Catalytic Esterification of Levulinic Acid into the Biofuel n-Butyl Levulinate over Nanosized TiO2 Particles
Abstract
1. Introduction
2. Experimental
2.1. Materials and Reagents
2.2. Characerization
2.3. Catalytic Performance Test
2.4. Design of Experiment Using BBD
2.5. Catalyst Reusability Tests
3. Results and Discussion
3.1. Characterization of the TiO2 Nanoparticles
3.2. Catalyst Performance of the TNPs
3.3. Effect of Reaction Time on LA Esterification
3.4. Effect of the Reaction Temperature on LA Esterification
3.5. Effect of the Catalyst Dosage on LA Esterification
3.6. BBD Design and Data Analysis
3.7. Reusability and Stability of the TNPs
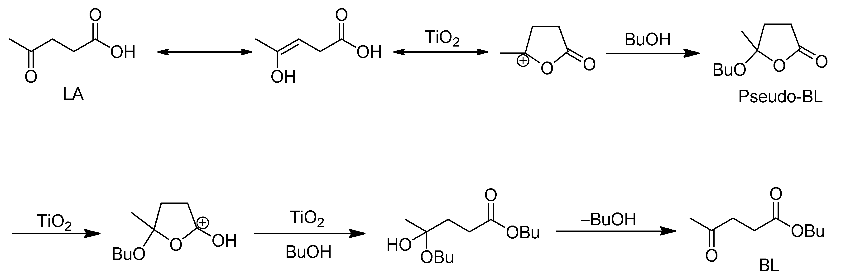
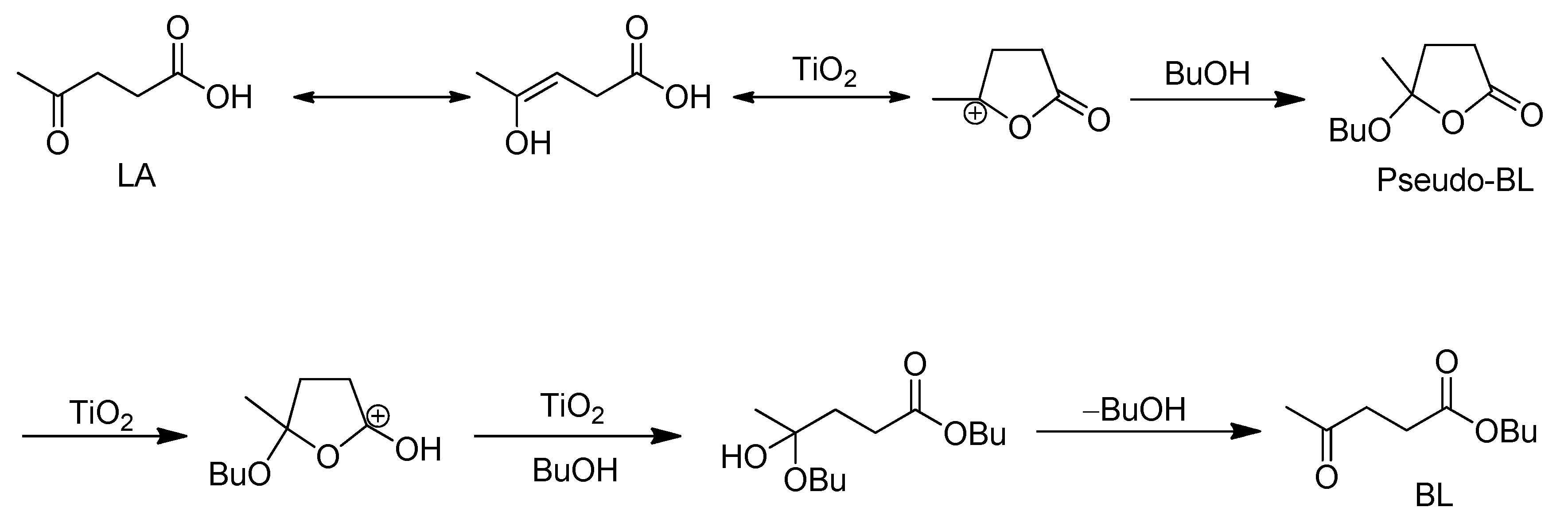
3.8. Possible Reaction Mechanism
4. Conclusions
Author Contributions
Funding
Data Availability Statement
Conflicts of Interest
References
- Gaurav, N.; Sivasankari, S.; Kiran, G.S.; Ninawe, A.; Selvin, J. Utilization of bioresources for sustainable biofuels: A review. Renew. Sustain. Energy. Rev. 2017, 73, 205–214. [Google Scholar] [CrossRef]
- Østergaard, P.A.; Duic, N.; Noorollahi, Y.; Mikulcic, H.; Kalogirou, S. Sustainable development using renewable energy technology. Renew. Energy 2020, 146, 2430–2437. [Google Scholar] [CrossRef]
- Alonso, D.M.; Bond, J.Q.; Dumesic, J.A. Catalytic conversion of biomass to biofuels. Green Chem. 2010, 12, 1493–1513. [Google Scholar] [CrossRef]
- Antar, M.; Lyu, D.; Nazari, M.; Shah, A.; Zhou, X.; Smith, D.L. Biomass for a sustainable bioeconomy: An overview of world biomass production and utilization. Renew. Sustain. Energy. Rev. 2021, 139, 110691. [Google Scholar] [CrossRef]
- Perea-Moreno, M.-A.; Samerón-Manzano, E.; Perea-Moreno, A.-J. Biomass as renewable energy: Worldwide research trends. Sustainability 2019, 11, 863. [Google Scholar] [CrossRef]
- Mika, L.T.; Cséfalvay, E.; Németh, Á. Catalytic conversion of carbohydrates to initial platform chemicals: Chemistry and sustainability. Chem. Rev. 2018, 118, 505–613. [Google Scholar] [CrossRef]
- Gómez Millán, G.; Hellsten, S.; Llorca, J.; Luque, R.; Sixta, H.; Balu, A.M. Recent advances in the catalytic production of platform chemicals from holocellulosic biomass. ChemCatChem 2019, 11, 2022–2042. [Google Scholar] [CrossRef]
- Sajid, M.; Farooq, U.; Bary, G.; Azim, M.M.; Zhao, X. Sustainable production of levulinic acid and its derivatives for fuel additives and chemicals: Progress, challenges, and prospects. Green Chem. 2021, 23, 9198–9238. [Google Scholar] [CrossRef]
- Badgujar, K.C.; Badgujar, V.C.; Bhanage, B.M. A review on catalytic synthesis of energy rich fuel additive levulinate compounds from biomass derived levulinic acid. Fuel Process. Technol. 2020, 197, 106213. [Google Scholar] [CrossRef]
