Superconducting Valve Exploiting Interplay between Spin-Orbit and Exchange Interactions
Abstract
1. Introduction
2. Principle of Operation
3. Model
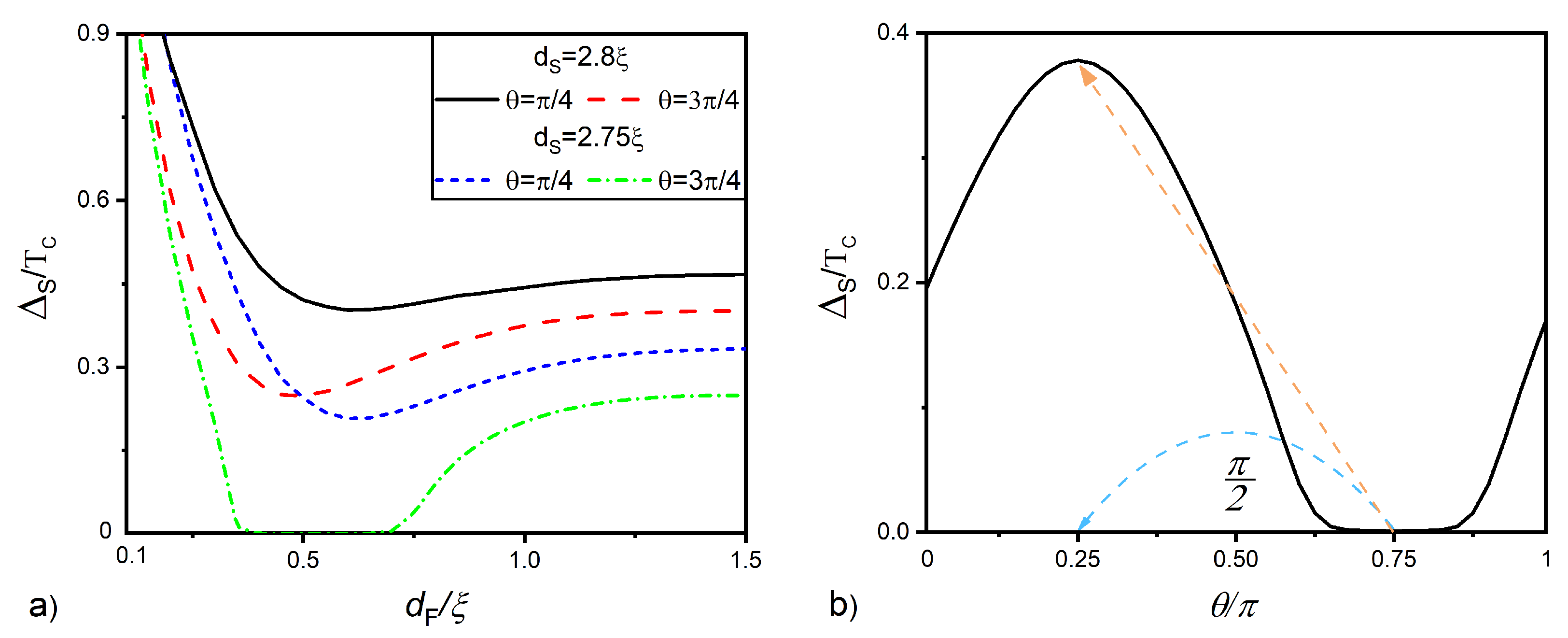
4. Proximity Effect in SNF Structures
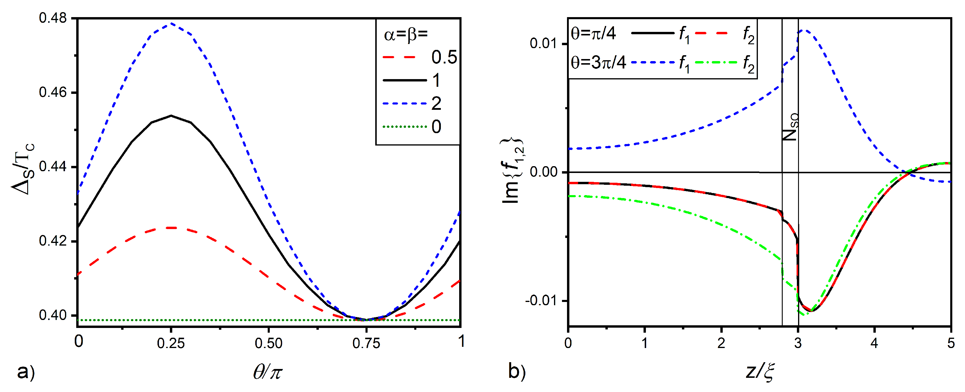
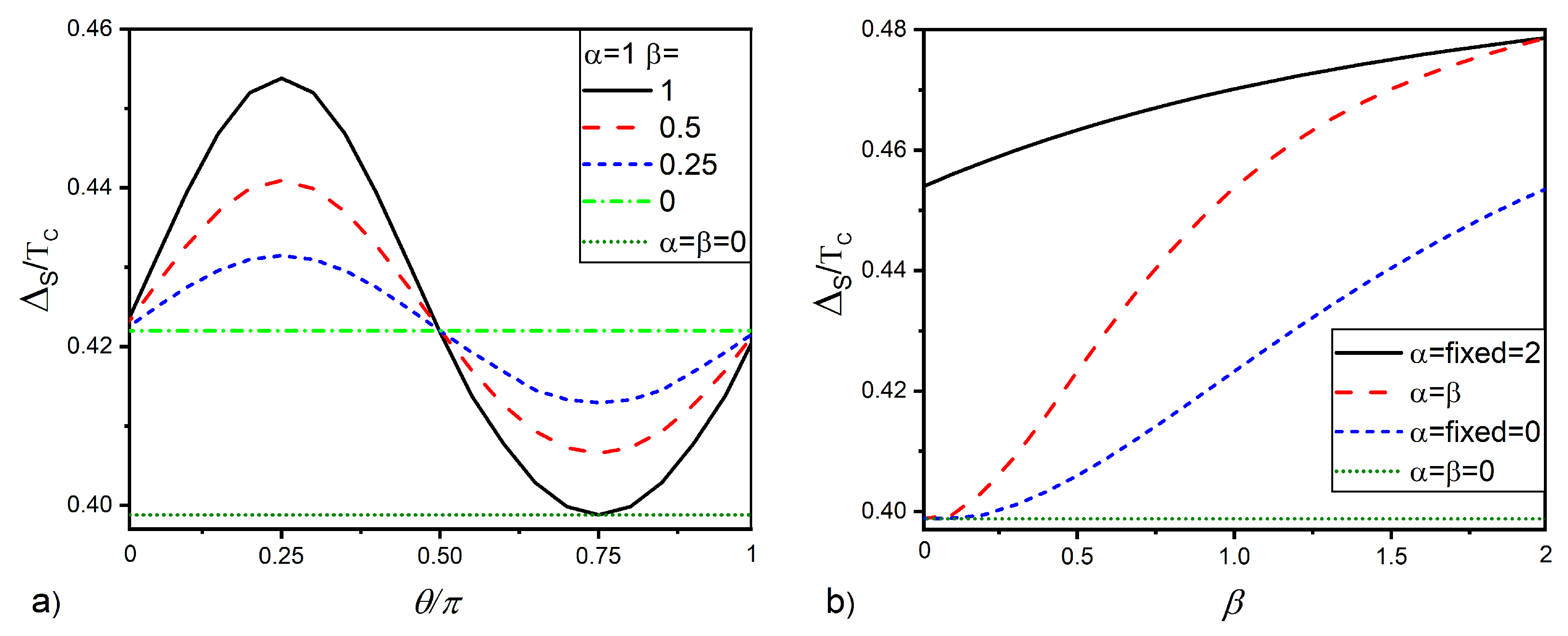
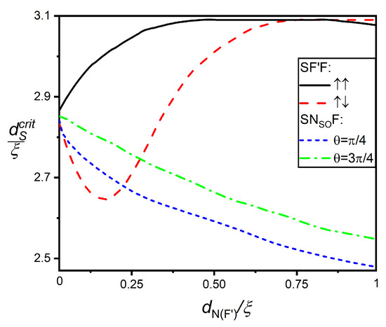
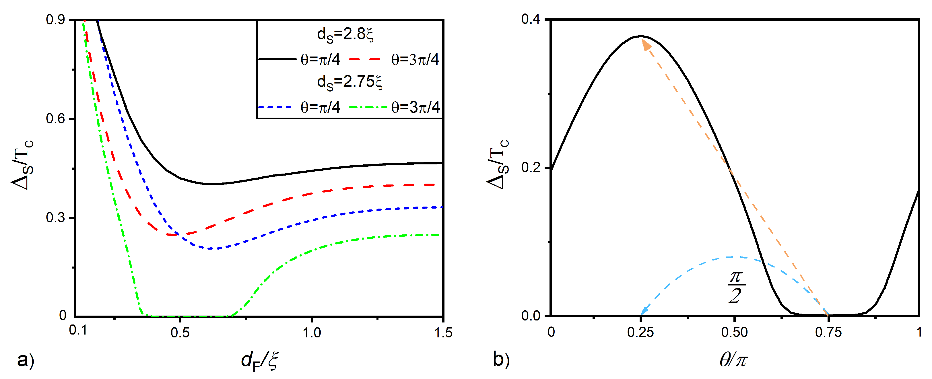
5. SNF Spin Valve
6. SF’F Spin Valve
7. Discussion
Author Contributions
Funding
Data Availability Statement
Acknowledgments
Conflicts of Interest
References
- Cuthbert, M.; DeBenedictis, E.; Fagaly, R.L.; Fagas, G.; Febvre, P.; Fourie, C.; Frank, M.; Gupta, D.; Herr, A.; Holmes, D.S.; et al. IRDS 2022: Cryogenic Electronics and Quantum Information Processing. Part of IEEE International Roadmap for Devices and Systems. 2022. Available online: https://irds.ieee.org/editions/2022/irds%E2%84%A2-2022-cryogenic-electronics-and-quantum-information-processing (accessed on 10 December 2022).
