Equivalent Circuit-Assisted Multi-Objective Particle Swarm Optimization for Accelerated Reverse Design of Multi-Layer Frequency Selective Surface
Abstract
1. Introduction
2. Reverse Design Method of FSS Based on the ECM
2.1. FSS Building Blocks and Their EC
2.2. Design Process of the Proposed Method
- (1)
- Instead of using a multi-layer FSS transmission matrix for the multi-layer FSS design, we use the basic layer-by-layer building blocks for the design, which reduces the computational complexity.
- (2)
- We can obtain the size range of the FSS based on the operating frequency and wavelength of the resonant circuit. The resonant wavelength of the FSS roughly corresponds to the perimeter of the array cell, .
- (3)
- Considering that the dielectric loading will cause the center frequency drift, for the dielectric half-space and full-space filling with relative permittivity of , the corresponding FSS resonant frequency will be reduced to and , respectively. is the resonant frequency of the free-space FSS without dielectric load.
- (4)
- Considering the influence of the polarization mode and the oblique incident angle, multi-layer dielectric loading cascade and changing the shape of the metal patches are usually used to ensure that the polarization and angle insensitivity characteristics of FSS are within the acceptable range. However, there is an influence of inter-layer coupling factors when using dielectric loading cascade FSS. The calculation of the transmission matrix is computationally intensive and complex. In this paper, an MOPSO algorithm is used to omit the calculation of inter-layer coupling [27]. It compensates for the influence of medium, polarization, and incident angle on the frequency response in the original FSS design.
3. Implementation of the Design Method
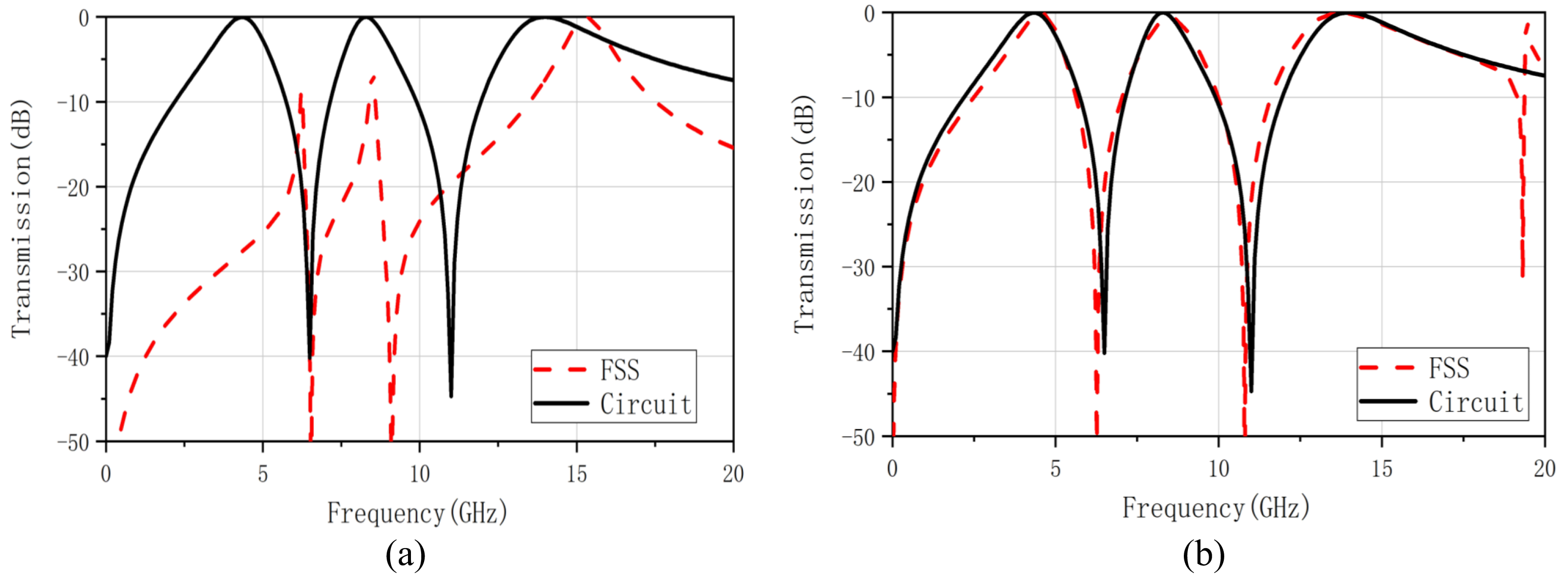
3.1. Design of Dual Band-Stop FSS
- (1)
- In the quantitative analysis, the complexity of the mathematical formulae, which omit some long and tedious factors in the calculation but have little impact on the overall count, may cause cumulative errors.