- Di Menno Di Bucchianico, D.; Wang, Y.; Buvat, J.-C.; Pan, Y.; Casson Moreno, V.; Leveneur, S. Production of levulinic acid and alkyl levulinates: A process insight. Green Chem. 2022, 24, 614–646. [Google Scholar] [CrossRef]
- Pileidis, F.D.; Titirici, M.-M. Levulinic acid biorefineries: New challenges for efficient utilization of biomass. ChemSusChem 2016, 9, 562–582. [Google Scholar] [CrossRef] [PubMed]
- Hayes, G.C.; Becer, C.R. Levulinic acid: A sustainable platform chemical for novel polymer architectures. Polym. Chem. 2020, 11, 4068–4077. [Google Scholar] [CrossRef]
- Xue, Z.; Yu, D.; Zhao, X.; Mu, T. Upgrading of levulinic acid into diverse n-containing functional chemicals. Green Chem. 2019, 21, 5449–5468. [Google Scholar] [CrossRef]
- Dutta, S.; Bhat, N.S. Recent advances in the value addition of biomass-derived levulinic acid: A review focusing on its chemical reactivity patterns. ChemCatChem 2021, 13, 3202–3222. [Google Scholar] [CrossRef]
- Kumar, A.; Shende, D.Z.; Wasewar, K.L. Production of levulinic acid: A promising building block material for pharmaceutical and food industry. Mater. Today Proc. 2020, 29, 790–793. [Google Scholar] [CrossRef]
- Zhang, S.; Li, J.; Shang, N.-Z.; Gao, S.-T.; Wang, C.; Wang, Z. Conversion of biomass-derived levulinate esters to γ-valerolactone with a robust CuNi bimetallic catalyst. New J. Chem. 2020, 44, 15671–15676. [Google Scholar] [CrossRef]
- Delgado, J.; Vasquez Salcedo, W.N.; Bronzetti, G.; Casson Moreno, V.; Mignot, M.; Legros, J.; Held, C.; Grénman, H.; Leveneur, S. Kinetic model assessment for the synthesis of γ-valerolactone from n-butyl levulinate and levulinic acid hydrogenation over the synergy effect of dual catalysts Ru/C and amberlite IR-120. Chem. Eng. J. 2022, 430, 133053. [Google Scholar] [CrossRef]
- Capecci, S.; Wang, Y.; Delgado, J.; Casson Moreno, V.; Mignot, M.; Grénman, H.; Murzin, D.Y.; Leveneur, S. Bayesian statistics to elucidate the kinetics of γ-valerolactone from n-butyl levulinate hydrogenation over Ru/C. Ind. Eng. Chem. Res. 2021, 60, 11725–11736. [Google Scholar] [CrossRef]
- Capecci, S.; Wang, Y.; Casson Moreno, V.; Held, C.; Leveneur, S. Solvent effect on the kinetics of the hydrogenation of n-butyl levulinate to γ-valerolactone. Chem. Eng. Sci. 2021, 231, 116315. [Google Scholar] [CrossRef]
- Lai, J.; Zhou, S.; Liu, X.; Yang, Y.; Lei, J.; Xu, Q.; Yin, D. Catalytic transfer hydrogenation of biomass-derived ethyl levulinate into gamma-valerolactone over graphene oxide-supported zirconia catalysts. Catal. Lett. 2019, 149, 2749–2757. [Google Scholar] [CrossRef]
- Zhang, Z.; Liu, Z.; Gu, Z.; Wen, Z.; Xue, B. Selective production of γ-valerolactone from ethyl levulinate by catalytic transfer hydrogenation over Zr-based catalyst. Res. Chem. Intermed. 2022, 48, 1181–1198. [Google Scholar] [CrossRef]
