Accurate and Comprehensive Spectrum Characterization for Cavity-Enhanced Electro-Optic Comb Generators
Abstract
1. Introduction
2. The Existing Methods for the Spectrum Characterization of CEEOCGS
3. The Proposed Method for CEEOCG Spectrum Characterization
4. Comprehensive Spectrum Characterization of CEEOCG with Different Parameters
4.1. The Influence of Cavity Mirror Power Reflection Efficiency R and Phase Modulation Index β
4.2. The Independent Influence of the Mismatch Phase Delay ϕα, Mismatch Phase Delay ϕΔf and Dispersion Phase Delay ϕD
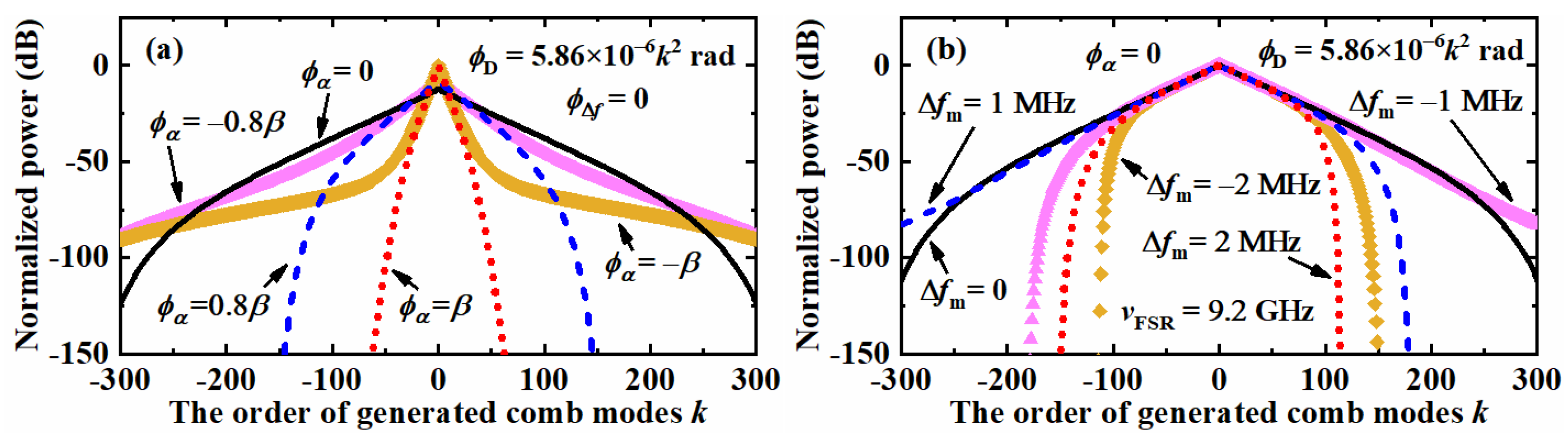
4.3. The Influence of the Mismatch Phase Delay ϕα and ϕΔf with a Constant Dispersion Phase Delay ϕD
5. Conclusions
Author Contributions
Funding
Data Availability Statement
Acknowledgments
Conflicts of Interest
Appendix A
References
- Udem, T.; Holzwarth, R.; Hänsch, T.W. Optical frequency metrology. Nature 2002, 416, 233–237. [Google Scholar] [CrossRef] [PubMed]
- Fortier, T.; Baumann, E. 20 years of developments in optical frequency comb technology and applications. Commun. Phys. 2019, 2, 153. [Google Scholar] [CrossRef]
- Keilmann, F.; Gohle, C.; Holzwarth, R. Time-domain mid-infrared frequency-comb spectrometer. Opt. Lett. 2004, 29, 1542–1544. [Google Scholar] [CrossRef]
- Coddington, I.; Newbury, N.; Swann, W. Dual-comb spectroscopy. Optica 2016, 3, 414–426. [Google Scholar] [CrossRef]
- Soriano-Amat, M.; Soto, M.A.; Duran, V.; Martins, H.F.; Martin-Lopez, S.; Gonzalez-Herraez, M.; Fernández-Ruiz, M.R. Common-Path Dual-Comb Spectroscopy Using a Single Electro-Optic Modulator. J. Light. Technol. 2020, 38, 5107–5115. [Google Scholar] [CrossRef]
- Delfyett, P.J.; Gee, S.; Choi, M.-T.; Izadpanah, H.; Lee, W.; Ozharar, S.; Quinlan, F.; Yilmaz, T. Optical frequency combs from semiconductor lasers and applications in ultrawideband signal processing and communications. J. Light. Technol. 2006, 24, 2701–2719. [Google Scholar] [CrossRef]
- Healy, T.; Gunning, F.C.G.; Ellis, A.D.; Bull, J.D. Multi-wavelength source using low drive-voltage amplitude modulators for optical communications. Opt. Express 2007, 15, 2981–2986. [Google Scholar] [CrossRef]
- Song, H.J.; Shimizu, N.; Furuta, T.; Suizu, K.; Ito, H.; Nagatsuma, T. Broadband-frequency-tunable sub-terahertz wave generation using an optical comb, AWGs, optical switches, and a uni-traveling carrier photodiode for spectroscopic applications. J. Light. Technol. 2008, 26, 2521–2530. [Google Scholar] [CrossRef]
- Metcalf, A.J.; Torres-Company, V.; Supradeepa, V.R.; Leaird, D.E.; Weiner, A.M. Fully programmable two-dimensional pulse shaper for broadband line-by-line amplitude and phase control. Opt. Express 2013, 21, 28029–28039. [Google Scholar] [CrossRef]