- (2)
- The FSS and the resonant circuit on the transmission line are approximately equivalent. It only reflects that the two are roughly the same in terms of filtering property and are not precisely identical.
- (3)
- As mentioned in the previous section, the dielectric substrate will change the operating frequency of the FSS during the design process.
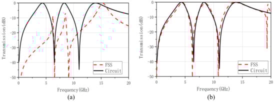
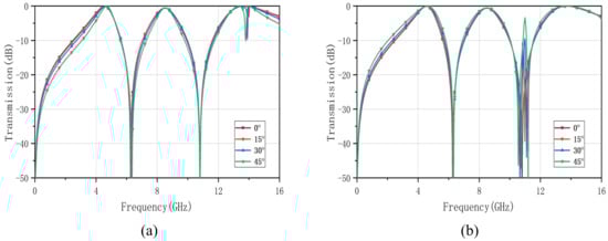
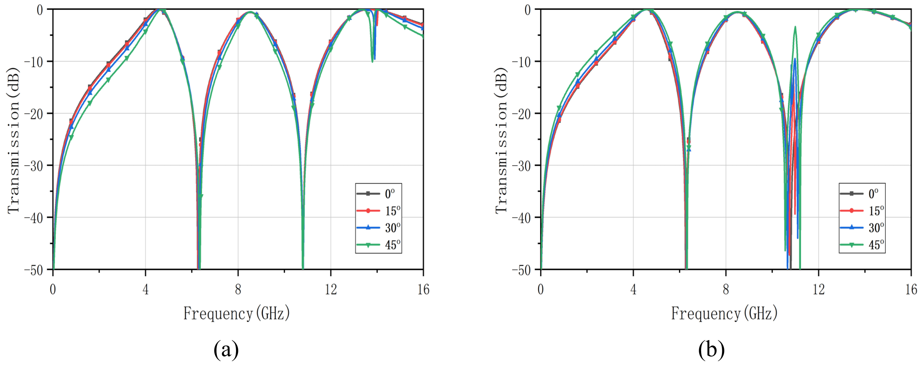
3.2. Design of Triple Band-Pass FSS
4. Conclusions
Author Contributions
Funding
Institutional Review Board Statement
Informed Consent Statement
Data Availability Statement
Conflicts of Interest
References
- Kim, J.H.; Chun, H.J.; Hong, I.P.; Kim, Y.J.; Park, Y.B. Analysis of FSS radomes based on physical optics method and ray tracing technique. IEEE Antennas Wirel. Propag. Lett. 2014, 13, 868–871. [Google Scholar]
- Costa, F.; Kazemzadeh, A.; Genovesi, S.; Monorchio, A. Electromagnetic Absorbers Based on Frequency Selective Surfaces. In Forum for Electromagnetic Research Methods and Application Technologies (FERMAT); 2016; Volume 37, pp. 1–23. Available online: https://www.researchgate.net/profile/Filippo-Costa/publication/306381047_Electromagnetic_Absorbers_Based_on_Frequency_Selective_Surfaces/links/57bc3e0408ae9fdf82f14b23/Electromagnetic-Absorbers-Based-on-Frequency-Selective-Surfaces.pdf (accessed on 23 August 2016).