- Wei, X.; Li, W.; Liu, Q.; Sun, W.; Liu, S.; Li, S.; Wei, H.; Ma, L. Pore-scale investigation on multiphase reactive transport for the conversion of levulinic acid to γ-valerolactone with Ru/C catalyst. Chem. Eng. J. 2022, 427, 130917. [Google Scholar] [CrossRef]
- Shen, Q.; Zhang, Y.; Zhang, Y.; Tan, S.; Chen, J. Transformations of biomass-based levulinate ester into γ-valerolactone and pyrrolidones using carbon nanotubes-grafted n-heterocyclic carbene ruthenium complexes. J. Energy Chem. 2019, 39, 29–38. [Google Scholar] [CrossRef]
- Shao, Y.; Ba, S.; Sun, K.; Gao, G.; Fan, M.; Wang, J.; Fan, H.; Zhang, L.; Hu, X. Selective production of γ-valerolactone or 1,4-pentanediol from levulinic acid/esters over co-based catalyst: Importance of the synergy of hydrogenation sites and acidic sites. Chem. Eng. J. 2022, 429, 132433. [Google Scholar] [CrossRef]
- Kawasumi, R.; Narita, S.; Miyamoto, K.; Tominaga, K.-i.; Takita, R.; Uchiyama, M. One-step conversion of levulinic acid to succinic acid using I2/t-BUOK system: The iodoform reaction revisited. Sci. Rep. 2017, 7, 17967. [Google Scholar] [CrossRef]
- Gautam, P.; Barman, S.; Ali, A. A comparative study on the performance of acid catalysts in the synthesis of levulinate ester using biomass-derived levulinic acid: A review. Biofuels Bioprod. Biorefin. 2022, 16, 1095–1115. [Google Scholar] [CrossRef]
- Nelson Appaturi, J.; Andas, J.; Ma, Y.-K.; Lee Phoon, B.; Muazu Batagarawa, S.; Khoerunnisa, F.; Hazwan Hussin, M.; Ng, E.-P. Recent advances in heterogeneous catalysts for the synthesis of alkyl levulinate biofuel additives from renewable levulinic acid: A comprehensive review. Fuel 2022, 323, 124362. [Google Scholar] [CrossRef]
- Jamali, F.; Najafi Chermahini, A.; Ayashi, N. Conversion of levulinic acid to n-butyl levulinate over mesoporous zirconium phosphate catalysts. Inorg. Chem. Res. 2021, 5, 149–162. [Google Scholar]
- Bakhtiari, B.; Najafi Chermahini, A.; Babaei, Z. Design of an acidic sulfonated mesoporous carbon catalyst for the synthesis of butyl levulinate from levulinic acid. Environ. Progr. Sust. Energy 2021, 40, e13721. [Google Scholar] [CrossRef]
- Mthembu, L.D.; Lokhat, D.; Deenadayalu, N. Esterification of levulinic acid to ethyl levulinate: Optimization of process conditions using commercial levulinic acid and extension to the use of levulinic acid derived from depithed sugarcane bagasse. Biomass Convers. Bior. 2021, 1–10. [Google Scholar] [CrossRef]
- Russo, V.; Tesser, R.; Rossano, C.; Cogliano, T.; Vitiello, R.; Leveneur, S.; Di Serio, M. Kinetic study of amberlite IR120 catalyzed acid esterification of levulinic acid with ethanol: From batch to continuous operation. Chem. Eng. J. 2020, 401, 126126. [Google Scholar] [CrossRef]