- Soloviev, I.; Klenov, N.; Bakurskiy, S.; Bol’ginov, V.; Ryazanov, V.; Kupriyanov, M.Y.; Golubov, A.A. Josephson magnetic rotary valve. Appl. Phys. Lett. 2014, 105, 242601. [Google Scholar] [CrossRef]
- Bakurskiy, S.; Klenov, N.; Soloviev, I.; Kupriyanov, M.Y.; Golubov, A.A. Superconducting phase domains for memory applications. Appl. Phys. Lett. 2016, 108, 042602. [Google Scholar] [CrossRef]
- Shafraniuk, S.E.; Nevirkovets, I.P.; Mukhanov, O.A. Modeling computer memory based on ferromagnetic/superconductor multilayers. Phys. Rev. Appl. 2019, 11, 064018. [Google Scholar] [CrossRef]
- Semenov, V.K.; Polyakov, Y.A.; Tolpygo, S.K. Very large scale integration of Josephson-junction-based superconductor random access memories. IEEE Trans. Appl. Supercond. 2019, 29, 1–9. [Google Scholar] [CrossRef]
- Ilin, E.; Song, X.; Burkova, I.; Silge, A.Z.; Guo, K.I.; Bezryadina, A. Supercurrent-controlled kinetic inductance superconducting memory element. Appl. Phys. Lett. 2021, 118, 112603. [Google Scholar] [CrossRef]
- Schneider, M.L.; Donnelly, C.A.; Russek, S.E.; Baek, B.; Pufall, M.R.; Hopkins, P.F.; Dresselhaus, P.D.; Benz, S.P.; Rippard, W.H. Ultralow power artificial synapses using nanotextured magnetic Josephson junctions. Sci. Adv. 2018, 4, e1701329. [Google Scholar] [CrossRef]
- Schneider, M.L.; Donnelly, C.A.; Russek, S.E. Tutorial: High-speed low-power neuromorphic systems based on magnetic Josephson junctions. J. Appl. Phys. 2018, 124, 161102. [Google Scholar] [CrossRef]
- Schneider, M.L.; Donnelly, C.A.; Haygood, I.W.; Wynn, A.; Russek, S.E.; Castellanos-Beltran, M.; Dresselhaus, P.D.; Hopkins, P.F.; Pufall, M.R.; Rippard, W.H. Synaptic weighting in single flux quantum neuromorphic computing. Sci. Rep. 2020, 10, 1–7. [Google Scholar] [CrossRef]
- Jue, E.; Iankevich, G.; Reisinger, T.; Hahn, H.; Provenzano, V.; Pufall, M.R.; Haygood, I.W.; Rippard, W.H.; Schneider, M.L. Artificial synapses based on Josephson junctions with Fe nanoclusters in the amorphous Ge barrier. J. Appl. Phys. 2022, 131, 073902. [Google Scholar] [CrossRef]
- Klenov, N.; Khaydukov, Y.; Bakurskiy, S.; Morari, R.; Soloviev, I.; Boian, V.; Keller, T.; Kupriyanov, M.; Sidorenko, A.; Keimer, B. Periodic Co/Nb pseudo spin valve for cryogenic memory. Beilstein J. Nanotechnol. 2019, 10, 833–839. [Google Scholar] [CrossRef]
- Schegolev, A.E.; Klenov, N.V.; Bakurskiy, S.V.; Soloviev, I.I.; Kupriyanov, M.Y.; Tereshonok, M.V.; Sidorenko, A.S. Tunable superconducting neurons for networks based on radial basis functions. Beilstein J. Nanotechnol. 2022, 13, 444–454. [Google Scholar] [CrossRef] [PubMed]
- Vissers, M.R.; Hubmayr, J.; Sandberg, M.; Chaudhuri, S.; Bockstiegel, C.; Gao, J. Frequency-tunable superconducting resonators via nonlinear kinetic inductance. Appl. Phys. Lett. 2015, 107, 062601. [Google Scholar] [CrossRef]
- Gu, X.; Kockum, A.F.; Miranowicz, A.; Liu, Y.x.; Nori, F. Microwave photonics with superconducting quantum circuits. Phys. Rep. 2017, 718, 1–102. [Google Scholar] [CrossRef]
- Vozhakov, V.A.; Bastrakova, M.V.; Klenov, N.V.; Soloviev, I.I.; Pogosov, W.V.; Babukhin, D.V.; Zhukov, A.A.; Satanin, A.M. State control in superconducting quantum processors. Physics-Uspekhi 2022, 65, 421. [Google Scholar] [CrossRef]
- Golubov, A.A.; Kupriyanov, M.Y.; Il’ichev, E. The current-phase relation in Josephson junctions. Rev. Mod. Phys. 2004, 76, 411–469. [Google Scholar] [CrossRef]
- Buzdin, A.I. Proximity effects in superconductor-ferromagnet heterostructures. Rev. Mod. Phys. 2005, 77, 935–976. [Google Scholar] [CrossRef]
- Bergeret, F.S.; Volkov, A.F.; Efetov, K.B. Odd triplet superconductivity and related phenomena in superconductor-ferromagnet structures. Rev. Mod. Phys. 2005, 77, 1321–1373. [Google Scholar] [CrossRef]
