Ultrafast Dynamics of Demagnetization in FeMn/MnGa Bilayer Nanofilm Structures via Phonon Transport
Abstract
1. Introduction
2. Materials and Experimental Method
3. Results and Discussion
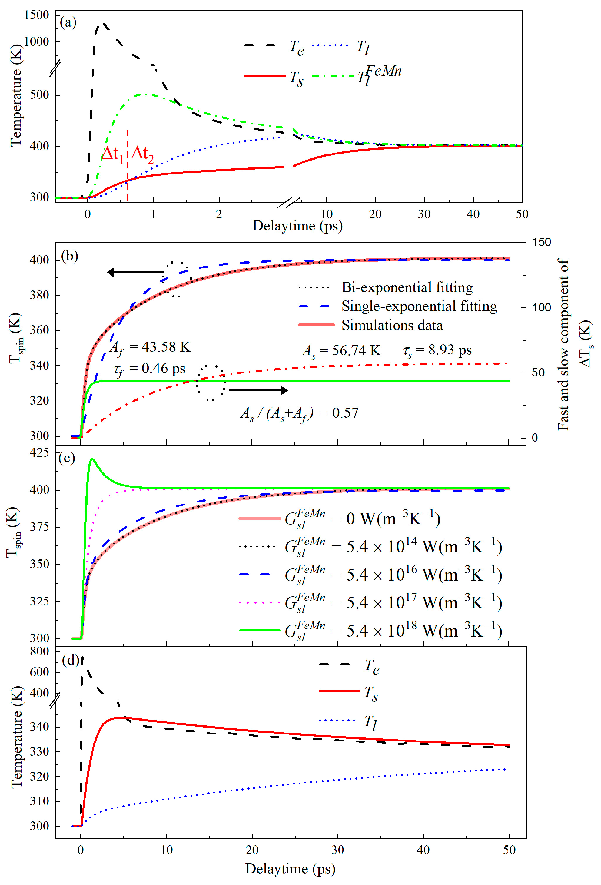
3.1. Modeling of the Ultrafast Dynamics of Magnetization
3.2. Simulation Calculations Based on the Four-Temperature Model
4. Conclusions
Author Contributions
Funding
Data Availability Statement
Conflicts of Interest
References
- Beaurepaire, E.; Merle, J.; Daunois, A.; Bigot, J.Y. Ultrafast spin dynamics in ferromagnetic nickel. Phys. Rev. Lett. 1996, 76, 4250–4254. [Google Scholar] [CrossRef] [PubMed]
- Wang, Z.X.; Li, J.M.; Deng, J.Q.; Chen, Z.F.; Lai, T.S. Synchronized time- and high-field-resolved all-optical pump-probe magneto-optical setup based on a strong alternating magnetic field and its application in magnetization dynamics of high coercivity magnetic medium. Rev. Sci. Instrum. 2011, 82, 034703–034709. [Google Scholar] [CrossRef] [PubMed]
- Guidoni, L.; Beaurepaire, E.; Bigot, J.Y. Magneto-optics in the ultrafast regime: Thermalization of spin populations in ferromagnetic films. Phys. Rev. Lett. 2002, 89, 017401–017405. [Google Scholar] [CrossRef] [PubMed]
- Zhang, Q.; Nurmikko, A.V.; Miao, G.X.; Xiao, G.; Gupta, A. Ultrafast spin-dynamics in half-metallic CrO2 thin films. Phys. Rev. B 2006, 74, 064414–064420. [Google Scholar] [CrossRef]
- Radu, I.; Vahaplar, K.; Stamm, C.; Kachel, T.; Pontius, N.; Durr, H.A.; Ostler, T.A.; Barker, J.; Evans, R.F.; Chantrell, R.W.; et al. Transient ferromagnetic-like state mediating ultrafast reversal of antiferromagnetically coupled spins. Nature 2011, 472, 205–210. [Google Scholar] [CrossRef]
- Liu, S.; Song, L.; Kong, C.T.; Zhao, X.P.; Wang, H.L.; Zhao, J.H.; Zhang, X.H. The enhanced ultrafast demagnetization at low temperature for MBE-grown Co2FeAl film on GaAs. Phys. B Condens. Matter 2022, 646, 414308. [Google Scholar] [CrossRef]
- Liu, X.D.; Xu, Z.; Gao, R.X.; Hu, H.N.; Chen, Z.F.; Wang, Z.X.; Du, J.; Zhou, S.M.; Lai, T.S. Dynamics of magnetization, reversal, and ultrafast demagnetization of TbFeCo amorphous films. Appl. Phys. Lett. 2008, 92, 232501–232504. [Google Scholar] [CrossRef]
- Chen, Z.F.; Li, S.F.; Zhou, S.M.; Lai, T.S. Ultrafast dynamics of 4f electron spins in TbFeCo film driven by inter-atomic 3d-5d-4f exchange coupling. New J. Phys. 2019, 21, 123007–123016. [Google Scholar] [CrossRef]
- Kim, J.W.; Lee, K.D.; Jeong, J.W.; Shin, S.C. Ultrafast spin demagnetization by nonthermal electrons of TbFe alloy film. Appl. Phys. Lett. 2009, 94, 192506–192509. [Google Scholar] [CrossRef]
- Mekonnen, A.; Khorsand, A.R.; Cormier, M.; Kimel, A.V.; Kirilyuk, A.; Hrabec, A.; Ranno, L.; Tsukamoto, A.; Itoh, A.; Rasing, T. Role of the inter-sublattice exchange coupling in short-laser-pulse-induced demagnetization dynamics of GdCo and GdCoFe alloys. Phys. Rev. B 2013, 87, 180406–180411. [Google Scholar] [CrossRef]
