Photocatalytic Hydrogen Production from Glycerol Aqueous Solutions as Sustainable Feedstocks Using Zr-Based UiO-66 Materials under Simulated Sunlight Irradiation
Abstract
1. Introduction
2. Materials and Methods
2.1. Materials
2.2. Synthesis and Characterization of the MOF-Based Materials
2.3. Photocatalytic Hydrogen Generation from Glycerol Aqueous Solution
3. Results and Discussion
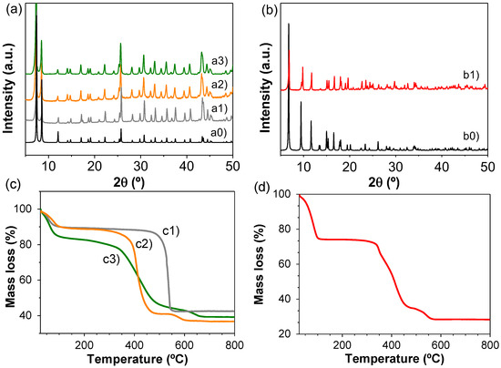
3.1. Photocatalyst Preparation and Characterization
3.2. Photocatalytic Results
3.3. Reaction Mechanism
4. Conclusions
Supplementary Materials
Author Contributions
Funding
Informed Consent Statement
Data Availability Statement
Conflicts of Interest
References
- Bosa, K.; Gupta, J. Stranded assets and stranded resources: Implications for climate change mitigation and global sustainable development. Energy Res. Soc. Sci. 2019, 56, 101215. [Google Scholar] [CrossRef]
- Paraschiv, S.; Paraschiv, L.S. Trends of carbon dioxide (CO2) emissions from fossil fuels combustion (coal, gas and oil) in the EU member states from 1960 to 2018. Energy Rep. 2020, 6, 237–242. [Google Scholar] [CrossRef]
- Shahnazi, R.; Shabani, Z.D. The effects of renewable energy, spatial spillover of CO2 emissions and economic freedom on CO2 emissions in the EU. Renew. Energy 2021, 169, 293–307. [Google Scholar] [CrossRef]
- Friedlingstein, P.; O’Sullivan, M.; Jones, M.W.; Andrew, R.M.; Hauck, J.; Olsen, A.P.; Peters, G.P.; Peters, W.; Pongratz, J.; Sitch, S.; et al. Global Carbon Budget. Earth Syst. Sci. Data 2020, 12, 3269–3340. [Google Scholar] [CrossRef]
- Radovanović, M.; Filipović, S.; Vukadinović, S.; Trbojević, M.; Podbregar, I. Decarbonisation of eastern European economies: Monitoring, economic, social and security concerns. Energy Sustain. Soc. 2022, 12, 16. [Google Scholar] [CrossRef]
- Parkinson, B.; Balcombe, P.; Speirs, J.F.; Hawkes, A.D.; Hellgardt, K. Levelized cost of CO2 mitigation from hydrogen production routes. Energy Environ. Sci. 2019, 12, 19–40. [Google Scholar] [CrossRef]
- Parra, D.; Valverde, L.; Pino, F.J.; Patel, M.K. A review on the role, cost and value of hydrogen energy systems for deep decarbonisation. Renew. Sust. Energy Rev. 2019, 101, 279–294. [Google Scholar] [CrossRef]
- Staffell, I.; Scamman, D.; Velazquez Abad, A.; Balcombe, P.; Dodds, P.E.; Ekins, P.; Shah, N.; Ward, K.R. The role of hydrogen and fuel cells in the global energy system. Energ. Environ. Sci. 2019, 12, 463–491. [Google Scholar] [CrossRef]
- Younas, M.; Shafique, S.; Hafeez, A.; Javed, F.; Rehman, F. An Overview of Hydrogen Production: Current Status, Potential, and Challenges. Fuel 2022, 316, 123317. [Google Scholar] [CrossRef]
- Hosseini, S.E.; Wahid, M.A. Hydrogen from solar energy, a clean energy carrier from a sustainable source of energy. Int. J. Energy Res. 2020, 44, 4110–4131. [Google Scholar] [CrossRef]
- Jia, J.; Seitz, L.C.; Benck, J.D.; Huo, Y.; Chen, Y.; Desmond Ng, J.W.; Bilir, T.; Harris, J.S.; Jaramillo, T.F. Solar water splitting by photovoltaic-electrolysis with a solar-to-hydrogen efficiency over 30%. Nat. Commun. 2016, 7, 13237. [Google Scholar] [CrossRef] [PubMed]
- Saba, S.M.; Muller, M.; Robinius, M.; Stolten, D. The investment costs of electrolysis e A comparison of cost studies from the past 30 years. Int. J. Hydrog. Energy 2018, 43, 1209–1223. [Google Scholar] [CrossRef]