- Efetov, K.B.; Garifullin, I.A.; Volkov, A.F.; Westerholt, K. Spin-Polarized Electrons in Superconductor/Ferromagnet Hybrid Structures. In Magnetic Nanostructures: Spin Dynamics and Spin Transport; Zabel, H., Farle, M., Eds.; Springer: Berlin/Heidelberg, Germay, 2013; pp. 85–118. [Google Scholar] [CrossRef]
- Blamire, M.G.; Robinson, J.W.A. The interface between superconductivity and magnetism: Understanding and device prospects. J.-Phys.-Condens. Matter 2014, 26, 453201. [Google Scholar] [CrossRef]
- Eschrig, M. Spin-polarized supercurrents for spintronics: A review of current progress. Rep. Prog. Phys. 2015, 78, 104501. [Google Scholar] [CrossRef]
- Kushnir, V.N.; Sidorenko, A.S.; Tagirov, L.R.; Kupriyanov, M.Y. Basic superconducting spin valves. In Functional Nanostructures and Metamaterials for Superconducting Spintronics; Sidorenko, A., Ed.; NanoScience and Technology; Springer: Cham, Switzerland, 2018; pp. 1–29. [Google Scholar] [CrossRef]
- Fominov, Y.V.; Golubov, A.A.; Karminskaya, T.Y.; Kupriyanov, M.Y.; Deminov, R.G.; Tagirov, L.R. Superconducting Triplet Spin Valve. JETP Lett. 2010, 91, 308–313. [Google Scholar] [CrossRef]
- Karminskaya, T.Y.; Golubov, A.A.; Kupriyanov, M.Y. Anomalous proximity effect in spin valve superconductor/ferromagnetic metal/ferromagnetic metal structures. Phys. Rev. B 2011, 84, 064531. [Google Scholar] [CrossRef]
- Wu, C.T.; Valls, O.T.; Halterman, K. Proximity effects and triplet correlations in ferromagnet/ferromagnet/superconductor nanostructures. Phys. Rev. B 2012, 86, 014523. [Google Scholar] [CrossRef]
- Wu, C.T.; Valls, O.T.; Halterman, K. Tunneling conductance and spin transport in clean ferromagnet/ferromagnet/superconductor heterostructures. Phys. Rev. B 2014, 90, 054523. [Google Scholar] [CrossRef]
- Deminov, R.; Tagirov, L.; Gaifullin, R.; Karminskaya, T.Y.; Kupriyanov, M.Y.; Fominov, Y.V.; Golubov, A. Proximity effects in superconducting triplet spin valve F2/F1/S. J. Magn. Magn. Mater. 2015, 373, 16–17. [Google Scholar] [CrossRef]
- Deminov, R.G.; Tagirov, L.R.; Gaifullin, R.R.; Fominov, Y.V.; Karminskaya, T.Y.; Kupriyanov, M.Y.; Golubov, A.A. Role of interface transparency and exchange field in the superconducting triplet spin valve effect. In Solid State Phenomena; Trans Tech Publications: Zurich, Switzerland, 2015; Volume 233, pp. 745–749. [Google Scholar]
- Alidoust, M.; Halterman, K.; Valls, O.T. Zero-energy peak and triplet correlations in nanoscale superconductor/ferromagnet/ferromagnet spin valves. Phys. Rev. B 2015, 92, 014508. [Google Scholar] [CrossRef]
- Halterman, K.; Alidoust, M. Half-metallic superconducting triplet spin valve. Phys. Rev. B 2016, 94, 064503. [Google Scholar] [CrossRef]
- Gaifullin, R.R.; Deminov, R.G.; Tagirov, L.R.; Karminskaya, T.Y.; Kupriyanov, M.Y.; Golubov, A.A. Distribution of pairing functions in superconducting spin valve switching modes. J. Phys. Conf. Ser. 2016, 690, 012033. [Google Scholar] [CrossRef]
- Moen, E.; Valls, O.T. Transport in ferromagnet/superconductor spin valves. Phys. Rev. B 2017, 95, 054503. [Google Scholar] [CrossRef]
- Devizorova, Z.; Mironov, S. Spin-valve effect in superconductor/ferromagnet/ferromagnet and ferromagnet/superconductor/fer-romagnet structures of atomic thickness. Phys. Rev. B 2017, 95, 144514. [Google Scholar] [CrossRef]
- Gaifullin, R.R.; Deminov, R.G.; Tagirov, L.R.; Kupriyanov, M.Y.; Golubov, A.A. Distribution of Pairing Functions in Superconducting Spin Valve SF1F2. Phys. Solid State 2017, 59, 2114–2119. [Google Scholar] [CrossRef]
- Leksin, P.; Garif’yanov, N.; Garifullin, I.; Schumann, J.; Kataev, V.; Schmidt, O.; Büchner, B. Manifestation of new interference effects in a superconductor-ferromagnet spin valve. Phys. Rev. Lett. 2011, 106, 067005. [Google Scholar] [CrossRef] [PubMed]