- Chiu, C.N.; Kuo, C.H.; Lin, M.S. Bandpass shielding enclosure design using multipole-slot arrays for modern portable digital devices. IEEE Trans. Electromagn. Compat. 2008, 50, 895–904. [Google Scholar] [CrossRef]
- Sivasamy, R.; Moorthy, B.; Kanagasabai, M.; Samsingh, V.R.; Alsath, M.G.N. A wideband frequency tunable FSS for electromagnetic shielding applications. IEEE Trans. Electromagn. Compat. 2017, 60, 280–283. [Google Scholar] [CrossRef]
- Li, D.; Li, T.W.; Li, E.P.; Zhang, Y.J. A 2.5-D angularly stable frequency selective surface using via-based structure for 5G EMI shielding. IEEE Trans. Electromagn. Compat. 2017, 60, 768–775. [Google Scholar] [CrossRef]
- Lin, C.W.; Shen, C.K.; Wu, T.L. Ultracompact via-based absorptive frequency-selective surface for 5-GHz Wi-Fi with passbands and high-performance stability. IEEE Trans. Compon. Packag. Manuf. Technol. 2017, 8, 41–49. [Google Scholar] [CrossRef]
- Kern, D.J.; Werner, D.H.; Monorchio, A.; Lanuzza, L.; Wilhelm, M.J. The design synthesis of multiband artificial magnetic conductors using high impedance frequency selective surfaces. IEEE Trans. Antennas Propag. 2005, 53, 8–17. [Google Scholar] [CrossRef]
- Gianvittorio, J.P.; Romeu, J.; Blanch, S.; Rahmat-Samii, Y. Self-similar prefractal frequency selective surfaces for multiband and dual-polarized applications. IEEE Trans. Antennas Propag. 2003, 51, 3088–3096. [Google Scholar] [CrossRef]
- Panwar, R.; Lee, J.R. Progress in frequency selective surface-based smart electromagnetic structures: A critical review. Aerosp. Sci. Technol. 2017, 66, 216–234. [Google Scholar] [CrossRef]
- Abdulkarim, Y.I.; Xiao, M.; Awl, H.N.; Muhammadsharif, F.F.; Lang, T.; Saeed, S.R.; Alkurt, F.Ö.; Bakır, M.; Karaaslan, M.; Dong, J. Simulation and lithographic fabrication of a triple band terahertz metamaterial absorber coated on flexible polyethylene terephthalate substrate. Opt. Mater. Express 2022, 12, 338. [Google Scholar] [CrossRef]
- Dong, J.; Ding, C.; Mo, J. A Low-Profile Wideband Linear-to-Circular Polarization Conversion Slot Antenna Using Metasurface. Materials 2020, 13, 1164. [Google Scholar] [CrossRef]
- Langley, R.J.; Parker, E.A. Equivalent circuit model for arrays of square loops. Electron. Lett. 1982, 18, 294–296. [Google Scholar] [CrossRef]
- Lee, C.K.; Langley, R. Equivalent-circuit models for frequency-selective surfaces at oblique angles of incidence. In IEE Proceedings H (Microwaves, Antennas and Propagation); IET Digital Library: London, UK, 1985; Volume 132, pp. 395–399. [Google Scholar]
- Mesa, F.; Rodriguez-Berral, R.; Garcia-Vigueras, M.; Medina, F. Efficient hybrid full-wave/circuital approach for stacks of frequency selective surfaces. IEEE Antennas Wirel. Propag. Lett. 2018, 17, 1925–1929. [Google Scholar] [CrossRef]
- Rashid, A.K.; Zhang, Q. Low-cost terahertz three-dimensional frequency selective structure: Efficient analysis and characterization. IEEE Trans. Terahertz Sci. Technol. 2019, 10, 1–8. [Google Scholar] [CrossRef]
- Dong, J.; Ma, Y.; Li, Z.; Mo, J. A Miniaturized Quad-Stopband Frequency Selective Surface with Convoluted and Interdigitated Stripe Based on Equivalent Circuit Model Analysis. Micromachines 2021, 12, 1027. [Google Scholar] [CrossRef]
- Liu, T.; Kim, S.S. Design of wide-bandwidth electromagnetic wave absorbers using the inductance and capacitance of a square loop-frequency selective surface calculated from an equivalent circuit model. Opt. Commun. 2016, 359, 372–377. [Google Scholar] [CrossRef]
- Mittra, R.; Chan, C.H.; Cwik, T. Techniques for analyzing frequency selective surfaces-a review. Proc. IEEE 1988, 76, 1593–1615. [Google Scholar] [CrossRef]