- Ristiana, D.D.; Suyanta, S.; Nuryono, N. Sulfonic acid-functionalized silica with controlled hydrophobicity as an effective catalyst for esterification of levulinic acid. Mater. Today Commun. 2022, 32, 103953. [Google Scholar] [CrossRef]
- Mao, F.-F.; Zhao, W.; Tao, D.-J.; Liu, X. Highly efficient conversion of renewable levulinic acid to n-butyl levulinate catalyzed by sulfonated magnetic titanium dioxide nanotubes. Catal. Lett. 2020, 150, 2709–2715. [Google Scholar] [CrossRef]
- Zhou, S.; Long, M.; Wu, L.; Lei, M.; Bai, J.; Huang, K.; Liu, X.; Yin, D. Titanate nanotubes covalently bonded sulfamic acid as a heterogeneous catalyst for highly efficient conversion of levulinic acid into n-butyl levulinate biofuels. Biomass Convers. Bior. 2022, 1–13. [Google Scholar] [CrossRef]
- Jia, S.; Ma, J.; Wang, D.; Wang, K.; Zheng, Q.; Song, C.; Guo, X. Fast and efficient upgrading of levulinic acid into long-chain alkyl levulinate fuel additives with a tungsten salt catalyst at low temperature. Sustain. Energy Fuels 2020, 4, 2018–2025. [Google Scholar] [CrossRef]
- Da Silva, M.J.; Chaves, D.M.; Teixeira, M.G.; Oliveira Bruziquesi, C.G. Esterification of levulinic acid over Sn(II) exchanged keggin heteropolyacid salts: An efficient route to obtain bioaditives. Mol. Catal. 2021, 504, 111495. [Google Scholar] [CrossRef]
- Desai, D.S.; Yadav, G.D. Synthesis of energy rich fuel additive from biomass derived levulinic acid and furfuryl alcohol using novel tin-exchanged heteropoly acid supported on titania nanotubes as catalyst. Fuel 2023, 331, 125700. [Google Scholar] [CrossRef]
- Jaiswal, K.S.; Rathod, V.K. Green synthesis of amyl levulinate using lipase in the solvent free system: Optimization, mechanism and thermodynamics studies. Catal. Today 2021, 375, 120–131. [Google Scholar] [CrossRef]
- Song, M.; Di, X.; Zhang, Y.; Sun, Y.; Wang, Z.; Yuan, Z.; Guo, Y. The effect of enzyme loading, alcohol/acid ratio and temperature on the enzymatic esterification of levulinic acid with methanol for methyl levulinate production: A kinetic study. RSC Adv. 2021, 11, 15054–15059. [Google Scholar] [CrossRef]
- Nguyen Thanh, D.; Kikhtyanin, O.; Ramos, R.; Kothari, M.; Ulbrich, P.; Munshi, T.; Kubička, D. Nanosized TiO2—A promising catalyst for the aldol condensation of furfural with acetone in biomass upgrading. Catal. Today 2016, 277, 97–107. [Google Scholar] [CrossRef]
- Noma, R.; Nakajima, K.; Kamata, K.; Kitano, M.; Hayashi, S.; Hara, M. Formation of 5-(hydroxymethyl)furfural by stepwise dehydration over TiO2 with water-tolerant lewis acid sites. J. Phys. Chem. C 2015, 119, 17117–17125. [Google Scholar] [CrossRef]
