Time-Dependent Charge Carrier Transport with Hall Effect in Organic Semiconductors for Langevin and Non-Langevin Systems
Abstract
1. Introduction
2. Methods
2.1. Numerical Methods and Device Modelling
2.2. Simulation Settings
3. Results and Discussion
3.1. Effect of Lorentz Force on Charge Carrier Concentration
3.2. Impact of Magnetic Field on the Total Charge
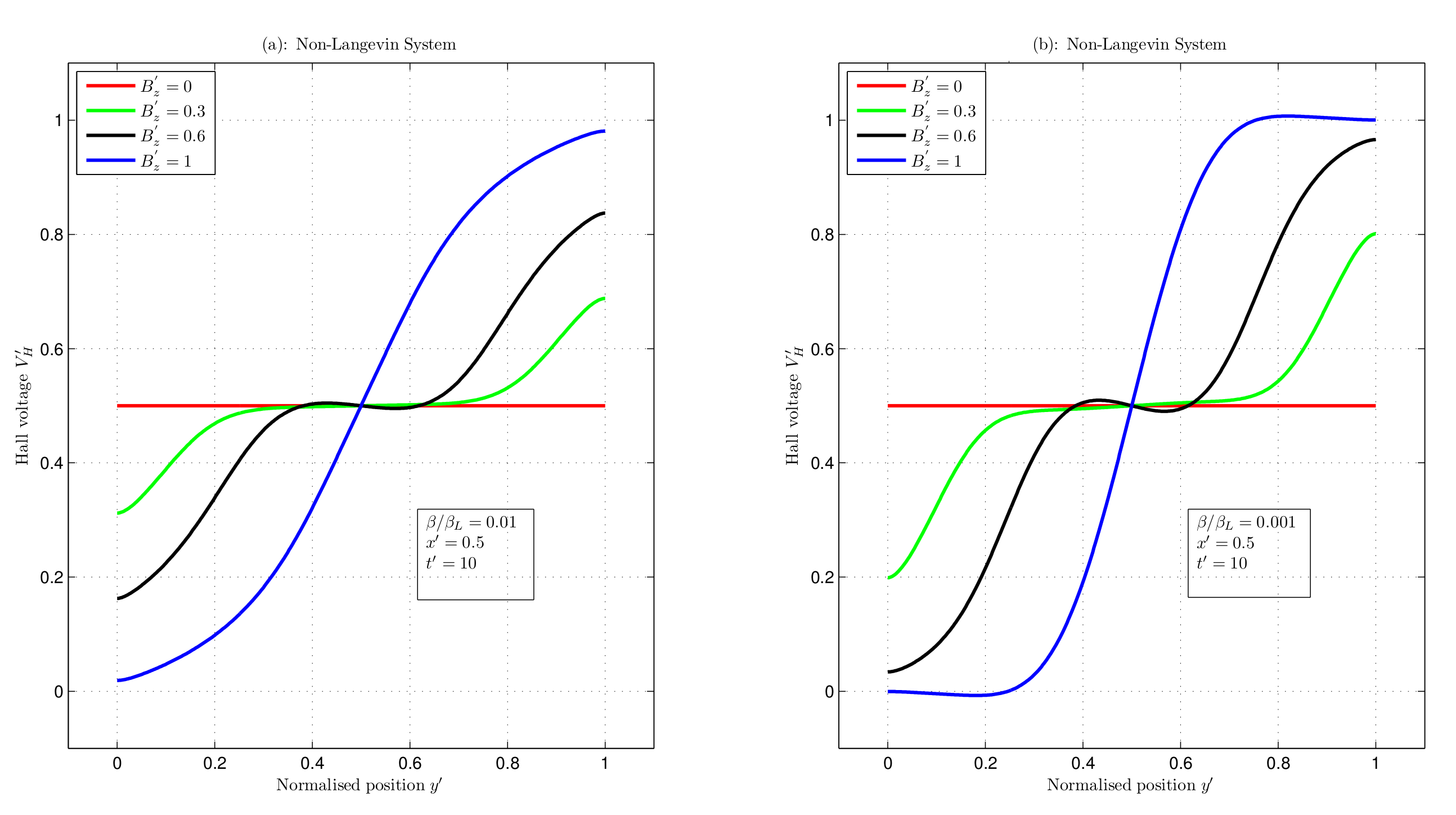
3.3. Computation of Hall Voltage Using Numeric Methods
4. Conclusions
Author Contributions
Funding
Data Availability Statement
Acknowledgments
Conflicts of Interest
References
- Murawski, C.; Leo, K.; Gather, M.C. Efficiency roll-off in organic light-emitting diodes. Adv. Mater. 2013, 25, 6801–6827. [Google Scholar] [CrossRef]
- Kathirgamanathan, P.; Bushby, L.M.; Kumaraverl, M.; Ravichandran, S.; Surendrakumar, S. Electroluminescent organic and quantum dot LEDs: The state of the art. J. Disp. Technol. 2015, 11, 480–493. [Google Scholar] [CrossRef]
- Bae, E.J.; Kang, S.W.; Choi, G.S.; Jang, E.B.; Baek, D.H.; Ju, B.K.; Park, Y.W. Enhanced Light Extraction from Organic Light-Emitting Diodes with Micro-Nano Hybrid Structure. Nanomaterials 2022, 12, 1266. [Google Scholar] [CrossRef] [PubMed]
- Choi, G.S.; Kang, S.W.; Bae, E.J.; Jang, E.B.; Baek, D.H.; Ju, B.K.; Park, Y.W. A Simple Method for Fabricating an External Light Extraction Composite Layer with RNS to Improve the Optical Properties of OLEDs. Nanomaterials 2022, 12, 1430. [Google Scholar] [CrossRef] [PubMed]
- Sirringhaus, H. 25th anniversary article: Organic field-effect transistors: The path beyond amorphous silicon. Adv. Mater. 2014, 26, 1319–1335. [Google Scholar] [CrossRef]
- Mandal, S.; Noh, Y.Y. Printed organic thin-film transistor-based integrated circuits. Semicond. Sci. Technol. 2015, 30, 064003. [Google Scholar] [CrossRef]
- Chen, X.; Zhang, Y.; Guan, X.; Zhang, H. Facile Synthesis of Solution-Processed Silica and Polyvinyl Phenol Hybrid Dielectric for Flexible Organic Transistors. Nanomaterials 2020, 10, 806. [Google Scholar] [CrossRef]
- Kaufmann, I.R.; Zerey, O.; Meyers, T.; Reker, J.; Vidor, F.; Hilleringmann, U. A Study about Schottky Barrier Height and Ideality Factor in Thin Film Transistors with Metal/Zinc Oxide Nanoparticles Structures Aiming Flexible Electronics Application. Nanomaterials 2021, 11, 1188. [Google Scholar] [CrossRef]