- Leksin, P.; Garif’Yanov, N.; Garifullin, I.; Fominov, Y.V.; Schumann, J.; Krupskaya, Y.; Kataev, V.; Schmidt, O.; Büchner, B. Evidence for triplet superconductivity in a superconductor-ferromagnet spin valve. Phys. Rev. Lett. 2012, 109, 057005. [Google Scholar] [CrossRef] [PubMed]
- Leksin, P.; Garif’Yanov, N.; Garifullin, I.; Schumann, J.; Kataev, V.; Schmidt, O.; Büchner, B. Physical properties of the superconducting spin valve Fe/Cu/Fe/In heterostructure. Phys. Rev. B 2012, 85, 024502. [Google Scholar] [CrossRef]
- Zdravkov, V.I.; Kehrle, J.; Obermeier, G.; Lenk, D.; von Nidda, H.A.K.; Müller, C.; Kupriyanov, M.Y.; Sidorenko, A.S.; Horn, S.; Tidecks, R.; et al. Experimental observation of the triplet spin valve effect in a superconductor-ferromagnet heterostructure. Phys. Rev. B 2013, 87, 144507. [Google Scholar] [CrossRef]
- Zhu, L.; Liu, Y.; Bergeret, F.; Pearson, J.; Te Velthuis, S.; Bader, S.; Jiang, J. Unanticipated proximity behavior in ferromagnet-superconductor heterostructures with controlled magnetic noncollinearity. Phys. Rev. Lett. 2013, 110, 177001. [Google Scholar] [CrossRef]
- Leksin, P.; Kamashev, A.; Garif’yanov, N.; Garifullin, I.; Fominov, Y.V.; Schumann, J.; Hess, C.; Kataev, V.; Büchner, B. Peculiarities of performance of the spin valve for the superconducting current. JETP Lett. 2013, 97, 478–482. [Google Scholar] [CrossRef][Green Version]
- Jara, A.A.; Safranski, C.; Krivorotov, I.N.; Wu, C.T.; Malmi-Kakkada, A.N.; Valls, O.T.; Halterman, K. Angular dependence of superconductivity in superconductor/spin valve heterostructures. Phys. Rev. B 2014, 89, 184502. [Google Scholar] [CrossRef]
- Wang, X.; Di Bernardo, A.; Banerjee, N.; Wells, A.; Bergeret, F.S.; Blamire, M.G.; Robinson, J.W. Giant triplet proximity effect in superconducting pseudo spin valves with engineered anisotropy. Phys. Rev. B 2014, 89, 140508. [Google Scholar] [CrossRef]
- Leksin, P.; Garif’yanov, N.; Kamashev, A.; Fominov, Y.V.; Schumann, J.; Hess, C.; Kataev, V.; Büchner, B.; Garifullin, I. Superconducting spin valve effect and triplet superconductivity in Co O x/Fe1/Cu/Fe2/Cu/Pb multilayer. Phys. Rev. B 2015, 91, 214508. [Google Scholar] [CrossRef]
- Flokstra, M.; Cunningham, T.; Kim, J.; Satchell, N.; Burnell, G.; Curran, P.; Bending, S.; Kinane, C.; Cooper, J.; Langridge, S.; et al. Controlled suppression of superconductivity by the generation of polarized Cooper pairs in spin valve structures. Phys. Rev. B 2015, 91, 060501. [Google Scholar] [CrossRef]
- Flokstra, M.G.; Satchell, N.; Kim, J.; Burnell, G.; Curran, P.; Bending, S.; Cooper, J.; Kinane, C.; Langridge, S.; Isidori, A.; et al. Remotely induced magnetism in a normal metal using a superconducting spin valve. Nat. Phys. 2016, 12, 57–61. [Google Scholar] [CrossRef]
- Leksin, P.V.; Kamashev, A.A.; Schumann, J.; Kataev, V.E.; Thomas, J.; Büchner, B.; Garifullin, I.A. Boosting the superconducting spin valve effect in a metallic superconductor/ferromagnet heterostructure. Nano Res. 2016, 9, 1005–1011. [Google Scholar] [CrossRef]
- Leksin, P.; Garif’yanov, N.; Kamashev, A.; Validov, A.; Fominov, Y.V.; Schumann, J.; Kataev, V.; Thomas, J.; Büchner, B.; Garifullin, I. Isolation of proximity-induced triplet pairing channel in a superconductor/ferromagnet spin valve. Phys. Rev. B 2016, 93, 100502. [Google Scholar] [CrossRef]
- Lenk, D.; Zdravkov, V.I.; Kehrle, J.M.; Obermeier, G.; Ullrich, A.; Morari, R.; von Nidda, H.A.K.; Müller, C.; Kupriyanov, M.Y.; Sidorenko, A.S.; et al. Thickness dependence of the triplet spin valve effect in superconductor–ferromagnet–ferromagnet heterostructures. Beilstein J. Nanotechnol. 2016, 7, 957–969. [Google Scholar] [CrossRef]
- Feng, Z.; Robinson, J.; Blamire, M. Out of plane superconducting Nb/Cu/Ni/Cu/Co triplet spin valves. Appl. Phys. Lett. 2017, 111, 042602. [Google Scholar] [CrossRef]
