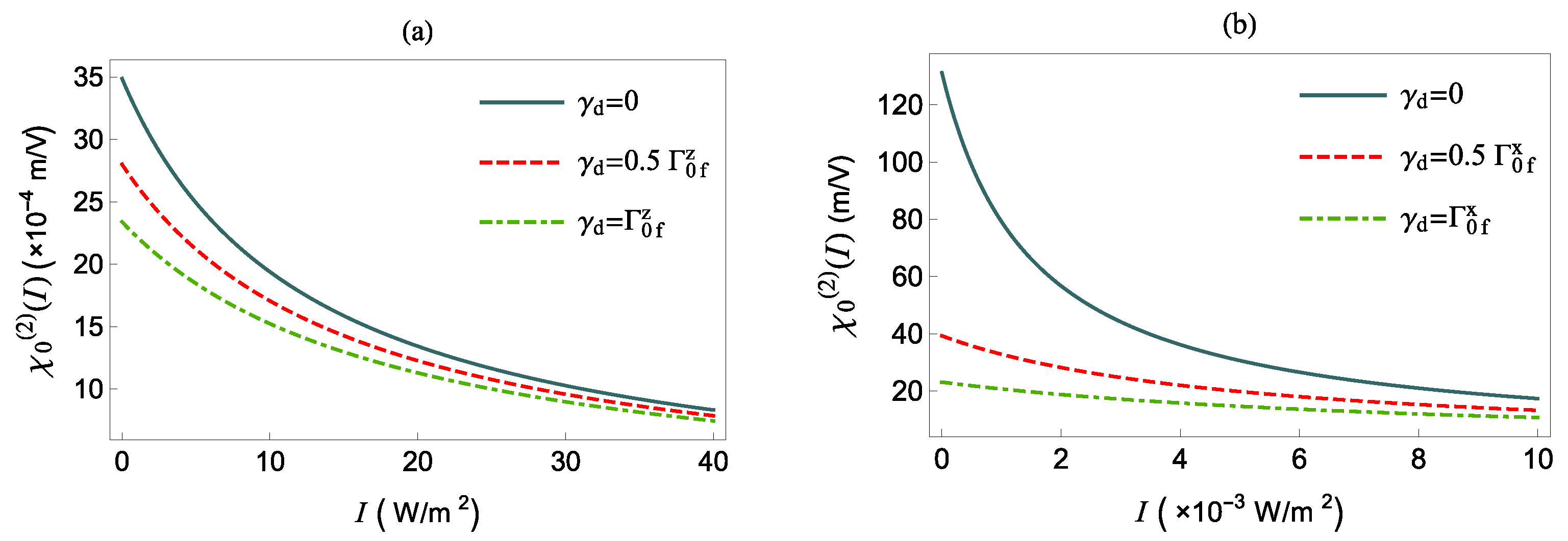
3.2. NOR of the Zinc–Phthalocyanine Complex
4. Conclusions
Author Contributions
Funding
Institutional Review Board Statement
Informed Consent Statement
Data Availability Statement
Acknowledgments
Conflicts of Interest
Abbreviations
| QS | Quantum system |
| MNP | Metallic nanoparticle |
| PDMs | Permanent electric dipole moments |
| NOR | Nonlinear optical rectification |
References
- Zhang, W.; Govorov, A.O.; Bryant, G.W. Semiconductor-metal nanoparticle molecules: Hybrid excitons and the nonlinear Fano effect. Phys. Rev. Lett 2006, 97, 146804. [Google Scholar] [CrossRef] [PubMed] [Green Version]
- Yan, J.-Y.; Zhang, W.; Duan, S.-Q.; Zhao, X.-G.; Govorov, A.O. Optical properties of coupled metal-semiconductor and metal-molecule nanocrystal complexes: Role of multipole effects. Phys. Rev. B 2008, 77, 165301. [Google Scholar] [CrossRef] [Green Version]
- Artuso, R.D.; Bryant, G.W. Strongly coupled quantum dot-metal nanoparticle systems: Exciton-induced transparency, discontinuous response, and suppression as driven quantum oscillator effects. Phys. Rev. B 2010, 82, 195419. [Google Scholar] [CrossRef]
- Singh, M.R.; Schindel, D.G.; Hatef, A. Dipole-dipole interaction in a quantum dot and metallic nanorod hybrid system. Appl. Phys. Lett. 2011, 99, 181106. [Google Scholar] [CrossRef]
- Kosionis, S.G.; Terzis, A.F.; Yannopapas, V.; Paspalakis, E. Nonlocal effects in energy absorption of coupled quantum dot–metal nanoparticle systems. J. Phys. Chem. C 2012, 116, 23663. [Google Scholar] [CrossRef]
- Sadeghi, S.M. Gain without inversion in hybrid quantum dot–metallic nanoparticle systems. Nanotechnology 2010, 21, 455401. [Google Scholar] [CrossRef]
- Kosionis, S.G.; Terzis, A.F.; Sadeghi, S.M.; Paspalakis, E. Optical response of a quantum dot–metal nanoparticle hybrid interacting with a weak probe field. J. Phys. Condens. Matter 2013, 25, 045304. [Google Scholar] [CrossRef]
- Sadeghi, S.M. Ultrafast plasmonic field oscillations and optics of molecular resonances caused by coherent exciton-plasmon coupling. Phys. Rev. A 2013, 88, 013831. [Google Scholar] [CrossRef]
- Zhao, D.-X.; Gu, Y.; Wu, J.; Zhang, J.-X.; Zhang, T.-C.; Gerardot, B.D.; Gong, Q.-H. Quantum-dot gain without inversion: Effects of dark plasmon-exciton hybridization. Phys. Rev. B 2014, 89, 245433. [Google Scholar] [CrossRef] [Green Version]
- Li, J.-H.; Shen, S.; Ding, C.-L.; Wu, Y. Magnetically induced optical transparency in a plasmon-exciton system. Phys. Rev. A 2021, 103, 053706. [Google Scholar] [CrossRef]
