Nanocellulose from Spanish Harvesting Residues to Improve the Sustainability and Functionality of Linerboard Recycling Processes
Abstract
1. Introduction
2. Materials and Methods
2.1. Materials
2.2. Production and Characterization of Cellulose Pulps
2.3. Preparation and Characterization of (L)CNF
2.4. Production and Evaluation of Reinforced-Recycled Linerboard Sheets
3. Results and Discussion
3.1. Nanofibrilation Suitability Study of Agricultural Residues Fibers
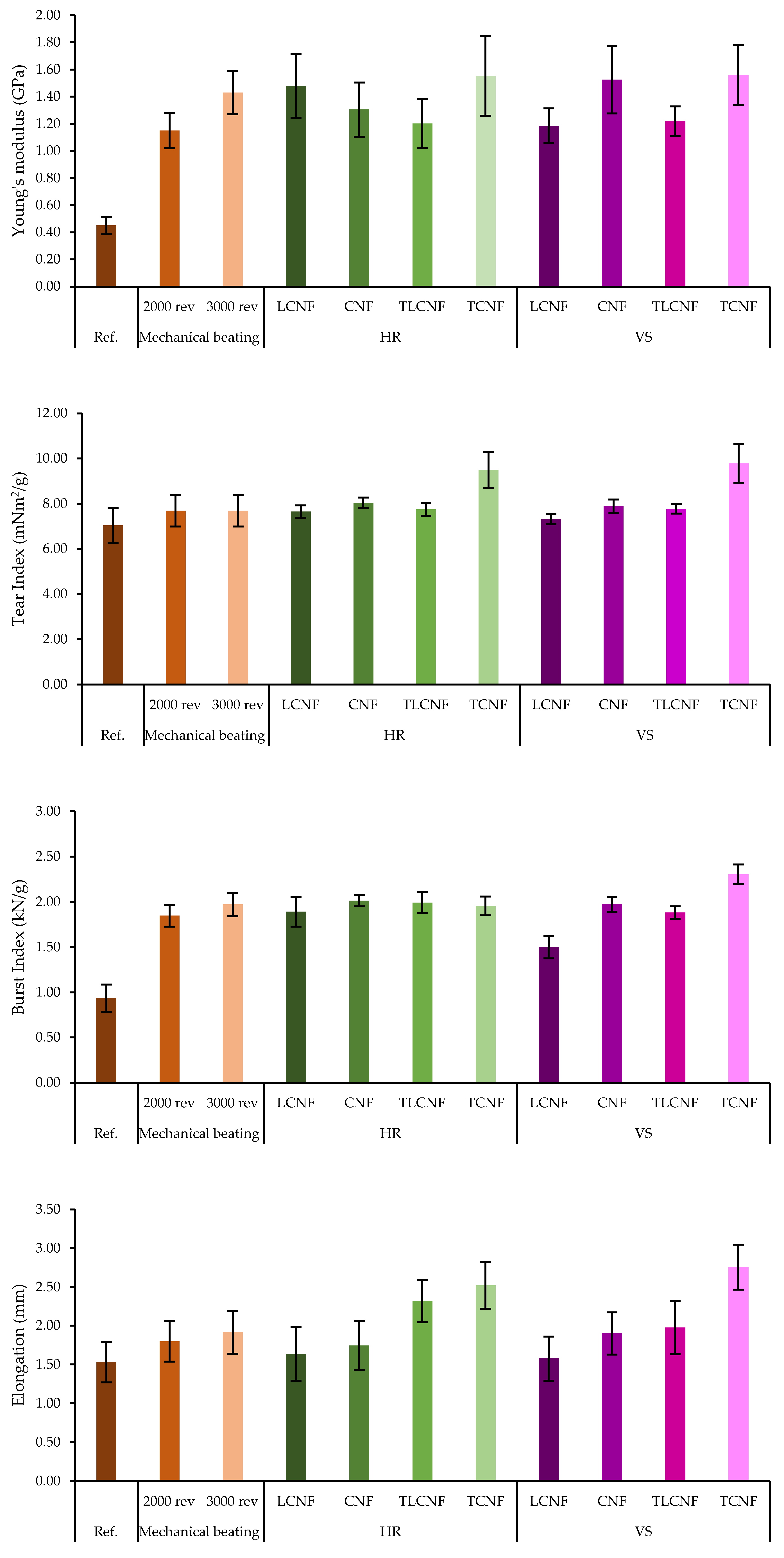
3.2. Production and Characterization of the Reinforced Recycled Linerboard
4. Conclusions
- Both HR and VS resulted in nanofibers with good properties for application as reinforcement in linerboard sheets.