- Atxitia, U.; Chubykalo-Fesenko, O.; Walowski, J.; Mann, A.; Munzenberg, M. Evidence for thermal mechanisms in laser-induced femtosecond spin dynamics. Phys. Rev. B 2010, 81, 174401–174409. [Google Scholar] [CrossRef]
- Krauß, M.; Roth, T.; Alebrand, S.; Steil, D.; Cinchetti, M.; Aeschlimann, M.; Schneider, H.C. Ultrafast demagnetization of ferromagnetic transition metals: The role of the Coulomb interaction. Phys. Rev. B 2009, 80, 180407–180411. [Google Scholar] [CrossRef]
- Koopmans, B.; Malinowski, G.; Dalla Longa, F.; Steiauf, D.; Fahnle, M.; Roth, T.; Cinchetti, M.; Aeschlimann, M. Explaining the paradoxical diversity of ultrafast laser-induced demagnetization. Nat. Mater. 2010, 9, 259–266. [Google Scholar] [CrossRef] [PubMed]
- Battiato, M.; Carva, K.; Oppeneer, P.M. Superdiffusive spin transport as a mechanism of ultrafast demagnetization. Phys. Rev. Lett. 2010, 105, 027203–027207. [Google Scholar] [CrossRef]
- Shokeen, V.; Sanchez Piaia, M.; Bigot, J.Y.; Muller, T.; Elliott, P.; Dewhurst, J.K.; Sharma, S.; Gross, E.K.U. Spin Flips versus Spin Transport in Nonthermal Electrons Excited by Ultrashort Optical Pulses in Transition Metals. Phys. Rev. Lett. 2017, 119, 107203–107208. [Google Scholar] [CrossRef] [PubMed]
- Melnikov, A.; Razdolski, I.; Wehling, T.O.; Papaioannou, E.T.; Roddatis, V.; Fumagalli, P.; Aktsipetrov, O.; Lichtenstein, A.I.; Bovensiepen, U. Ultrafast transport of laser-excited spin-polarized carriers in Au/Fe/MgO(001). Phys. Rev. Lett. 2011, 107, 076601–076606. [Google Scholar] [CrossRef]
- Jiang, T.R.; Zhao, X.P.; Chen, Z.F.; You, Y.Y.; Lai, T.S.; Zhao, J.H. Ultrafast enhancement and optical control of magnetization in ferromagnet/semiconductor layered structures via superdiffusive spin transports. Mater. Today Phys. 2022, 26, 100723. [Google Scholar] [CrossRef]
- Melnikov, A.; Brandt, L.; Liebing, N.; Ribow, M.; Mertig, I.; Woltersdorf, G. Ultrafast spin transport and control of spin current pulse shape in metallic multilayers. Phys. Rev. B 2022, 106, 104417. [Google Scholar] [CrossRef]
- Turgut, E.; La-o-Vorakiat, C.; Shaw, J.M.; Grychtol, P.; Nembach, H.T.; Rudolf, D.; Adam, R.; Aeschlimann, M.; Schneider, C.M.; Silva, T.J.; et al. Controlling the competition between optically induced ultrafast spin-flip scattering and spin transport in magnetic multilayers. Phys. Rev. Lett. 2013, 110, 197201–197207. [Google Scholar] [CrossRef]
- Rudolf, D.; La, O.V.C.; Battiato, M.; Adam, R.; Shaw, J.M.; Turgut, E.; Maldonado, P.; Mathias, S.; Grychtol, P.; Nembach, H.T.; et al. Ultrafast magnetization enhancement in metallic multilayers driven by superdiffusive spin current. Nat. Commun. 2012, 3, 1037–1043. [Google Scholar] [CrossRef]