- Costa, F.; Monorchio, A.; Manara, G. Analysis and design of ultra thin electromagnetic absorbers comprising resistively loaded high impedance surfaces. IEEE Trans. Antennas Propag. 2010, 58, 1551–1558. [Google Scholar] [CrossRef]
- Zadeh, A.K.; Karlsson, A. Capacitive circuit method for fast and efficient design of wideband radar absorbers. IEEE Trans. Antennas Propag. 2009, 57, 2307–2314. [Google Scholar] [CrossRef]
- Wei, P.S.; Chiu, C.N.; Wu, T.L. Design and analysis of an ultraminiaturized frequency selective surface with two arbitrary stopbands. IEEE Trans. Electromagn. Compat. 2018, 61, 1447–1456. [Google Scholar] [CrossRef]
- Thummaluru, S.R.; Kumar, R.; Chaudhary, R.K. Isolation Enhancement and Radar Cross Section Reduction of MIMO Antenna With Frequency Selective Surface. IEEE Trans. Antennas Propag. 2018, 66, 1595–1600. [Google Scholar] [CrossRef]
- Chen, Q.; Yang, S.; Bai, J.; Fu, Y. Design of absorptive/transmissive frequency-selective surface based on parallel resonance. IEEE Trans. Antennas Propag. 2017, 65, 4897–4902. [Google Scholar] [CrossRef]
- Luukkonen, O. Artificial Impedance Surfaces. Tkk Radio Science and Engineering Publications Report R. 2009. Available online: https://aaltodoc.aalto.fi/handle/123456789/4722 (accessed on 4 November 2009).
- Firouzfar, A.; Afsahi, M.; Orouji, A.A. Novel, straightforward procedure to design square loop frequency selective surfaces based on equivalent circuit model. AEU-Int. J. Electron. Commun. 2020, 119, 153164. [Google Scholar] [CrossRef]
- Costa, F.; Monorchio, A.; Manara, G. Efficient Analysis of Frequency-Selective Surfaces by a Simple Equivalent-Circuit Model. IEEE Antennas Propag. Mag. 2012, 54, 35–48. [Google Scholar] [CrossRef]
- Xu, Y.; He, M. Design of multilayer frequency-selective surfaces by equivalent circuit method and basic building blocks. Int. J. Antennas Propag. 2019, 2019, 9582564. [Google Scholar] [CrossRef]
- Weile, D.S.; Michielssen, E. The use of domain decomposition genetic algorithms exploiting model reduction for the design of frequency selective surfaces. Comput. Methods Appl. Mech. Eng. 2000, 186, 439–458. [Google Scholar] [CrossRef]
- Bossard, J.A.; Werner, D.H.; Mayer, T.S.; Drupp, R.P. A novel design methodology for reconfigurable frequency selective surfaces using genetic algorithms. IEEE Trans. Antennas Propag. 2005, 53, 1390–1400. [Google Scholar] [CrossRef]
- Araújo, G.L.R.; Campos, A.L.; de Medeiros Martins, A. Improvement of the equivalent circuit method for analysis of frequency selective surfaces using genetic algorithms and rational algebraic models. Prog. Electromagn. Res. Lett. 2015, 55, 67–74. [Google Scholar] [CrossRef]
- Lalbakhsh, A.; Afzal, M.U.; Esselle, K.P.; Zeb, B.A. Multi-objective particle swarm optimization for the realization of a low profile bandpass frequency selective surface. In Proceedings of the 2015 IEEE International Symposium on Antennas and Propagation (ISAP), Hobart, TAS, Australia, 9–12 November 2015; pp. 1–4. [Google Scholar]
- Duan, B.; Zhang, J.; Wang, P.; Wang, G.; Wang, T. Design and preparation of an ultrathin broadband metamaterial absorber with a magnetic substrate based on genetic algorithm. J. Magn. Magn. Mater. 2020, 501, 166439. [Google Scholar] [CrossRef]
- Yilmaz, A.E.; Kuzuoglu, M. Design of the Square Loop Frequency Selective Surfaces with Particle Swarm Optimization via the Equivalent Circuit Model. Radioengineering 2009, 18. Available online: https://www.radioeng.cz/fulltexts/2009/09_02_095_102.pdf (accessed on 22 June 2009).