 - The most remarkable nanofibers were HR-TCNF and VS-TCNF, which presented a cationic demand of 1043.54 and 1227.91 µeq·g/g, a carboxyl content of 148.12 and 168.93 µeq·g/g, and a specific surface area of 436 and 516 m2/g, respectively, in addition to nanofibrillated fractions of more than 60%.
 - The use of the nanofibers obtained as reinforcement in the linerboard resulted in an improvement of the mechanical properties of the recycled linerboard. The most significant increase was obtained when using HR-TCNF and VS-TCNF, which offset the loss of mechanical properties suffered during recycling. However, these samples were the ones that greatly reduced the drainability of the suspensions.
 - It was concluded that the use of cellulose nanofibers as a reinforcing agent outperforms the mechanical reinforcement produced by conventional mechanical refining used in the industry and extends the number of recycling cycles of the products due to the non-physical modification of the fibers.
 
Author Contributions
Funding
Data Availability Statement
Acknowledgments
Conflicts of Interest
References
- Espinosa, E.; Arrebola, R.I.; Bascón-Villegas, I.; Sánchez-Gutiérrez, M.; Domínguez-Robles, J.; Rodríguez, A. Industrial Application of Orange Tree Nanocellulose as Papermaking Reinforcement Agent. Cellulose 2020, 27, 10781–10797. [Google Scholar] [CrossRef]
 - Miao, Y.; Zhi, Y.; Zhang, H.; Chen, Y.; Shan, S.; Jia, Q.; Ni, Y. Recycled Fiber Treated with NaOH/Urea Aqueous Solution: Effects on Physical Properties of Paper Sheets and on Hornification. Nord. Pulp Pap. Res. J. 2018, 33, 651–660. [Google Scholar] [CrossRef]
 - Espinosa, E.; Rol, F.; Bras, J.; Rodríguez, A. Production of Lignocellulose Nanofibers from Wheat Straw by Different Fibrillation Methods. Comparison of Its Viability in Cardboard Recycling Process. J. Clean. Prod. 2019, 239, 118083. [Google Scholar] [CrossRef]
 - Salgueiro, A.M.; Evtuguin, D.V.; Saraiva, J.A.; Almeida, F. High Pressure-Promoted Xylanase Treatment to Enhance Papermaking Properties of Recycled Pulp. Appl. Microbiol. Biotechnol. 2016, 100, 9885–9893. [Google Scholar] [CrossRef]
 - Yang, H.; Qiu, L.; Qian, X.; Shen, J. Filler Modification for Papermaking with Cationic Starch and Carboxymethyl Cellulose: A Comparative Study. Bioresources 2013, 8, 5449–5460. [Google Scholar] [CrossRef]
 - Dhali, K.; Ghasemlou, M.; Daver, F.; Cass, P.; Adhikari, B. A Review of Nanocellulose as a New Material towards Environmental Sustainability. Sci. Total Environ. 2021, 775, 145871. [Google Scholar] [CrossRef] [PubMed]
 - Balea, A.; Merayo, N.; de La Fuente, E.; Negro, C.; Blanco, Á. Assessing the Influence of Refining, Bleaching and TEMPO-Mediated Oxidation on the Production of More Sustainable Cellulose Nanofibers and Their Application as Paper Additives. Ind. Crops Prod. 2017, 97, 374–387. [Google Scholar] [CrossRef]
 - Merayo, N.; Balea, A.; de la Fuente, E.; Blanco, Á.; Negro, C. Interactions between Cellulose Nanofibers and Retention Systems in Flocculation of Recycled Fibers. Cellulose 2017, 24, 677–692. [Google Scholar] [CrossRef]