- Eschenlohr, A.; Battiato, M.; Maldonado, P.; Pontius, N.; Kachel, T.; Holldack, K.; Mitzner, R.; Fohlisch, A.; Oppeneer, P.M.; Stamm, C. Ultrafast spin transport as key to femtosecond demagnetization. Nat. Mater. 2013, 12, 332–337. [Google Scholar] [CrossRef]
- Bergeard, N.; Hehn, M.; Mangin, S.; Lengaigne, G.; Montaigne, F.; Lalieu, M.L.; Koopmans, B.; Malinowski, G. Hot-Electron-Induced Ultrafast Demagnetization in Co/Pt Multilayers. Phys. Rev. Lett. 2016, 117, 147203–147208. [Google Scholar] [CrossRef] [PubMed]
- Baltz, V.; Manchon, A.; Tsoi, M.; Moriyama, T.; Ono, T.; Tserkovnyak, Y. Antiferromagnetic spintronics. Rev. Mod. Phys. 2018, 90, 015005–015062. [Google Scholar] [CrossRef]
- Zhang, W.; Jungfleisch, M.B.; Jiang, W.; Pearson, J.E.; Hoffmann, A.; Freimuth, F.; Mokrousov, Y. Spin Hall effects in metallic antiferromagnets. Phys. Rev. Lett. 2014, 113, 196602–196608. [Google Scholar] [CrossRef]
- Saglam, H.; Zhang, W.; Jungfleisch, M.B.; Sklenar, J.; Pearson, J.E.; Ketterson, J.B.; Hoffmann, A. Spin transport through the metallic antiferromagnet FeMn. Phys. Rev. B 2016, 94, 140412–140417. [Google Scholar] [CrossRef]
- Zhao, X.P.; Lu, J.; Mao, S.W.; Yu, Z.F.; Wei, D.H.; Zhao, J.H. Spontaneous perpendicular exchange bias effect in L10-MnGa/FeMn bilayers grown by molecular-beam epitaxy. Appl. Phys. Lett. 2018, 112, 042403–042408. [Google Scholar] [CrossRef]
- Zhu, L.J.; Brandt, L.; Zhao, J.H.; Woltersdorf, G. Composition-tuned magneto-optical Kerr effect inL10-MnxGa films with giant perpendicular anisotropy. J. Phys. D Appl. Phys. 2016, 49, 245001–245006. [Google Scholar] [CrossRef][Green Version]
- Muller, G.M.; Walowski, J.; Djordjevic, M.; Miao, G.X.; Gupta, A.; Ramos, A.V.; Gehrke, K.; Moshnyaga, V.; Samwer, K.; Schmalhorst, J.; et al. Spin polarization in half-metals probed by femtosecond spin excitation. Nat. Mater. 2009, 8, 56–62. [Google Scholar] [CrossRef] [PubMed]
- Bonfiglio, G.; Rode, K.; Atcheson, G.Y.P.; Stamenov, P.; Coey, J.M.D.; Kimel, A.V.; Rasing, T.; Kirilyuk, A. Sub-picosecond exchange–relaxation in the compensated ferrimagnet Mn2RuxGa. arXiv 2021, arXiv:2003.01420. [Google Scholar] [CrossRef]
- Beyazit, Y.; Beckord, J.; Zhou, P.; Meyburg, J.P.; Kuhne, F.; Diesing, D.; Ligges, M.; Bovensiepen, U. Local and Nonlocal Electron Dynamics of Au/Fe/MgO(001) Heterostructures Analyzed by Time-Resolved Two-Photon Photoemission Spectroscopy. Phys. Rev. Lett. 2020, 125, 076803–076809. [Google Scholar] [CrossRef] [PubMed]
- Choi, G.M.; Wilson, R.B.; Cahill, D.G. Indirect heating of Pt by short-pulse laser irradiation of Au in a nanoscale Pt/Au bilayer. Phys. Rev. B 2014, 89, 064307–064314. [Google Scholar] [CrossRef]
- Shi, S.; Liu, C.; Wan, J.F.; Rong, Y.H.; Zhang, J.H. Thermodynamics of fcc–fct martensitic transformation in Mn–X(X = Cu,Fe) alloys. Mater. Des. 2016, 92, 960–970. [Google Scholar] [CrossRef]