- Vernik, I.V.; Bol’Ginov, V.V.; Bakurskiy, S.V.; Golubov, A.A.; Kupriyanov, M.Y.; Ryazanov, V.V.; Mukhanov, O.A. Magnetic josephson junctions with superconducting interlayer for cryogenic memory. IEEE Trans. Appl. Supercond. 2013, 23, 1701208. [Google Scholar] [CrossRef]
- Bakurskiy, S.V.; Klenov, N.V.; Soloviev, I.I.; Bol’ginov, V.V.; Ryazanov, V.V.; Vernik, I.V.; Mukhanov, O.A.; Kupriyanov, M.Y.; Golubov, A.A. Theoretical model of superconducting spintronic SIsFS devices. Appl. Phys. Lett. 2013, 102, 192603. [Google Scholar] [CrossRef]
- Bakurskiy, S.V.; Klenov, N.V.; Soloviev, I.I.; Kupriyanov, M.Y.; Golubov, A.A. Theory of supercurrent transport in SIsFS Josephson junctions. Phys. Rev. B 2013, 88, 144519. [Google Scholar] [CrossRef]
- Bakurskiy, S.V.; Filippov, V.I.; Ruzhickiy, V.I.; Klenov, N.V.; Soloviev, I.I.; Kupriyanov, M.Y.; Golubov, A.A. Current-phase relations in SIsFS junctions in the vicinity of 0-π transition. Phys. Rev. B 2017, 95, 094522. [Google Scholar] [CrossRef]
- Bakurskiy, S.V.; Klenov, N.V.; Soloviev, I.I.; Pugach, N.G.; Kupriyanov, M.Y.; Golubov, A.A. Protected 0-pi states in SIsFS junctions for Josephson memory and logic. Appl. Phys. Lett. 2018, 113, 082602. [Google Scholar] [CrossRef]
- Amundsen, M.; Linder, J.; Robinson, J.W.A.; Žutić, I.; Banerjee, N. Colloquium: Spin-orbit effects in superconducting hybrid structures. arXiv 2022, arXiv:2210.03549. [Google Scholar] [CrossRef]
- Bergeret, F.; Tokatly, I. Singlet-triplet conversion and the long-range proximity effect in superconductor-ferromagnet structures with generic spin dependent fields. Phys. Rev. Lett. 2013, 110, 117003. [Google Scholar] [CrossRef] [PubMed]
- Bergeret, F.; Tokatly, I. Spin-orbit coupling as a source of long-range triplet proximity effect in superconductor-ferromagnet hybrid structures. Phys. Rev. B 2014, 89, 134517. [Google Scholar] [CrossRef]
- Jacobsen, S.H.; Ouassou, J.A.; Linder, J. Critical temperature and tunneling spectroscopy of superconductor-ferromagnet hybrids with intrinsic Rashba-Dresselhaus spin–orbit coupling. Phys. Rev. B 2015, 92, 024510. [Google Scholar] [CrossRef]
- Alidoust, M.; Halterman, K. Long-range spin-triplet correlations and edge spin currents in diffusive spin–orbit coupled SNS hybrids with a single spin-active interface. J. Physics Condens. Matter 2015, 27, 235301. [Google Scholar] [CrossRef]
- Ouassou, J.A.; Di Bernardo, A.; Robinson, J.W.; Linder, J. Electric control of superconducting transition through a spin–orbit coupled interface. Sci. Rep. 2016, 6, 1–9. [Google Scholar] [CrossRef]
- Eskilt, J.R.; Amundsen, M.; Banerjee, N.; Linder, J. Long-ranged triplet supercurrent in a single in-plane ferromagnet with spin–orbit coupled contacts to superconductors. Phys. Rev. B 2019, 100, 224519. [Google Scholar] [CrossRef]
- Guarcello, C.; Bergeret, F. Cryogenic memory element based on an anomalous Josephson junction. Phys. Rev. Appl. 2020, 13, 034012. [Google Scholar] [CrossRef]
- Kopasov, A.; Kutlin, A.; Mel’nikov, A. Geometry controlled superconducting diode and anomalous Josephson effect triggered by the topological phase transition in curved proximitized nanowires. Phys. Rev. B 2021, 103, 144520. [Google Scholar] [CrossRef]
- Mazanik, A.; Bobkova, I. Supercurrent-induced long-range triplet correlations and controllable Josephson effect in superconductor/ferromagnet hybrids with extrinsic spin–orbit coupling. Phys. Rev. B 2022, 105, 144502. [Google Scholar] [CrossRef]
- Bychkov, Y.A.; Rashba, E.I. Oscillatory effects and the magnetic susceptibility of carriers in inversion layers. J. Phys. Solid State Phys. 1984, 17, 6039. [Google Scholar] [CrossRef]
- Dresselhaus, G. Spin-Orbit Coupling Effects in Zinc Blende Structures. Phys. Rev. 1955, 100, 580–586. [Google Scholar] [CrossRef]
- Ivchenko, E.L. Optical Spectroscopy of Semiconductor Nanostructures; Alpha Science Int’l Ltd.: Oxford, UK, 2005. [Google Scholar]