 - Tarrés, Q.; Saguer, E.; Pèlach, M.A.; Alcalà, M.; Delgado-Aguilar, M.; Mutjé, P. The Feasibility of Incorporating Cellulose Micro/Nanofibers in Papermaking Processes: The Relevance of Enzymatic Hydrolysis. Cellulose 2016, 23, 1433–1445. [Google Scholar] [CrossRef]
 - Barbash, V.A.; Yashchenko, O.v. Preparation and Application of Nanocellulose from Non-Wood Plants to Improve the Quality of Paper and Cardboard. Appl. Nanosci. 2020, 10, 2705–2716. [Google Scholar] [CrossRef]
 - Sanchez-Salvador, J.L.; Balea, A.; Monte, M.C.; Negro, C.; Miller, M.; Olson, J.; Blanco, A. Comparison of Mechanical and Chemical Nanocellulose As Additives To Reinforce Recycled Cardboard. Sci. Rep. 2020, 10, 3778. [Google Scholar] [CrossRef] [PubMed]
 - Delgado-Aguilar, M.; González, I.; Tarrés, Q.; Pèlach, M.À.; Alcalà, M.; Mutjé, P. The Key Role of Lignin in the Production of Low-Cost Lignocellulosic Nanofibres for Papermaking Applications. Ind. Crops Prod. 2016, 86, 295–300. [Google Scholar] [CrossRef]
 - Bascón-Villegas, I.; Sánchez-Gutiérrez, M.; Pérez-Rodríguez, F.; Espinosa, E.; Rodríguez, A. Lignocellulose Nanofibre Obtained from Agricultural Wastes of Tomato, Pepper and Eggplants Improves the Performance of Films of Polyvinyl Alcohol (PVA) for Food Packaging. Foods 2021, 10, 3043. [Google Scholar] [CrossRef] [PubMed]
 - Ministerio de Agricultura, Pesca y Alimentación. Cifras Del Sector de Frutas y Hortalizas. 2022. Available online: https://www.mapa.gob.es/es/agricultura/temas/producciones-agricolas/cifrasdelsectordefrutasyhortalizasactualizadoa2021_tcm30-628724.pdf (accessed on 12 December 2022).
 - Kudakasseril Kurian, J.; Raveendran Nair, G.; Hussain, A.; Vijaya Raghavan, G.S. Feedstocks, Logistics and Pre-Treatment Processes for Sustainable Lignocellulosic Biorefineries: A Comprehensive Review. Renew. Sustain. Energy Rev. 2013, 25, 205–219. [Google Scholar] [CrossRef]
 - Jefatura del Estado. Ley 7/2022, de 8 de Abril, de Residuos y Suelos Contaminados Para Una Economía Circular, Spain. 2022. Available online: https://www.boe.es/eli/es/l/2022/04/08/7/dof/spa/pdf (accessed on 12 December 2022).
 - Technical Association of the Pulp and Paper Industry (TAPPI) Technical Association of the Pulp and Paper Industry (TAPPI) Standards: Regulation and Style Guidelines. 2018. Available online: http://www.tappi.org/content/pdf/standards/tm_guidelines_complete.pdf (accessed on 12 December 2022).
 - Tarrés, Q.; Espinosa, E.; Domínguez-Robles, J.; Rodríguez, A.; Mutjé, P.; Delgado-Aguilar, M. The Suitability of Banana Leaf Residue as Raw Material for the Production of High Lignin Content Micro/Nano Fibers: From Residue to Value-Added Products. Ind. Crops Prod. 2017, 99, 27–33. [Google Scholar] [CrossRef]
 - Besbes, I.; Alila, S.; Boufi, S. Nanofibrillated Cellulose from TEMPO-Oxidized Eucalyptus Fibres: Effect of the Carboxyl Content. Carbohydr. Polym. 2011, 84, 975–983. [Google Scholar] [CrossRef]
 - Henriksson, M.; Berglund, L.A.; Isaksson, P.; Lindström, T.; Nishino, T. Cellulose Nanopaper Structures of High Toughness. Biomacromolecules 2008, 9, 1579–1585. [Google Scholar] [CrossRef]