- Testa, M.L.; Miroddi, G.; Russo, M.; La Parola, V.; Marcì, G. Dehydration of fructose to 5-HMF over acidic TiO2 catalysts. Materials 2020, 13, 1178. [Google Scholar] [CrossRef] [PubMed]
- Kuo, C.-H.; Poyraz, A.S.; Jin, L.; Meng, Y.; Pahalagedara, L.; Chen, S.-Y.; Kriz, D.A.; Guild, C.; Gudz, A.; Suib, S.L. Heterogeneous acidic TiO2 nanoparticles for efficient conversion of biomass derived carbohydrates. Green Chem. 2014, 16, 785–791. [Google Scholar] [CrossRef]
- Zhao, M.; Pan, Z.; Chen, Q.; Zhou, H. Catalytic alcoholysis to prepare diosgenin with a solid acid based on nano TiO2. Catal. Lett. 2022, 152, 3453–3464. [Google Scholar] [CrossRef]
- Oi, L.E.; Choo, M.-Y.; Lee, H.V.; Ong, H.C.; Hamid, S.B.A.; Juan, J.C. Recent advances of titanium dioxide (TiO2) for green organic synthesis. RSC Adv. 2016, 6, 108741–108754. [Google Scholar] [CrossRef]
- Shirini, F.; Abedini, M.; Seddighi, M. TiO2 and its derivatives as efficient catalysts for organic reactions. J. Nanosci. Nanotechnol. 2016, 16, 8208–8227. [Google Scholar] [CrossRef]
- Govardhana Reddy, P.V.; Rajendra Prasad Reddy, B.; Venkata Krishna Reddy, M.; Raghava Reddy, K.; Shetti, N.P.; Saleh, T.A.; Aminabhavi, T.M. A review on multicomponent reactions catalysed by zero-dimensional/one-dimensional titanium dioxide (TiO2) nanomaterials: Promising green methodologies in organic chemistry. J. Environ. Manag. 2021, 279, 111603. [Google Scholar] [CrossRef]
- Yuan, Y.; Jiang, W.; Li, J. Preparation of solid acid catalyst SO42−/TiO2/γ-Al2O3 for esterification: A study on catalytic reaction mechanism and kinetics. Chin. J. Chem. Eng. 2019, 27, 2696–2704. [Google Scholar] [CrossRef]
- Fan, M.; Si, Z.; Sun, W.; Zhang, P. Sulfonated ZrO2-TiO2 nanorods as efficient solid acid catalysts for heterogeneous esterification of palmitic acid. Fuel 2019, 252, 254–261. [Google Scholar] [CrossRef]
- Atanda, L.; Mukundan, S.; Shrotri, A.; Ma, Q.; Beltramini, J. Catalytic conversion of glucose to 5-hydroxymethyl-furfural with a phosphated TiO2 catalyst. ChemCatChem 2015, 7, 781–790. [Google Scholar] [CrossRef]
- Zhang, L.; Chen, J.; Zhang, Y.; Liu, T.; Yao, Q.; Yang, L.; Zhou, X. Interactions between peracetic acid and TiO2 nanoparticle in wastewater disinfection: Mechanisms and implications. Chem. Eng. J. 2021, 412, 128703. [Google Scholar] [CrossRef]
- Ciptonugroho, W.; Al-Shaal, M.G.; Mensah, J.B.; Palkovits, R. One pot synthesis of wox/mesoporous-zro2 catalysts for the production of levulinic-acid esters. J. Catal. 2016, 340, 17–29. [Google Scholar] [CrossRef]
- Chaffey, D.R.; Bere, T.; Davies, T.E.; Apperley, D.C.; Taylor, S.H.; Graham, A.E. Conversion of levulinic acid to levulinate ester biofuels by heterogeneous catalysts in the presence of acetals and ketals. Appl. Catal. B: Environ. 2021, 293, 120219. [Google Scholar] [CrossRef]