- Liu, T.; Kim, S.S. Design of ultra wide-bandwidth double-layer electromagnetic wave absorbers with square-loop frequency selective surfaces. Microw. Opt. Technol. Lett. 2018, 60, 2013–2018. [Google Scholar] [CrossRef]
- Barrera, M.A.R.; Carpes, W.P. Bandwidth for the equivalent Circuit Model in Square-loop frequency selective surfaces. IEEE Trans. Antennas Propag. 2017, 65, 5932–5939. [Google Scholar] [CrossRef]
- Xu, G.; Hum, S.V.; Eleftheriades, G.V. A technique for designing multilayer multistopband frequency selective surfaces. IEEE Trans. Antennas Propag. 2017, 66, 780–789. [Google Scholar] [CrossRef]
- Gopal, V.E.; Prasad, M.; Ravi, V. A fast and elitist multiobjective genetic algorithm: NSGA-II. IEEE Trans. Evol. Comput. 2010, 6, 182–197. [Google Scholar]
- Hamid, S.; Karnbach, B.; Shakhtour, H.; Heberling, D. Thin multilayer frequency selective surface absorber with wide absorption response. In Proceedings of the 2015 IEEE Loughborough Antennas & Propagation Conference (LAPC), Loughborough, UK, 2–3 November 2015; pp. 1–5. [Google Scholar]











| h | p | ||||
|---|---|---|---|---|---|
| 0.25 | 6 | 5 | 0.24 | 2.25 | 0.1 |
| Optimization Approach | Numbers of EM Simulation | CPU Time/h | |
|---|---|---|---|
| Total | Relative (%) | ||
| MOPSO | 2040 | 40.78 | 82.01% |
| NSGAII | 2200 | 60.70 | 100% |
| Parameters | Optimization Approach | ||
|---|---|---|---|
| Parameter Sweep | MOPSO | NSGAII | |
| 5.5 | 5.50 | 5.49 | |
| 0.25 | 0.21 | 0.20 | |
| 3 | 3.28 | 3.00 | |
| 0.5 | 0.62 | 0.50 | |
| nH | pF | nH | pF | nH | pF | nH |
| 6 | 0.25 | 4.3 | 3 | 5.8 | 2.5 | 4.5 | 3.5 |
Publisher’s Note: MDPI stays neutral with regard to jurisdictional claims in published maps and institutional affiliations. |
© 2022 by the authors. Licensee MDPI, Basel, Switzerland. This article is an open access article distributed under the terms and conditions of the Creative Commons Attribution (CC BY) license (https://creativecommons.org/licenses/by/4.0/).
Share and Cite
Pan, Y.; Dong, J.; Wang, M. Equivalent Circuit-Assisted Multi-Objective Particle Swarm Optimization for Accelerated Reverse Design of Multi-Layer Frequency Selective Surface. Nanomaterials 2022, 12, 3846. https://doi.org/10.3390/nano12213846
Pan Y, Dong J, Wang M. Equivalent Circuit-Assisted Multi-Objective Particle Swarm Optimization for Accelerated Reverse Design of Multi-Layer Frequency Selective Surface. Nanomaterials. 2022; 12(21):3846. https://doi.org/10.3390/nano12213846
Chicago/Turabian StylePan, Yaxi, Jian Dong, and Meng Wang. 2022. "Equivalent Circuit-Assisted Multi-Objective Particle Swarm Optimization for Accelerated Reverse Design of Multi-Layer Frequency Selective Surface" Nanomaterials 12, no. 21: 3846. https://doi.org/10.3390/nano12213846
APA StylePan, Y., Dong, J., & Wang, M. (2022). Equivalent Circuit-Assisted Multi-Objective Particle Swarm Optimization for Accelerated Reverse Design of Multi-Layer Frequency Selective Surface. Nanomaterials, 12(21), 3846. https://doi.org/10.3390/nano12213846