- Youn, H.; Park, H.J.; Guo, L.J. Organic photovoltaic cells: From performance improvement to manufacturing processes. Small 2015, 11, 2228–2246. [Google Scholar] [CrossRef]
- Vuk, D.; Radovanović-Perić, F.; Mandić, V.; Lovrinčević, V.; Rath, T.; Panžić, I.; Le-Cunff, J. Synthesis and Nanoarchitectonics of Novel Squaraine Derivatives for Organic Photovoltaic Devices. Nanomaterials 2022, 12, 1206. [Google Scholar] [CrossRef]
- Jabeen, N.; Zaidi, A.; Hussain, A.; Hassan, N.U.; Ali, J.; Ahmed, F.; Khan, M.U.; Iqbal, N.; Elnasr, T.A.S.; Helal, M.H. Single- and Multilayered Perovskite Thin Films for Photovoltaic Applications. Nanomaterials 2022, 12, 3208. [Google Scholar] [CrossRef] [PubMed]
- Lee, T.; Chen, Y. Organic resistive nonvolatile memory materials. MRS Bull. 2012, 37, 144–149. [Google Scholar] [CrossRef]
- Wang, L.; Zhang, Y.; Zhang, P.; Wen, D. Physically Transient, Flexible, and Resistive Random Access Memory Based on Silver Ions and Egg Albumen Composites. Nanomaterials 2022, 12, 3061. [Google Scholar] [CrossRef] [PubMed]
- Bässler, H.; Köhler, A. Charge transport in organic semiconductors. In Unimolecular and Supramolecular Electronics I; Springer: Berlin/Heidelberg, Germany, 2011; pp. 1–65. [Google Scholar]
- Pivrikas, A.; Neugebauer, H.; Sariciftci, N.S. Charge carrier lifetime and recombination in bulk heterojunction solar cells. IEEE J. Sel. Top. Quantum Electron. 2010, 16, 1746–1758. [Google Scholar] [CrossRef]
- Funahashi, M. Time-of-Flight Method for Determining the Drift Mobility in Organic Semiconductors. In Organic Semiconductors for Optoelectronics; John Wiley & Sons, Inc.: Hoboken, NJ, USA, 2021; pp. 161–178. [Google Scholar]
- Pivrikas, A.; Ullah, M.; Simbrunner, C.; Sitter, H.; Neugebauer, H.; Sariciftci, N.S. Comparative study of bulk and interface transport in disordered fullerene films. Phys. Status Solidi 2011, 248, 2656–2659. [Google Scholar] [CrossRef]
- Zubair, M.; Ang, Y.S.; Ang, L.K. Thickness dependence of space-charge-limited current in spatially disordered organic semiconductors. IEEE Trans. Electron Devices 2018, 65, 3421–3429. [Google Scholar] [CrossRef]
- Tanase, C.; Meijer, E.; Blom, P.; De Leeuw, D. Unification of the hole transport in polymeric field-effect transistors and light-emitting diodes. Phys. Rev. Lett. 2003, 91, 216601. [Google Scholar] [CrossRef]