- Miao, Z.; Li, Z.; Liu, D.; Zhao, J.; Chou, L.; Zhou, J.; Zhuo, S. An efficient ordered mesoporous molybdate-zirconium oxophosphate solid acid catalyst with homogeneously dispersed active sites: Synthesis, characterization and application. J. Colloid Interface Sci. 2018, 526, 145–157. [Google Scholar] [CrossRef] [PubMed]
- Zainol, M.M.; Amin, N.A.S.; Asmadi, M.; Ramli, N.A.S. Esterification of levulinic acid to ethyl levulinate using liquefied oil palm frond-based carbon cryogel catalyst. BioEnergy Res. 2019, 12, 359–369. [Google Scholar] [CrossRef]
- Najafi Chermahini, A.; Assar, M. Production of n-butyl levulinate over modified KIT-6 catalysts: Comparison of the activity of KIT-SO3H and Al-KIT-6 catalysts. J. Iran. Chem. Soc. 2019, 16, 2045–2053. [Google Scholar] [CrossRef]
- Yang, H.; Zhou, S.; Liu, H.; Yan, W.; Yang, L.; Yi, B. Photocatalytic degradation of carbofuran in tio2 aqueous solution: Kinetics using design of experiments and mechanism by HPLC/MS/MS. J. Environ. Sci. 2013, 25, 1680–1686. [Google Scholar] [CrossRef]
- Tabrizian, E.; Amoozadeh, A. A unique approach to magnetization of metal oxides: Nano-Fe3O4@TDI@TiO2 as a highly efficient, magnetically separable and recyclable heterogeneous nanocatalyst. Catal. Sci. Techol. 2016, 6, 6267–6276. [Google Scholar] [CrossRef]
- Vera Candioti, L.; De Zan, M.M.; Cámara, M.S.; Goicoechea, H.C. Experimental design and multiple response optimization. Using the desirability function in analytical methods development. Talanta 2014, 124, 123–138. [Google Scholar] [CrossRef]
- Ramli, N.A.S.; Zaharudin, N.H.; Amin, N.A.S. Esterification of renewable levulinic acid to levulinate esters using amberlyst-15 as a solid acid catalyst. J. Teknol. 2016, 79, 137–142. [Google Scholar] [CrossRef]
- Zhou, L.; He, Y.; Ma, L.; Jiang, Y.; Huang, Z.; Yin, L.; Gao, J. Conversion of levulinic acid into alkyl levulinates: Using lipase immobilized on meso-molding three-dimensional macroporous organosilica as catalyst. Bioresour. Technol. 2018, 247, 568–575. [Google Scholar] [CrossRef] [PubMed]
- Maheria, K.C.; Kozinski, J.; Dalai, A. Esterification of levulinic acid to n-butyl levulinate over various acidic zeolites. Catal. Lett. 2013, 143, 1220–1225. [Google Scholar] [CrossRef]













| Entry | Sample | LA Conv. (%) | BL Sel. (%) |
|---|---|---|---|
| 1 | - | 37.9 | 74.7 |
| 2 | TNPs-1 | 71.6 | 96.4 |
| 3 | TNPs-2 | 48.4 | 84.5 |
| 4 | TNPs-3 | 43.5 | 95.8 |
| 5 | SiO2 (commercial) | 39.5 | 79.2 |
| Run No. | Catalyst Dosage (A) | Reaction Time (B) | Temperature (C) | Yexp (%) |
|---|---|---|---|---|
| 1 | 5 | 4 | 110 | 38.5 |
| 2 | 10 | 4 | 110 | 56.9 |
| 3 | 5 | 8 | 110 | 52.4 |
| 4 | 10 | 8 | 110 | 65.9 |
| 5 | 5 | 6 | 100 | 31.0 |
| 6 | 10 | 6 | 100 | 45.2 |
| 7 | 5 | 6 | 120 | 53.6 |