 - Shinoda, R.; Saito, T.; Okita, Y.; Isogai, A. Relationship between Length and Degree of Polymerization of TEMPO-Oxidized Cellulose Nanofibrils. Biomacromolecules 2012, 13, 842–849. [Google Scholar] [CrossRef]
 - Segal, L.; Creely, J.J.; Martin, A.E.; Conrad, C.M. An Empirical Method for Estimating the Degree of Crystallinity of Native Cellulose Using the X-Ray Diffractometer. Text. Res. J. 1959, 29, 786–794. [Google Scholar] [CrossRef]
 - Sánchez-Gutiérrez, M.; Espinosa, E.; Bascón-Villegas, I.; Pérez-Rodríguez, F.; Carrasco, E.; Rodríguez, A. Production of Cellulose Nanofibers from Olive Tree Harvest—A Residue with Wide Applications. Agronomy 2020, 10, 696. [Google Scholar] [CrossRef]
 - Espinosa, E.; Sánchez, R.; González, Z.; Domínguez-Robles, J.; Ferrari, B.; Rodríguez, A. Rapidly Growing Vegetables as New Sources for Lignocellulose Nanofibre Isolation: Physicochemical, Thermal and Rheological Characterisation. Carbohydr. Polym. 2017, 175, 27–37. [Google Scholar] [CrossRef] [PubMed]
 - Chen, M.; Ma, Q.; Zhu, J.Y.; Martin Alonso, D.; Runge, T. GVL Pulping Facilitates Nanocellulose Production from Woody Biomass. Green Chem. 2019, 21, 5316–5325. [Google Scholar] [CrossRef]
 - Iwamoto, S.; Abe, K.; Yano, H. The Effect of Hemicelluloses on Wood Pulp Nanofibrillation and Nanofiber Network Characteristics. Biomacromolecules 2008, 9, 1022–1026. [Google Scholar] [CrossRef] [PubMed]
 - Espinosa, E.; Sánchez, R.; Otero, R.; Domínguez-Robles, J.; Rodríguez, A. A Comparative Study of the Suitability of Different Cereal Straws for Lignocellulose Nanofibers Isolation. Int. J. Biol. Macromol. 2017, 103, 990–999. [Google Scholar] [CrossRef]
 - Morán, J.I.; Alvarez, V.A.; Cyras, V.P.; Vázquez, A. Extraction of Cellulose and Preparation of Nanocellulose from Sisal Fibers. Cellulose 2008, 15, 149–159. [Google Scholar] [CrossRef]
 - Demuner, I.F.; Colodette, J.L.; Gomes, F.J.B.; de Oliveira, R.C. Study of LCNF and CNF from Pine and Eucalyptus Pulps. Nord. Pulp Pap. Res. J. 2020, 35, 670–684. [Google Scholar] [CrossRef]
 - Jiang, F.; Hsieh, Y.-L. Chemically and Mechanically Isolated Nanocellulose and Their Self-Assembled Structures. Carbohydr. Polym. 2013, 95, 32–40. [Google Scholar] [CrossRef]
 - Ibrahim, M.M.; El-Zawawy, W.K.; Jüttke, Y.; Koschella, A.; Heinze, T. Cellulose and Microcrystalline Cellulose from Rice Straw and Banana Plant Waste: Preparation and Characterization. Cellulose 2013, 20, 2403–2416. [Google Scholar] [CrossRef]
 - Qing, Y.; Sabo, R.; Zhu, J.Y.; Agarwal, U.; Cai, Z.; Wu, Y. A Comparative Study of Cellulose Nanofibrils Disintegrated via Multiple Processing Approaches. Carbohydr. Polym. 2013, 97, 226–234. [Google Scholar] [CrossRef]
 - Boufi, S. Agricultural Crop Residue as a Source for the Production of Cellulose Nanofibrils. In Cellulose-Reinforced Nanofibre Composites; Elsevier: Amsterdam, The Netherlands, 2017; pp. 129–152. [Google Scholar]
 - Gharehkhani, S.; Sadeghinezhad, E.; Kazi, S.N.; Yarmand, H.; Badarudin, A.; Safaei, M.R.; Zubir, M.N.M. Basic Effects of Pulp Refining on Fiber Properties—A Review. Carbohydr. Polym. 2015, 115, 785–803. [Google Scholar] [CrossRef]