- Torres-Company, V.; Weiner, A.M. Optical Frequency Comb Technology or Ultra-Broadband Radio-Frequency photonics. Laser Photonics Rev. 2013, 8, 368–393. [Google Scholar] [CrossRef]
- Minoshima, K.; Matsumoto, H. High-accuracy measurement of 240-m distance in an optical tunnel by use of a compact femtosecond laser. Appl. Opt. 2000, 39, 5512–5517. [Google Scholar] [CrossRef] [PubMed]
- Coddington, I.; Swann, W.C.; Nenadovic, L.; Newbury, N.R. Rapid and precise absolute distance measurements at long range. Nat. Photonics 2009, 3, 351–356. [Google Scholar] [CrossRef]
- Yang, R.; Pollinger, F.; Meiners-Hagen, K.; Tan, J.; Bosse, H. Heterodyne multi-wavelength absolute interferometry based on a cavity-enhanced electro-optic frequency comb pair. Opt. Lett. 2014, 39, 5834–5837. [Google Scholar] [CrossRef] [PubMed]
- Haus, H.A. Mode-locking of lasers. IEEE J. Sel. Top. Quantum Electron. 2000, 6, 1173–1185. [Google Scholar] [CrossRef]
- Jiang, T.; Yin, K.; Wang, C.; You, J.; Ouyang, H.; Miao, R.; Zhang, C.; Wei, K.; Li, H.; Chen, H.; et al. Ultrafast fiber lasers mode-locked by two-dimensional materials: Review and prospect. Photonics Res. 2020, 8, 78–90. [Google Scholar] [CrossRef]
- Yang, R.; Sun, H.; Lv, H.; Xu, J.; Wu, J.; Hu, P.; Fu, H.; Yang, H.; Tan, J. A Multidimensional Multiplexing Mode-Locked Laser Based on a Dual-Ring Integrative Structure for Tri-Comb Generation. Appl. Sci. 2020, 10, 8260. [Google Scholar] [CrossRef]
- Del’Haye, P.; Schliesser, A.; Arcizet, O.; Wilken, T.; Holzwarth, R.; Kippenberg, T.J. Optical frequency comb generation from a monolithic microresonator. Nature 2007, 450, 1214–1217. [Google Scholar] [CrossRef]
- Kippenberg, T.J.; Holzwarth, R.; Diddams, S.A. Microresonator-based optical frequency combs. Science 2011, 332, 555–559. [Google Scholar] [CrossRef]
- Sakamoto, T.; Kawanishi, T.; Izutsu, M. Asymptotic formalism for ultraflat optical frequency comb generation using a Mach-Zehnder modulator. Opt. Lett. 2007, 32, 1515–1517. [Google Scholar] [CrossRef]
- Metcalf, A.J.; Torres-Company, V.; Leaird, D.E.; Weiner, A.M. High-power broadly tunable electrooptic frequency comb generator. IEEE J. Sel. Top. Quantum Electron. 2013, 19, 3500306. [Google Scholar] [CrossRef]
- Yan, X.; Zou, X.; Pan, W.; Yan, L.; Azaña, J. Fully digital programmable optical frequency comb generation and application. Opt. Lett. 2018, 43, 283–286. [Google Scholar] [CrossRef] [PubMed]
- Jiang, Z.; Leaird, D.E.; Huang, C.; Miao, H.; Kourogi, M.; Imai, K.; Weiner, A.M. Spectral Line-by-Line Pulse Shaping on an Optical Frequency Comb Generator. IEEE J. Quantum Electron. 2007, 43, 1163–1174. [Google Scholar] [CrossRef]