| 8 | 10 | 6 | 120 | 69.0 |
| 9 | 7.5 | 4 | 100 | 46.8 |
| 10 | 7.5 | 8 | 100 | 52.7 |
| 11 | 7.5 | 4 | 120 | 58.5 |
| 12 | 7.5 | 8 | 120 | 75.4 |
| 13 | 7.5 | 6 | 110 | 60.3 |
| 14 | 7.5 | 6 | 110 | 60.6 |
| 15 | 7.5 | 6 | 110 | 59.7 |
| Source | Sum of Squares | DF | Mean Square | F-Value | p-Value Prob > F |
|---|---|---|---|---|---|
| Model | 1834.68 | 9 | 203.85 | 53.41 | 0.0002 |
| A-catalyst dosage | 472.78 | 1 | 472.78 | 123.68 | 0.0001 |
| B-reaction time | 261.06 | 1 | 261.06 | 68.40 | 0.0004 |
| C-temperature | 816.08 | 1 | 816.08 | 213.83 | <0.0001 |
| AB | 6.00 | 1 | 6.00 | 1.57 | 0.2652 |
| AC | 0.36 | 1 | 0.36 | 0.094 | 0.7711 |
| BC | 30.25 | 1 | 30.25 | 7.93 | 0.0373 |
| A2 | 219.63 | 1 | 219.63 | 57.55 | 0.0006 |
| B2 | 3.25 | 1 | 3.25 | 0.85 | 0.3988 |
| C2 | 28.69 | 1 | 28.69 | 7.52 | 0.0407 |
| Residual | 19.08 | 5 | 3.82 | ||
| Pure error | 0.42 | 2 | 0.21 | ||
| R2 | 0.9897 | ||||
| Adj R2 | 0.9712 | ||||
| C.V.% | 3.55 | ||||
| Adequate precision | 28.023 |
| Catalyst | Mole Ratio (LA:Alcohol) | Temp. (°C) | Time (h) | BL Yield (%) | Ref. |
|---|---|---|---|---|---|
| Amberlyst-15 | 1:20 | 117.7 | 5 | 55 | [60] |
| CMK-8-SO3H | 1:10 | 130 | 10 | 75.1 | [29] |
| NER@3DOM/m-OS | 1:10 | 40 | 12 | 74.6 | [61] |
| WOx/mesoporous-ZrO2 | 1:5 | 120 | 2 | 64.9 | [52] |
| Commercial H-Beta | 1:7 | 120 | 4 | 82.2 | [62] |
| TiO2 | 1:10 | 120 | 8 | 77.6 | This work |
Publisher’s Note: MDPI stays neutral with regard to jurisdictional claims in published maps and institutional affiliations. |
© 2022 by the authors. Licensee MDPI, Basel, Switzerland. This article is an open access article distributed under the terms and conditions of the Creative Commons Attribution (CC BY) license (https://creativecommons.org/licenses/by/4.0/).
Share and Cite
Zhou, S.; Wu, L.; Bai, J.; Lei, M.; Long, M.; Huang, K. Catalytic Esterification of Levulinic Acid into the Biofuel n-Butyl Levulinate over Nanosized TiO2 Particles. Nanomaterials 2022, 12, 3870. https://doi.org/10.3390/nano12213870
Zhou S, Wu L, Bai J, Lei M, Long M, Huang K. Catalytic Esterification of Levulinic Acid into the Biofuel n-Butyl Levulinate over Nanosized TiO2 Particles. Nanomaterials. 2022; 12(21):3870. https://doi.org/10.3390/nano12213870
Chicago/Turabian StyleZhou, Shuolin, Lu Wu, Junzhuo Bai, Min Lei, Min Long, and Keying Huang. 2022. "Catalytic Esterification of Levulinic Acid into the Biofuel n-Butyl Levulinate over Nanosized TiO2 Particles" Nanomaterials 12, no. 21: 3870. https://doi.org/10.3390/nano12213870
APA StyleZhou, S., Wu, L., Bai, J., Lei, M., Long, M., & Huang, K. (2022). Catalytic Esterification of Levulinic Acid into the Biofuel n-Butyl Levulinate over Nanosized TiO2 Particles. Nanomaterials, 12(21), 3870. https://doi.org/10.3390/nano12213870