 - Tarrés, Q.; Pellicer, N.; Balea, A.; Merayo, N.; Negro, C.; Blanco, A.; Delgado-Aguilar, M.; Mutjé, P. Lignocellulosic Micro/Nanofibers from Wood Sawdust Applied to Recycled Fibers for the Production of Paper Bags. Int. J. Biol. Macromol. 2017, 105, 664–670. [Google Scholar] [CrossRef] [PubMed]
 - Okahisa, Y.; Furukawa, Y.; Ishimoto, K.; Narita, C.; Intharapichai, K.; Ohara, H. Comparison of Cellulose Nanofiber Properties Produced from Different Parts of the Oil Palm Tree. Carbohydr. Polym. 2018, 198, 313–319. [Google Scholar] [CrossRef] [PubMed]
 - Yu, Y.; Wang, H.; Lu, F.; Tian, G.; Lin, J. Bamboo Fibers for Composite Applications: A Mechanical and Morphological Investigation. J. Mater. Sci. 2014, 49, 2559–2566. [Google Scholar] [CrossRef]
 - Jeetah, P.; Golaup, N.; Buddynauth, K. Production of Cardboard from Waste Rice Husk. J. Environ. Chem. Eng. 2015, 3, 52–59. [Google Scholar] [CrossRef]
 - Gonzalo, A.; Bimbela, F.; Sánchez, J.L.; Labidi, J.; Marín, F.; Arauzo, J. Evaluation of Different Agricultural Residues as Raw Materials for Pulp and Paper Production Using a Semichemical Process. J. Clean. Prod. 2017, 156, 184–193. [Google Scholar] [CrossRef]
 - Taipale, T.; Österberg, M.; Nykänen, A.; Ruokolainen, J.; Laine, J. Effect of Microfibrillated Cellulose and Fines on the Drainage of Kraft Pulp Suspension and Paper Strength. Cellulose 2010, 17, 1005–1020. [Google Scholar] [CrossRef]
 - Hii, C.; Gregersen, Ø.W.; Chinga-Carrasco, G.; Eriksen, Ø. The Effect of MFC on the Pressability and Paper Properties of TMP and GCC Based Sheets. Nord. Pulp Pap. Res. J. 2012, 27, 388–396. [Google Scholar] [CrossRef]
 - Lourenço, A.F.; Gamelas, J.A.F.; Nunes, T.; Amaral, J.; Mutjé, P.; Ferreira, P.J. Influence of TEMPO-Oxidised Cellulose Nanofibrils on the Properties of Filler-Containing Papers. Cellulose 2017, 24, 349–362. [Google Scholar] [CrossRef]
 - Djafari Petroudy, S.R.; Syverud, K.; Chinga-Carrasco, G.; Ghasemain, A.; Resalati, H. Effects of Bagasse Microfibrillated Cellulose and Cationic Polyacrylamide on Key Properties of Bagasse Paper. Carbohydr. Polym. 2014, 99, 311–318. [Google Scholar] [CrossRef]
 - Hubbe, M.A. Prospects for Maintaining Strength of Paper and Paperboard Products While Using Less Forest Resources: A Review. Bioresources 2013, 9, 1634–1763. [Google Scholar] [CrossRef]
 - Rol, F.; Karakashov, B.; Nechyporchuk, O.; Terrien, M.; Meyer, V.; Dufresne, A.; Belgacem, M.N.; Bras, J. Pilot-Scale Twin Screw Extrusion and Chemical Pretreatment as an Energy-Efficient Method for the Production of Nanofibrillated Cellulose at High Solid Content. ACS Sustain. Chem. Eng. 2017, 5, 6524–6531. [Google Scholar] [CrossRef]
 




| Sample Name | Origin (Harvesting Residue) | Cellulose Pulp | Pretreatment (Prior to Nanofiber Obtention) | 
|---|---|---|---|
| HR-LCNF | Horticultural residues | Unbleached | Mechanical | 
| HR-CNF | Bleached | ||
| VS-LCNF | Vine shoots | Unbleached | |
| VS-CNF | Bleached | ||
| HR-TLCNF | Horticultural residues | Unbleached | Chemical | 
| HR-TCNF | Bleached | ||
| VS-TLCNF | Vine shoots | Unbleached | |