- Yi, H.; Gartstein, Y.N.; Podzorov, V. Charge carrier coherence and Hall effect in organic semiconductors. Sci. Rep. 2016, 6, 23650. [Google Scholar] [CrossRef]
- Giannini, S.; Blumberger, J. Charge Transport in Organic Semiconductors: The Perspective from Nonadiabatic Molecular Dynamics. Accounts Chem. Res. 2022, 55, 819–830. [Google Scholar] [CrossRef]
- Neukom, M.; Reinke, N.; Ruhstaller, B. Charge extraction with linearly increasing voltage: A numerical model for parameter extraction. Sol. Energy 2011, 85, 1250–1256. [Google Scholar] [CrossRef]
- Koster, L.J.; Smits, E.; Mihailetchi, V.; Blom, P.W. Device model for the operation of polymer/fullerene bulk heterojunction solar cells. Phys. Rev. B 2005, 72, 085205. [Google Scholar] [CrossRef]
- Hwang, I.; McNeill, C.R.; Greenham, N.C. Drift-diffusion modeling of photocurrent transients in bulk heterojunction solar cells. J. Appl. Phys. 2009, 106, 094506. [Google Scholar] [CrossRef]
- Neukom, M.T.; Züfle, S.; Ruhstaller, B. Reliable extraction of organic solar cell parameters by combining steady-state and transient techniques. Org. Electron. 2012, 13, 2910–2916. [Google Scholar] [CrossRef]
- MacKenzie, R.C.; Shuttle, C.G.; Chabinyc, M.L.; Nelson, J. Extracting microscopic device parameters from transient photocurrent measurements of P3HT: PCBM solar cells. Adv. Energy Mater. 2012, 2, 662–669. [Google Scholar] [CrossRef]
- Hanfland, R.; Fischer, M.A.; Brütting, W.; Würfel, U.; MacKenzie, R.C. The physical meaning of charge extraction by linearly increasing voltage transients from organic solar cells. Appl. Phys. Lett. 2013, 103, 063904. [Google Scholar] [CrossRef]
- Hwang, I.; Greenham, N.C. Modeling photocurrent transients in organic solar cells. Nanotechnology 2008, 19, 424012. [Google Scholar] [CrossRef]
- Rogel-Salazar, J.; Bradley, D.D.; Cash, J.; Demello, J. An efficient method-of-lines simulation procedure for organic semiconductor devices. Phys. Chem. Chem. Phys. 2009, 11, 1636–1646. [Google Scholar] [CrossRef]
- Hall, E.H. On a New Action of the Magnet on Electric Currents. Am. J. Math. 1879, 2, 287–292. [Google Scholar] [CrossRef]
- Ellmer, K. Hall effect and conductivity measurements in semiconductor crystals and thin films. Charact. Mater. 2012, 1–16. [Google Scholar]
- Juška, G.; Viliunas, M.; Klíma, O.; Šípek, E.; Kočka, J. New features in space-charge-limited-photocurrent transients. Philos. Mag. B 1994, 69, 277–289. [Google Scholar] [CrossRef]