- Lu, Z.; Zhu, K.-D. Enhancing Kerr nonlinearity of a strongly coupled exciton–plasmon in hybrid nanocrystal molecules. J. Phys. B At. Mol. Opt. Phys. 2008, 41, 185503. [Google Scholar] [CrossRef]
- Paspalakis, E.; Evangelou, S.; Kosionis, S.G.; Terzis, A.F. Strongly modified four-wave mixing in a coupled semiconductor quantum dot-metal nanoparticle system. J. Appl. Phys. 2014, 115, 083106. [Google Scholar] [CrossRef]
- Kosionis, S.G.; Paspalakis, E. Control of self-Kerr nonlinearity in a driven coupled semiconductor quantum dot — metal nanoparticle structure. J. Phys. Chem. C 2019, 123, 7308–7317. [Google Scholar] [CrossRef]
- Malyshev, A.V.; Malyshev, V.A. Optical bistability and hysteresis of a hybrid metal-semiconductor nanodimer. Phys. Rev. B 2011, 84, 035314. [Google Scholar] [CrossRef]
- Nugroho, B.S.; Iskandar, A.A.; Malyshev, V.A.; Knoester, J. Bistable optical response of a nanoparticle heterodimer: Mechanism, phase diagram, and switching time. J. Chem. Phys. 2013, 139, 014303. [Google Scholar] [CrossRef] [Green Version]
- Mohammadzadeh, A.; Miri, M. Optical response of hybrid semiconductor quantum dot-metal nanoparticle system: Beyond the dipole approximation. J. Appl. Phys. 2018, 123, 043111. [Google Scholar] [CrossRef] [Green Version]
- Bavli, R.; Band, Y.B. Relationship between second-harmonic generation and electric-field-induced second-harmonic generation. Phys. Rev. A 1991, 43, 507. [Google Scholar] [CrossRef]
- Antón, M.A.; Gonzalo, I. Two-photon phase conjugation by degenerate four-wave mixing in polar molecules. J. Opt. Soc. Am. B 1991, 8, 1035. [Google Scholar] [CrossRef]
- Kibis, O.V.; Slepyan, G.Y.; Maksimenko, S.A.; Hoffmann, A. Matter coupling to strong electromagnetic fields in two-level quantum systems with broken inversion symmetry. Phys. Rev. Lett. 2009, 102, 023601. [Google Scholar] [CrossRef] [Green Version]
- Kavokin, K.V.; Kaliteevski, M.A.; Abram, R.A.; Kavokin, A.V.; Sharkova, S.; Shelykh, I.A. Stimulated emission of terahertz radiation by exciton-polariton lasers. Appl. Phys. Lett. 2010, 97, 201111. [Google Scholar] [CrossRef] [Green Version]
- Calderón, O.G.; Gutierrez-Castrejon, R.; Guerra, J.M. High harmonic generation induced by permanent dipole moments. IEEE J. Quantum Electron. 1999, 35, 47. [Google Scholar] [CrossRef]
- Paspalakis, E.; Boviatsis, J.; Baskoutas, S. Effects of probe field intensity in nonlinear optical processes in asymmetric semiconductor quantum dots. J. Appl. Phys. 2013, 114, 153107. [Google Scholar] [CrossRef]
- Oster, F.; Keitel, C.H.; Macovei, M. Generation of correlated photon pairs in different frequency ranges. Phys. Rev. A 2012, 85, 063814. [Google Scholar] [CrossRef] [Green Version]