- Hisatomi, T.; Domen, K. Reaction Systems for Solar Hydrogen Production via Water Splitting with Particulate Semiconductor Photocatalyst. Nat. Catal. 2019, 2, 387–399. [Google Scholar] [CrossRef]
- Kim, J.; Hansora, D.; Sharma, P.; Jang, J.-W.; Lee, J.S. Toward Practical Solar Hydrogen Production—An Artificial Photosynthetic Leaf-To-Farm Challenge. Chem. Soc. Rev. 2019, 48, 1908–1971. [Google Scholar] [CrossRef] [PubMed]
- Nishiyama, H.; Yamada, T.; Nakabayashi, M.; Maehara, Y.Y.; Yamaguchi, M.; Kuromiya, Y.; Nagatsuma, Y.; Tokudome, H.; Akiyama, S.; Watanabe, T.; et al. Photocatalytic solar hydrogen production from water on a 100-m2 scale. Nature 2021, 598, 304–307. [Google Scholar] [CrossRef] [PubMed]
- Wang, Q.; Domen, K. Particulate Photocatalysts for Light-Driven Water Splitting: Mechanisms, Challenges, and Design Strategies. Chem. Rev. 2020, 120, 919–985. [Google Scholar] [CrossRef]
- Férey, G.; Mellot-Draznieks, C.; Serre, C.; Millange, F.; Dutour, J.; Surblé, S.; Margiolaki, I. A chromium terephthalate-based solid with unusually large pore volumes and surface area. Science 2005, 23, 2040–2042. [Google Scholar] [CrossRef]
- Furukawa, H.; Cordova, K.E.; O’Keeffe, M.; Yaghi, O.M. The Chemistry and Applications of Metal-Organic Frameworks. Science 2013, 341, 1230444. [Google Scholar] [CrossRef]
- Kitagawa, S.; Kitaura, R.; Noro, S.-I. Functional Porous Coordination Polymers. Angew. Chem. Int. Ed. 2004, 43, 2334–2375. [Google Scholar] [CrossRef]
- Dhakshinamoorthy, A.; Asiri, A.M.; García, H. Metal-Organic Framework (MOF) Compounds: Photocatalysts for Redox Reactions and Solar Fuel Production. Angew. Chem. Int. Ed. 2016, 55, 5414–5445. [Google Scholar] [CrossRef]
- Qiu, J.; Zhang, X.; Feng, Y.; Zhang, X.; Wang, H.; Yao, J. Modified metal-organic frameworks as photocatalysts. Appl. Catal. B. Environ. 2018, 231, 317–342. [Google Scholar] [CrossRef]
- Swetha, S.; Janani, B.; Khan, S.S. A critical review on the development of metal-organic frameworks for boosting photocatalysis in the fields of energy and environment. J. Clean. Prod. 2022, 333, 130164. [Google Scholar] [CrossRef]
- Yoon, J.-W.; Kim, J.-H.; Kim, C.; Jang, H.W.; Lee, J.-H. MOF-Based Hybrids for Solar Fuel Production. Adv. Energy Mater. 2021, 11, 2003052. [Google Scholar] [CrossRef]
- Nguyen, H.L. Metal–Organic Frameworks for Photocatalytic Water Splitting. Sol. RRL 2021, 5, 2100198. [Google Scholar] [CrossRef]
- Nguyen, H.L. Metal–Organic Frameworks Can Photocatalytically Split Water—Why Not? Adv. Mater. 2022, 34, 2200465. [Google Scholar] [CrossRef]
- Salcedo-Abraira, P.; Babaryk, A.A.; Montero-Lanzuel, E.; Contreras-Almengor, O.R.; Cabrero-Antonino, M.; Grape, E.S.S.; Willhammar, T.; Navalón, S.; Elkäim, E.; García, H.; et al. A Novel Porous Ti-Squarate as Efficient Photocatalyst in the Overall Water Splitting Reaction under Simulated Sunlight Irradiation. Adv. Mater. 2021, 33, 2106627. [Google Scholar] [CrossRef] [PubMed]
- Tahir, M.; Tasleem, S.; Tahir, B. Recent development in band engineering of binary semiconductor materials for solar driven photocatalytic hydrogen production. Int. J. Hydrogen Energy 2020, 45, 15985–16038. [Google Scholar]
- Hu, E.; Yao, Y.; Cui, Y.; Qian, G. Strategies for the Enhanced Water Splitting Activity over Metal-Organic Frameworks-Based Electrocatalysts and Photocatalysts. Mater. Today Nano 2021, 15, 100124. [Google Scholar]
- Luo, H.; Zeng, Z.; Zeng, G.; Zhang, C.; Xiao, R.; Huang, D.; Lai, C.; Cheng, M.; Wang, W.; Xiong, W.; et al. Recent Progress on Metal-Organic Frameworks based- and Derived- Photocatalysts for Water Splitting. Chem. Eng. J. 2020, 383, 123196. [Google Scholar]