- Winterlik, J.; Balke, B.; Fecher, G.H.; Felser, C.; Alves, M.C.M.; Bernardi, F.; Morais, J. Structural, electronic, and magnetic properties of tetragonalMn3−xGa: Experiments and first-principles calculations. Phys. Rev. B 2008, 77, 054406–054418. [Google Scholar] [CrossRef]
- Seixas, T.M.; da Silva, M.A.S.; de Lima, O.F.; Lopez, J.; Braun, H.F.; Eska, G. Specific heat of Gd4Co3. J. Phys. D: Appl. Phys. 2010, 22, 136002–136009. [Google Scholar] [CrossRef]
- Mizukami, S.; Wu, F.; Sakuma, A.; Walowski, J.; Watanabe, D.; Kubota, T.; Zhang, X.; Naganuma, H.; Oogane, M.; Ando, Y.; et al. Long-lived ultrafast spin precession in manganese alloys films with a large perpendicular magnetic anisotropy. Phys. Rev. Lett. 2011, 106, 117201–117205. [Google Scholar] [CrossRef]
- Malonda-Boungou, B.R.; Binggeli, N.; M’Passi-Mabiala, B. Noncollinear magnetic structures of FeMn ultrathin films on Cu(001). Superlattices Microstruct. 2016, 100, 767–779. [Google Scholar] [CrossRef]
- Ritzmann, U.; Oppeneer, P.M.; Maldonado, P. Theory of out-of-equilibrium electron and phonon dynamics in metals after femtosecond laser excitation. Phys. Rev. B 2020, 102, 214305–214319. [Google Scholar] [CrossRef]
- Medvedev, N.; Milov, I. Electron-phonon coupling in metals at high electronic temperatures. Phys. Rev. B 2020, 102, 214305–214327. [Google Scholar] [CrossRef]
- Wu, B.M.; Yang, D.S.; Sheng, S.; Du, Y.L.; Xu, W.M. The transport properties and internal friction related to the antiferromagnetic transition in Cr75(FexMn1−x)25 alloys. J. Magn. Magn. Mater. 1999, 202, 426–430. [Google Scholar] [CrossRef]





Publisher’s Note: MDPI stays neutral with regard to jurisdictional claims in published maps and institutional affiliations. |
© 2022 by the authors. Licensee MDPI, Basel, Switzerland. This article is an open access article distributed under the terms and conditions of the Creative Commons Attribution (CC BY) license (https://creativecommons.org/licenses/by/4.0/).
Share and Cite
Jiang, T.; Zhao, X.; Chen, Z.; You, Y.; Lai, T.; Zhao, J. Ultrafast Dynamics of Demagnetization in FeMn/MnGa Bilayer Nanofilm Structures via Phonon Transport. Nanomaterials 2022, 12, 4088. https://doi.org/10.3390/nano12224088
Jiang T, Zhao X, Chen Z, You Y, Lai T, Zhao J. Ultrafast Dynamics of Demagnetization in FeMn/MnGa Bilayer Nanofilm Structures via Phonon Transport. Nanomaterials. 2022; 12(22):4088. https://doi.org/10.3390/nano12224088
Chicago/Turabian StyleJiang, Tianran, Xupeng Zhao, Zhifeng Chen, Yongyong You, Tianshu Lai, and Jianhua Zhao. 2022. "Ultrafast Dynamics of Demagnetization in FeMn/MnGa Bilayer Nanofilm Structures via Phonon Transport" Nanomaterials 12, no. 22: 4088. https://doi.org/10.3390/nano12224088
APA StyleJiang, T., Zhao, X., Chen, Z., You, Y., Lai, T., & Zhao, J. (2022). Ultrafast Dynamics of Demagnetization in FeMn/MnGa Bilayer Nanofilm Structures via Phonon Transport. Nanomaterials, 12(22), 4088. https://doi.org/10.3390/nano12224088