- Macovei, M.; Mishra, M.; Keitel, C.H. Population inversion in two-level systems possessing permanent dipoles. Phys. Rev. A 2015, 92, 013846. [Google Scholar] [CrossRef] [Green Version]
- Yan, Y.; Lü, Z.; Zheng, H.; Zhao, Y. Exotic fluorescence spectrum of a superconducting qubit driven simultaneously by longitudinal and transversal fields. Phys. Rev. A 2016, 93, 033812. [Google Scholar] [CrossRef]
- Kryuchkyan, G.Y.; Shahnazaryan, V.; Kibis, O.V.; Shelykh, I.A. Resonance fluorescence from an asymmetric quantum dot dressed by a bichromatic electromagnetic field. Phys. Rev. A 2017, 95, 013834. [Google Scholar] [CrossRef] [Green Version]
- Antón, M.A.; Maede-Razavi, S.; Carreño, F.; Thanopulos, I.; Paspalakis, E. Optical and microwave control of resonance fluorescence and squeezing spectra in a polar molecule. Phys. Rev. A 2017, 96, 063812. [Google Scholar] [CrossRef]
- Scala, G.; Slowik, K.; Facchi, P.; Pascazio, S.; Pepe, F.V. Beyond the Rabi model: Light interactions with polar atomic systems in a cavity. Phys. Rev. A 2021, 104, 013722. [Google Scholar] [CrossRef]
- Mîrzac, A.; Carlig, S.; Macovei, M.A. Microwave multiphoton conversion via coherently driven permanent dipole systems. Phys. Rev. A 2021, 103, 043719. [Google Scholar] [CrossRef]
- Singh, M.R. Enhancement of the second-harmonic generation in a quantum dot–metallic nanoparticle hybrid system. Nanotechnology 2013, 24, 125701. [Google Scholar] [CrossRef]
- Turkpence, D.; Akguc, G.B.; Bek, A.; Tasgin, M.E. Engineering nonlinear response of nanomaterials using Fano resonances. J. Opt. 2014, 16, 105009. [Google Scholar] [CrossRef]
- Evangelou, S. Tailoring second-order nonlinear optical effects in coupled quantum dot-metallic nanosphere structures using the Purcell effect. Microelectron. Eng. 2019, 215, 111019. [Google Scholar] [CrossRef]
- Yan, J.-Y.; Zhang, W.; Duan, S.-Q.; Zhao, X.-G. Plasmon-enhanced midinfrared generation from difference frequency in semiconductor quantum dots. J. Appl. Phys. 2008, 103, 104314. [Google Scholar] [CrossRef]
- Thanopulos, I.; Paspalakis, E.; Yannopapas, V. Plasmon-induced enhancement of nonlinear optical rectification in organic materials. Phys. Rev. B 2012, 85, 035111. [Google Scholar] [CrossRef]
- Carreño, F.; Antón, M.A.; Paspalakis, E. Nonlinear optical rectification and optical bistability in a coupled asymmetric quantum dot-metal nanoparticle hybrid. J. Appl. Phys. 2018, 124, 113107. [Google Scholar] [CrossRef]