| VS-TCNF | Bleached | 
| Extractives (%) | Ashes (%) | Lignin (%) | Hemicelluloses (%) | α-Cellulose (%) | |
|---|---|---|---|---|---|
| HR 1 | 17.12 ± 1.55 | 14.86 ± 1.35 | 15.03 ± 1.36 | 20.89 ± 1.90 | 32.10 ± 2.91 | 
| UBP-HR 2 | 11.02 ± 0.86 | 4.68 ± 0.02 | 16.00 ± 0.63 | 18.17 ± 1.21 | 50.45 ± 2.81 | 
| BP-HR 3 | 9.11 ± 0.47 | 3.20 ± 0.08 | 7.31 ± 0.51 | 16.23 ± 1.18 | 64.42 ± 7.55 | 
| VS 4 | 16.84 ± 2.38 | 1.96 ± 0.76 | 19.98 ± 1.89 | 22.06 ± 1.48 | 39.17 ± 0.35 | 
| UBP-VS 5 | 16.97 ± 2.00 | 3.49 ± 0.17 | 14.20 1.09 | 13.54 ± 0.97 | 51.89 ± 1.04 | 
| BP-VS 6 | 8.96 ± 0.41 | 3.27 ± 0.35 | 6.42 ± 2.37 | 12.43 ± 0.44 | 67.17 ± 5.91 | 
| Nanofibrillated Fraction  (%)  | Optical Transmittance  (%)  | Cationic Demand  (µeq·g/g)  | Carboxyl Content  (µeq·g/g)  | Specific Surface Area  (m2/g)  | Length  (nm)  | Diameter (nm) | |
|---|---|---|---|---|---|---|---|
| HR-LCNF | 23.63 ± 4.14 | 23.9 | 301.28 ± 28.39 | 35.69 ± 6.53 | 129 | 1536 | 19 | 
| HR-CNF | 38.22 ± 6.46 | 35.5 | 688.24 ± 18.90 | 77.28 ± 17.11 | 298 | 4960 | 8 | 
| HR-TLCNF | 49.52 ± 2.95 | 44.3 | 621.55 ± 9.45 | 83.83 ± 4.28 | 262 | 813 | 9 | 
| HR-TCNF | 63.44 ± 4.52 | 74.7 | 1043.54 ± 18.2 | 148.12 ± 5.26 | 436 | 614 | 6 | 
| VS-LCNF | 18.42 ± 2.73 | 20.1 | 398.67 ± 18.79 | 31.49 ± 8.40 | 179 | 1418 | 14 | 
| VS-CNF | 33.35 ± 3.50 | 35.7 | 407.44 ± 9.46 | 88.94 ± 11.25 | 155 | 6936 | 16 | 
| VS-TLCNF | 45.05 ± 2.88 | 35.4 | 744.60 ± 9.49 | 80.85 ± 15.89 | 323 | 1095 | 8 | 
| VS-TCNF | 60.42 ± 5.56 | 62.2 | 1227.91 ± 18.8 | 168.93 ± 10.25 | 516 | 755 | 5 | 
Publisher’s Note: MDPI stays neutral with regard to jurisdictional claims in published maps and institutional affiliations.  | 
© 2022 by the authors. Licensee MDPI, Basel, Switzerland. This article is an open access article distributed under the terms and conditions of the Creative Commons Attribution (CC BY) license (https://creativecommons.org/licenses/by/4.0/).
Share and Cite
De Haro-Niza, J.; Rincón, E.; Gonzalez, Z.; Espinosa, E.; Rodríguez, A. Nanocellulose from Spanish Harvesting Residues to Improve the Sustainability and Functionality of Linerboard Recycling Processes. Nanomaterials 2022, 12, 4447. https://doi.org/10.3390/nano12244447
De Haro-Niza J, Rincón E, Gonzalez Z, Espinosa E, Rodríguez A. Nanocellulose from Spanish Harvesting Residues to Improve the Sustainability and Functionality of Linerboard Recycling Processes. Nanomaterials. 2022; 12(24):4447. https://doi.org/10.3390/nano12244447
Chicago/Turabian StyleDe Haro-Niza, Jorge, Esther Rincón, Zoilo Gonzalez, Eduardo Espinosa, and Alejandro Rodríguez. 2022. "Nanocellulose from Spanish Harvesting Residues to Improve the Sustainability and Functionality of Linerboard Recycling Processes" Nanomaterials 12, no. 24: 4447. https://doi.org/10.3390/nano12244447
APA StyleDe Haro-Niza, J., Rincón, E., Gonzalez, Z., Espinosa, E., & Rodríguez, A. (2022). Nanocellulose from Spanish Harvesting Residues to Improve the Sustainability and Functionality of Linerboard Recycling Processes. Nanomaterials, 12(24), 4447. https://doi.org/10.3390/nano12244447
        