- Meyer, K.; Ranocchiari, M.; van Bokhoven, J.A. Metal Organic Frameworks for Photo-Catalytic Water Splitting. Energy Environ. Sci. 2015, 8, 1923–1937. [Google Scholar] [CrossRef]
- Song, F.; Li, W.; Sun, Y. Metal–Organic Frameworks and Their Derivatives for Photocatalytic Water Splitting. Inorganics 2017, 5, 40. [Google Scholar] [CrossRef]
- Wang, W.; Xu, X.; Zhou, W.; Shao, Z. Recent Progress in Metal-Organic Frameworks for Applications in Electrocatalytic and Photocatalytic Water Splitting. Adv. Sci. 2017, 4, 160037. [Google Scholar] [CrossRef] [PubMed]
- Wen, M.; Mori, K.; Kuwahara, Y.; An, T.; Yamashita, H. Design of Single-Site Photocatalyst using Metal-Orgnaic Framework as Matrix. Chem. Asian J. 2018, 13, 1767–1779. [Google Scholar] [CrossRef] [PubMed]
- Xiang, W.; Zhang, Y.; Lin, H.; Liu, C.-j. Nanoparticle/Metal–Organic Framework Composites for Catalytic Applications: Current Status and Perspective. Molecules 2017, 22, 2103. [Google Scholar] [CrossRef]
- Fang, Y.; Ma, Y.; Zheng, M.; Yang, P.; Asiri, A.M.; Wang, X. Metal–Organic Frameworks for Solar Energy Conversion by Photoredox Catalysis. Coord. Chem. Rev. 2018, 373, 83–115. [Google Scholar] [CrossRef]
- Jaryal, R.; Kumar, R.; Khullar, S. Mixed Metal-Metal Organic Frameworks (MM-MOFs) and Their Use as Efficient Photocatalysts for Hydrogen Evolution from Water Splitting Reactions. Coord. Chem. Rev. 2022, 464, 214542. [Google Scholar] [CrossRef]
- Reddy, D.A.; Kim, Y.; Gopannagari, M.; Kumar, D.P.; Kim, T.K. Recent Advances in Metal-Organic Framework-Based Photocatalysts for Hydrogen Production. Sustain. Energy Fuels 2021, 5, 1597–1618. [Google Scholar] [CrossRef]
- Wang, Y.-C.; Liu, X.-Y.; Wang, X.-X.; Cao, M.-S. Metal-Organic Frameworks Based Photocatalysts: Architecture Strategies for Efficient Solar Energy Conversion. Chem. Eng. J. 2021, 419, 129459. [Google Scholar] [CrossRef]
- Zhang, X.; Tong, S.; Huang, D.; Liu, Z.; Shao, B.; Liang, Q.; Wu, T.; Pan, Y.; Huang, J.; Liu, Y.; et al. Recent Advances of Zr based Metal Organic Frameworks Photocatalysis: Energy Production and Environmental Remediation. Coord. Chem. Rev. 2021, 448, 214177. [Google Scholar] [CrossRef]
- Shi, Y.; Yang, A.-F.; Cao, C.-S.; Zhao, B. Applications of MOFs: Recent Advances in Photocatalytic Hydrogen Production from Water. Coord. Chem. Rev. 2019, 390, 50–75. [Google Scholar] [CrossRef]
- Seadira, T.; Sadanandam, G.; Ntho, T.A.; Lu, X.M.; Masuku, C.M.; Scurrell, M. Hydrogen production from glycerol reforming: Conventional and green production. Rev. Chem. Eng. 2017, 34, 695–726. [Google Scholar] [CrossRef]
- Rumayor, M.; Corredor, J.; Rivero, M.J.; Ortiz, I. Prospective life cycle assessment of hydrogen production by waste photoreforming. J. Clean. Prod. 2022, 336, 130430. [Google Scholar] [CrossRef]
- Estahbanati, M.R.K.; Feilizadeh, M.; Attar, F.; Iliuta, M.C. Current developments and future trends in photocatalytic glycerol valorization: Process analysis. React. Chem. Eng. 2021, 6, 197–219. [Google Scholar]
- Raman, A.A.A.; Tan, H.W.; Buthiyappan, A. Two-Step Purification of Glycerol as a Value Added by Product from the Biodiesel Production Process. Front. Chem. 2019, 7, 774. [Google Scholar]
- Puga, A.V. Photocatalytic production of hydrogen from biomass-derived feedstocks. Coord. Chem. Rev. 2016, 315, 1–66. [Google Scholar] [CrossRef]