- Johnson, P.B.; Christy, R.W. Optical Constants of the Noble Metals. Phys. Rev. B 1972, 6, 4370. [Google Scholar] [CrossRef]
- Yannopapas, V.; Vitanov, N.V. Electromagnetic Green’s tensor and local density of states calculations for collections of spherical scatterers. Phys. Rev. B 2007, 75, 115124. [Google Scholar] [CrossRef]
- Fashina, A.; Nyokong, T. Nonlinear optical response of tetra and mono substituted zinc phthalocyanine complexes. J. Lumin. 2015, 167, 71. [Google Scholar] [CrossRef]
- Zhang, C.-X.; Liu, J.; Gao, Y.; Li, X.-H.; Lu, H.-B.; Wang, Y.; Feng, J.-J.; Lu, J.-B.; Ma, K.-X.; Chen, X.-H. Porous nickel oxide micron polyhedral particles for high-performance. ultrafast photonics. Opt. Laser Tech. 2022, 146, 107546. [Google Scholar] [CrossRef]
- Li, X.-H.; Guo, Y.-X.; Ren, Y.; Peng, J.-J.; Liu, J.-S.; Wang, C.; Zhang, H. Narrow-bandgap materials for optoelectronics applications. Front. Phys. 2022, 17, 13304. [Google Scholar] [CrossRef]
- Frisch, M.J.; Trucks, G.W.; Schlegel, H.B.; Scuseria, G.E.; Robb, M.A.; Cheeseman, J.R.; Scalmani, G.; Barone, V.; Petersson, G.A.; Nakatsuji, H.; et al. Gaussian 09, Revision A.02; Gaussian, Inc.: Wallingford, CT, USA, 2016. [Google Scholar]









| Dipole Moments/D | z-axis | x-axis |
|---|---|---|
Publisher’s Note: MDPI stays neutral with regard to jurisdictional claims in published maps and institutional affiliations. |
© 2022 by the authors. Licensee MDPI, Basel, Switzerland. This article is an open access article distributed under the terms and conditions of the Creative Commons Attribution (CC BY) license (https://creativecommons.org/licenses/by/4.0/).
Share and Cite
Domenikou, N.; Thanopulos, I.; Yannopapas, V.; Paspalakis, E. Nonlinear Optical Rectification in an Inversion-Symmetry-Broken Molecule near a Metallic Nanoparticle. Nanomaterials 2022, 12, 1020. https://doi.org/10.3390/nano12061020
Domenikou N, Thanopulos I, Yannopapas V, Paspalakis E. Nonlinear Optical Rectification in an Inversion-Symmetry-Broken Molecule near a Metallic Nanoparticle. Nanomaterials. 2022; 12(6):1020. https://doi.org/10.3390/nano12061020
Chicago/Turabian StyleDomenikou, Natalia, Ioannis Thanopulos, Vassilios Yannopapas, and Emmanuel Paspalakis. 2022. "Nonlinear Optical Rectification in an Inversion-Symmetry-Broken Molecule near a Metallic Nanoparticle" Nanomaterials 12, no. 6: 1020. https://doi.org/10.3390/nano12061020
APA StyleDomenikou, N., Thanopulos, I., Yannopapas, V., & Paspalakis, E. (2022). Nonlinear Optical Rectification in an Inversion-Symmetry-Broken Molecule near a Metallic Nanoparticle. Nanomaterials, 12(6), 1020. https://doi.org/10.3390/nano12061020