- Reeg, C.R.; Maslov, D.L. Proximity-induced triplet superconductivity in Rashba materials. Phys. Rev. B 2015, 92, 134512. [Google Scholar] [CrossRef]
- Faure, M.; Buzdin, A.I.; Golubov, A.A.; Kupriyanov, M.Y. Properties of superconductor/ferromagnet structures with spin-dependent scattering. Phys. Rev. B 2006, 73, 064505. [Google Scholar] [CrossRef]
- De Gennes, P. Boundary effects in superconductors. Rev. Mod. Phys. 1964, 36, 225. [Google Scholar] [CrossRef]
- Usadel, K.D. Generalized Diffusion Equation for Superconducting Alloys. Phys. Rev. Lett. 1970, 25, 507–509. [Google Scholar] [CrossRef]
- Bergeret, F.S.; Tokatly, I.V. Theory of diffusive φ0 Josephson junctions in the presence of spin–orbit coupling. Europhys. Lett. 2015, 110, 57005. [Google Scholar] [CrossRef]
- Golubov, A.A.; Kupriyanov, M.Y.; Fominov, Y.V. Critical current in SFIFS junctions. JETP Lett. 2002, 75, 190–194. [Google Scholar] [CrossRef]
- Kuprianov, M.Y.; Lukichev, V.F. Effect of boundary transparency on critical current in dirty SS’S structures. Sov. Phys. JETP 1988, 67, 1163–1168. [Google Scholar]
- Linder, J.; Amundsen, M. Quasiclassical boundary conditions for spin–orbit coupled interfaces with spin-charge conversion. Phys. Rev. B 2022, 105, 064506. [Google Scholar] [CrossRef]
- Buzdin, A.I.; Kupriyanov, M.Y. Transition temperature of a superconductor-ferromagnet superlattice. JETP Lett. 1990, 52, 487–491. [Google Scholar]
- Buzdin, A.I.; Kupriyanov, M.Y.; Vuiichich, B. The oscillation of the critical temperature of the S-F multylayers. Phys. C Supercond. Its Appl. 1991, 185, 2025–2026. [Google Scholar] [CrossRef]
- Buzdin, A.; Bujicic, B.; Kupriyanov, M.Y. Superconductor-ferromagnet structures. Sov. Phys. JETP 1992, 74, 124–128. [Google Scholar]
- Bergeret, F.S.; Volkov, A.F.; Efetov, K.B. Enhancement of the Josephson Current by an Exchange Field in Superconductor-Ferromagnet Structures. Phys. Rev. Lett. 2001, 86, 3140–3143. [Google Scholar] [CrossRef] [PubMed]
- Fominov, Y.V.; Chtchelkatchev, N.M.; Golubov, A.A. Nonmonotonic critical temperature in superconductor/ferromagnet bilayers. Phys. Rev. B 2002, 66, 014507. [Google Scholar] [CrossRef]
- Karminskaya, T.Y.; Kupriyanov, M.Y. Effective decrease in the exchange energy in S-(FN)-S Josephson structures. JETP Lett. 2007, 85, 286–291. [Google Scholar] [CrossRef]
- Bakurskiy, S.V.; Kupriyanov, M.Y.; Baranov, A.A.; Golubov, A.A.; Klenov, N.V.; Soloviev, I.I. Proximity Effect in Multilayer Structures with Alternating Ferromagnetic and Normal Layers. JETP Lett. 2015, 102, 586–593. [Google Scholar] [CrossRef]
- Tagirov, L. Proximity effect and superconducting transition temperature in superconductor/ferromagnet sandwiches. Phys. C Supercond. 1998, 307, 145–163. [Google Scholar] [CrossRef]
- Sidorenko, A.S.; Zdravkov, V.I.; Prepelitsa, A.; Helbig, C.; Luo, Y.; Gsell, S.; Schreck, M.; Klimm, S.; Horn, S.; Tagirov, L.R.; et al. Oscillations of the critical temperature in superconducting Nb/Ni bilayers. Ann. Der Phys. 2003, 12, 37–50. [Google Scholar] [CrossRef]
- Chtchelkatchev, N.M.; Burmistrov, I.S. Andreev conductance of a domain wall. Phys. Rev. B 2003, 68, 140501. [Google Scholar] [CrossRef]
- Blanter, Y.M.; Hekking, F.W.J. Supercurrent in long SFFS junctions with antiparallel domain configuration. Phys. Rev. B 2004, 69, 024525. [Google Scholar] [CrossRef]
- Crouzy, B.; Tollis, S.; Ivanov, D.A. Josephson current in a superconductor-ferromagnet-superconductor junction with in-plane ferromagnetic domains. Phys. Rev. B 2007, 76, 134502. [Google Scholar] [CrossRef]
- Houzet, M.; Buzdin, A.I. Theory of domain-wall superconductivity in superconductor/ferromagnet bilayers. Phys. Rev. B 2006, 74, 214507. [Google Scholar] [CrossRef]
- Maleki, M.A.; Zareyan, M. Enhanced superconducting proximity effect in clean ferromagnetic domain structures: A quasiclassical Green’s function approach. Phys. Rev. B 2006, 74, 144512. [Google Scholar] [CrossRef]