- Wu, R.; Supradeepa, V.R.; Long, C.M.; Leaird, D.E.; Weiner, A.M. Generation of very flat optical frequency combs from continuous-wave lasers using cascaded intensity and phase modulators driven by tailored radio frequency waveforms. Opt. Lett. 2010, 35, 3234–3236. [Google Scholar] [CrossRef]
- Wu, R.; Torres-Company, V.; Leaird, D.E.; Weiner, A.M. Supercontinuum-based 10-GHz flat-topped optical frequency comb generation. Opt. Express 2013, 21, 6045–6052. [Google Scholar] [CrossRef] [PubMed]
- Kobayashi, T.; Sueta, T.; Cho, Y.; Matsuo, Y. High-repetition rate optical pulse generator using a Fabry-Perot electro-optical modulator. Appl. Phys. Lett. 1972, 21, 341–343. [Google Scholar] [CrossRef]
- Kourogi, M.; Nakagawa, K.; Ohtsu, M. Wide-Span Optical Frequency Comb Generator for Accurate Optical Frequency Difference Measurement. IEEE J. Quantum Electron. 1993, 29, 2693–2701. [Google Scholar] [CrossRef]
- Brothers, L.R.; Lee, D.; Wong, N.C. Terahertz optical frequency comb generation and phase locking of an optical parametric oscillator at 665 GHz. Opt. Lett. 1994, 19, 245–247. [Google Scholar] [CrossRef]
- Bell, A.S.; Mcfarlane, G.M.; Riis, E.; Ferguson, A.I. Efficient optical frequency-comb generator. Opt. Lett. 1995, 20, 1435–1437. [Google Scholar] [CrossRef]
- Ye, J.; Ma, L.S.; Daly, T.; Hall, J.L. Highly selective terahertz optical frequency comb generator. Opt. Lett. 1997, 22, 301–303. [Google Scholar] [CrossRef]
- Kovacich, R.P.; Sterr, U.; Telle, H.R. Short-pulse properties of optical frequency comb generators. Appl. Opt. 2000, 39, 4372–4376. [Google Scholar] [CrossRef]
- Kourogi, M.; Widiyatomoko, B.; Takeuchi, Y.; Ohtsu, M. Limit of Optical-Frequency Comb Generation Due to Material Dispersion. IEEE J. Quantum Electron. 1995, 31, 2120–2126. [Google Scholar] [CrossRef]
- Diddams, S.A.; Ma, L.S.; Ye, J.; Hall, J.L. Broadband optical frequency comb generation with a phase-modulated parametric oscillator. Opt. Lett. 1999, 24, 1747–1749. [Google Scholar] [CrossRef]
- Sterr, U.; Lipphardt, B.; Wolf, A.; Telle, H.R. A Novel Stabilization Method for an Optical Frequency Comb Generator. IEEE Trans. Instrum. Meas. 1999, 48, 574–577. [Google Scholar] [CrossRef]
- Xiao, S.; Hollberg, L.; Newbury, N.R.; Diddams, S.A. Toward a low-jitter 10 GHz pulsed source with an optical frequency comb generator. Opt. Express 2008, 16, 8498–8508. [Google Scholar] [CrossRef] [PubMed]
- Zhang, M.; Buscaino, B.; Wang, C.; Shams-Ansari, A.; Reimer, C.; Zhu, R.; Kahn, J.M.; Lončar, M. Broadband electro-optic frequency comb generation in a lithium niobate micro ring resonator. Nature 2019, 568, 373–377. [Google Scholar] [CrossRef] [PubMed]
- Buscaino, B.; Zhang, M.; Lončar, M.; Kahn, J.M. Design of Efficient Resonator-Enhanced Electro-Optic Frequency Comb Generators. J. Lightwave Technol. 2020, 38, 1400–1413. [Google Scholar] [CrossRef]