- Juška, G.; Viliunas, M.; Arlauskas, K.; Kočka, J. Space-charge-limited photocurrent transients: The influence of bimolecular recombination. Phys. Rev. B 1995, 51, 16668. [Google Scholar] [CrossRef] [PubMed]
- Pivrikas, A.; Juška, G.; Mozer, A.J.; Scharber, M.; Arlauskas, K.; Sariciftci, N.; Stubb, H.; Österbacka, R. Bimolecular recombination coefficient as a sensitive testing parameter for low-mobility solar-cell materials. Phys. Rev. Lett. 2005, 94, 176806. [Google Scholar] [CrossRef] [PubMed]
- Pivrikas, A.; Sariciftci, N.S.; Juška, G.; Österbacka, R. A review of charge transport and recombination in polymer/fullerene organic solar cells. Prog. Photovoltaics Res. Appl. 2007, 15, 677–696. [Google Scholar] [CrossRef]







| Magnetic Field | Langevin | Non-Langevin | Non-Langevin | Steady State |
|---|---|---|---|---|
| 0 | 0 | 0 | 0 | 0 |
| 0.3 | 0.19 | 0.37 | 0.61 | 0.3 |
| 0.6 | 0.33 | 0.67 | 0.93 | 0.6 |
| 1 | 0.51 | 0.97 | 1.0002 | 1 |
Publisher’s Note: MDPI stays neutral with regard to jurisdictional claims in published maps and institutional affiliations. |
© 2022 by the authors. Licensee MDPI, Basel, Switzerland. This article is an open access article distributed under the terms and conditions of the Creative Commons Attribution (CC BY) license (https://creativecommons.org/licenses/by/4.0/).
Share and Cite
Morab, S.; Sundaram, M.M.; Pivrikas, A. Time-Dependent Charge Carrier Transport with Hall Effect in Organic Semiconductors for Langevin and Non-Langevin Systems. Nanomaterials 2022, 12, 4414. https://doi.org/10.3390/nano12244414
Morab S, Sundaram MM, Pivrikas A. Time-Dependent Charge Carrier Transport with Hall Effect in Organic Semiconductors for Langevin and Non-Langevin Systems. Nanomaterials. 2022; 12(24):4414. https://doi.org/10.3390/nano12244414
Chicago/Turabian StyleMorab, Seema, Manickam Minakshi Sundaram, and Almantas Pivrikas. 2022. "Time-Dependent Charge Carrier Transport with Hall Effect in Organic Semiconductors for Langevin and Non-Langevin Systems" Nanomaterials 12, no. 24: 4414. https://doi.org/10.3390/nano12244414
APA StyleMorab, S., Sundaram, M. M., & Pivrikas, A. (2022). Time-Dependent Charge Carrier Transport with Hall Effect in Organic Semiconductors for Langevin and Non-Langevin Systems. Nanomaterials, 12(24), 4414. https://doi.org/10.3390/nano12244414