- Burmistrov, I.S.; Chtchelkatchev, N.M. Domain wall effects in ferromagnet-superconductor structures. Phys. Rev. B 2005, 72, 144520. [Google Scholar] [CrossRef]
- Volkov, A.F.; Efetov, K.B. Odd triplet superconductivity in a superconductor/ferromagnet structure with a narrow domain wall. Phys. Rev. B 2008, 78, 024519. [Google Scholar] [CrossRef]
- Soloviev, I.I.; Klenov, N.V.; Bakursky, S.V.; Kupriyanov, M.Y.; Golubov, A.A. Critical Current of SF–NFS Josephson Junctions. JETP Lett. 2015, 101, 240–246. [Google Scholar] [CrossRef]
- Crouzy, B.; Tollis, S.; Ivanov, D.A. Josephson current in a superconductor-ferromagnet junction with two noncollinear magnetic domains. Phys. Rev. B 2007, 75, 054503. [Google Scholar] [CrossRef]
- Sperstad, I.B.; Linder, J.; Sudbø, A. Josephson current in diffusive multilayer superconductor/ferromagnet/superconductor junctions. Phys. Rev. B 2008, 78, 104509. [Google Scholar] [CrossRef]
- Linder, J.; Halterman, K. Superconducting spintronics with magnetic domain walls. Phys. Rev. B 2014, 90, 104502. [Google Scholar] [CrossRef]
- Baker, T.E.; Richie-Halford, A.; Bill, A. Long range triplet Josephson current and 0-π transitions in tunable domain walls. New J. Phys. 2014, 16, 093048. [Google Scholar] [CrossRef]
- Bakurskiy, S.V.; Golubov, A.A.; Klenov, N.V.; Kupriyanov, M.Y.; Soloviev, I.I. Josephson effect in SIFS tunnel junctions with domain walls in weak link region. JETP Lett. 2015, 101, 863–868. [Google Scholar] [CrossRef]
- Soloviev, I.I.; Schegolev, A.E.; Klenov, N.V.; Bakurskiy, S.V.; Kupriyanov, M.Y.; Tereshonok, M.V.; Shadrin, A.V.; Stolyarov, V.S.; Golubov, A.A. Adiabatic superconducting artificial neural network: Basic cells. J. Appl. Phys. 2018, 124, 152113. [Google Scholar] [CrossRef]
- Schegolev, A.; Klenov, N.; Soloviev, I.; Tereshonok, M. Learning cell for superconducting neural networks. Supercond. Sci. Technol. 2021, 34, 015006. [Google Scholar] [CrossRef]
- Petrov, A.; Pasynkov, M.; Yusupov, R.; Nikitin, S.; Gumarov, A.; Yanilkin, I.; Kiiamov, A.; Tagirov, L. Ultrafast magnetization dynamics in thin films of L10-ordered FEPT and FEPD compounds: Promising differences. Magn. Reson. Solids. Electron. J. 2019, 21, 3. [Google Scholar]
- Pekerten, B.; Pakizer, J.D.; Hawn, B.; Matos-Abiague, A. Anisotropic topological superconductivity in Josephson junctions. Phys. Rev. B 2022, 105, 054504. [Google Scholar] [CrossRef]







Publisher’s Note: MDPI stays neutral with regard to jurisdictional claims in published maps and institutional affiliations. |
© 2022 by the authors. Licensee MDPI, Basel, Switzerland. This article is an open access article distributed under the terms and conditions of the Creative Commons Attribution (CC BY) license (https://creativecommons.org/licenses/by/4.0/).
Share and Cite
Neilo, A.; Bakurskiy, S.; Klenov, N.; Soloviev, I.; Kupriyanov, M. Superconducting Valve Exploiting Interplay between Spin-Orbit and Exchange Interactions. Nanomaterials 2022, 12, 4426. https://doi.org/10.3390/nano12244426
Neilo A, Bakurskiy S, Klenov N, Soloviev I, Kupriyanov M. Superconducting Valve Exploiting Interplay between Spin-Orbit and Exchange Interactions. Nanomaterials. 2022; 12(24):4426. https://doi.org/10.3390/nano12244426
Chicago/Turabian StyleNeilo, Alexey, Sergey Bakurskiy, Nikolay Klenov, Igor Soloviev, and Mikhail Kupriyanov. 2022. "Superconducting Valve Exploiting Interplay between Spin-Orbit and Exchange Interactions" Nanomaterials 12, no. 24: 4426. https://doi.org/10.3390/nano12244426
APA StyleNeilo, A., Bakurskiy, S., Klenov, N., Soloviev, I., & Kupriyanov, M. (2022). Superconducting Valve Exploiting Interplay between Spin-Orbit and Exchange Interactions. Nanomaterials, 12(24), 4426. https://doi.org/10.3390/nano12244426