- Yang, R.; Pollinger, F.; Hu, P.; Yang, H.; Fu, H.; Fan, Z.; Tan, J. Analysis of a highly efficient phase-locking stabilization method for electro-optic comb generation. Appl. Opt. 2020, 59, 4839–4848. [Google Scholar] [CrossRef]
- Hecht, E. Optics; Addison-Wesley: Boston, MA, USA, 2001; Chapter 9.6; p. 419. [Google Scholar]
- Saitoh, T.; Mattori, S.; Kinugawa, S.; Miyagi, K.; Taniguchi, A.; Kourogi, M.; Ohtsu, M. Modulation Characteristic of Waveguide-Type Optical Frequency Comb Generator. J. Light. Technol. 1998, 16, 824–832. [Google Scholar] [CrossRef]
- Abramowitz, M.; Stegun, I.A. Handbook of Mathematical Functions with Formulas, Graphs, and Mathematical Tables; United States. Government Printing Office: Washington, DC, USA, 1967; Available online: https://digital.library.unt.edu/ark:/67531/metadc40301/ (accessed on 2 October 2022).
- ISO/IEC 60559-2020; ISO/IEC/IEEE International Standard—Floating-Point Arithmetic. IEEE: Piscataway, NJ, USA, 2020.
- Optical Constants of LiNbO3 (Lithium Niobate). https://refractiveindex.info/?shelf=main&book=LiNbO3&page=Zelmon-e (accessed on 2 October 2022).
- Brothers, L.R. Terahertz Optical Frequency Comb Generation. Ph.D. Dissertation, Massachusetts Institute of Technology, Cambridge, MA, USA, 1997. [Google Scholar]








Publisher’s Note: MDPI stays neutral with regard to jurisdictional claims in published maps and institutional affiliations. |
© 2022 by the authors. Licensee MDPI, Basel, Switzerland. This article is an open access article distributed under the terms and conditions of the Creative Commons Attribution (CC BY) license (https://creativecommons.org/licenses/by/4.0/).
Share and Cite
Yang, R.; Wu, J.; Yang, H.; Fu, H.; Yu, L.; Xing, X.; Dong, Y.; Hu, P.; Tan, J. Accurate and Comprehensive Spectrum Characterization for Cavity-Enhanced Electro-Optic Comb Generators. Nanomaterials 2022, 12, 3907. https://doi.org/10.3390/nano12213907
Yang R, Wu J, Yang H, Fu H, Yu L, Xing X, Dong Y, Hu P, Tan J. Accurate and Comprehensive Spectrum Characterization for Cavity-Enhanced Electro-Optic Comb Generators. Nanomaterials. 2022; 12(21):3907. https://doi.org/10.3390/nano12213907
Chicago/Turabian StyleYang, Ruitao, Jinxuan Wu, Hongxing Yang, Haijin Fu, Liang Yu, Xu Xing, Yisi Dong, Pengcheng Hu, and Jiubin Tan. 2022. "Accurate and Comprehensive Spectrum Characterization for Cavity-Enhanced Electro-Optic Comb Generators" Nanomaterials 12, no. 21: 3907. https://doi.org/10.3390/nano12213907
APA StyleYang, R., Wu, J., Yang, H., Fu, H., Yu, L., Xing, X., Dong, Y., Hu, P., & Tan, J. (2022). Accurate and Comprehensive Spectrum Characterization for Cavity-Enhanced Electro-Optic Comb Generators. Nanomaterials, 12(21), 3907. https://doi.org/10.3390/nano12213907