- Sanwald, K.E.; Berto, T.F.; Eisenreich, W.; Gutiérrez, O.Y.; Lercher, J.A. Catalytic routes and oxidation mechanisms in photoreforming of polyols. J. Catal. 2016, 344, 806–816. [Google Scholar] [CrossRef]
- López-Tenllado, F.J.; Estévez, R.; Hidalgo-Carrillo, J.; López-Fernández, S.; Urbano, F.J.; Marinas, A. Hydrogen photo-production from glycerol on platinum, gold and silver-modified TiO2-USY62 catalysts. Catal. Today 2022, 390, 92–98. [Google Scholar]
- Martínez, F.M.; Albiter, E.; Alfaro, S.; Luna, A.L.; Colbeau-Justin, C.; Barrera-Andrade, J.M.; Remita, H.; Valenzuela, M.A. Hydrogen Production from Glycerol Photoreforming on TiO2/HKUST-1 Composites: Effect of Preparation Method. Catalysts 2019, 9, 338. [Google Scholar]
- Melillo, A.; García-Vallés, C.; Ferrer, B.; Álvaro, M.; Navalón, S.; García, H. Bifunctional Metal-Organic Frameworks for Hydrogenation of Nitrophenol using Methanol as Hydrogen Source. Org. Biomol. Chem. 2021, 19, 794–800. [Google Scholar]
- Shearer, G.C.; Chavan, S.; Bordiga, S.; Svelle, S.; Olsbye, U.; Lillerud, K.P. Defect Engineering: Tuning the Porosity and Composition of the Metal−Organic Framework UiO-66 via Modulated Synthesis. Chem. Mater. 2016, 28, 3749–3761. [Google Scholar]
- Liu, H.; Cheng, M.; Liu, Y.; Zhang, G.; Li, L.; Du, L.; Li, B.; Xiao, S.; Wang, G.; Yang, X. Modified UiO-66 as Photocatalysts for Boosting the Carbon-Neutral Energy Cycle and Solving Environmental Remediation Issues. Coord. Chem. Rev. 2022, 458, 214428. [Google Scholar] [CrossRef]
- Sun, D.; Li, Z. Robust Ti- and Zr-Based Metal-Organic Frameworks for Photocatalysis. Chin. J. Chem. 2017, 35, 135–147. [Google Scholar] [CrossRef]
- Musho, T.; Li, J.; Wu, N. Band gap modulation of functionalized metal–organic frameworks. Phys. Chem. Chem. Phys. 2014, 16, 23646–23653. [Google Scholar] [CrossRef]
- Vermoortele, F.; Vandichel, M.; de Voorde, B.V.; Ameloot, R.; Waroquier, M.; Speybroeck, V.; De Vos, D.E. Electronic Effects of Linker Substitution on Lewis Acid Catalysis with Metal–Organic Frameworks. Angew. Chem. Int. Ed. 2012, 51, 4887–4890. [Google Scholar] [CrossRef] [PubMed]
- Al-Azri, Z.H.N.; Chena, W.-T.; Chan, A.; Jovic, V.; Ina, T.; Idriss, H.; Waterhouse, G.I.N. The roles of metal co-catalysts and reaction media in photocatalytic hydrogen production: Performance evaluation of M/TiO2 photocatalysts (M = Pd, Pt, Au) in different alcohol–water mixtures. J. Catal. 2015, 329, 355–367. [Google Scholar] [CrossRef]
- Chen, Y.-F.; Tan, L.-L.; Liu, J.-M.; Qin, S.; Xie, Z.-Q.; Huang, J.-F.; Xu, Y.-W.; Xiao, L.-M.; Su, C.-Y. Calix[4]Arene Based Dye-Sensitized Pt@Uio-66-NH2 metal-Organicframework for Efficient Visible-Light Photocatalytic Hydrogenproduction. Appl. Catal. B Environ. 2017, 206, 426–433. [Google Scholar] [CrossRef]
- Wang, X.; Zhang, W.; Li, R.; Han, J.; Guo, J.; Liu, B. Platinum nanoparticles decorated and titanium incorporated with NH2-UiO-66 for photocatalytic hydrogen production. React. Kinet. Mech. Catal. 2020, 129, 505–518. [Google Scholar] [CrossRef]
- Xiao, J.-D.; Shang, Q.; Xiong, Y.; Zhang, Q.; Luo, Y.; Yu, S.-H.; Jiang, H.-L. Boosting Photocatalytic Hydrogen Production of a Metal–Organic Framework Decorated with Platinum Nanoparticles: The Platinum Location Matters. Angew. Chem. Int. Ed. 2016, 55, 9389–9393. [Google Scholar] [CrossRef]












| BET Surface Area (m2/g) | Pore Volume (cm3/g) | Average Particle Size and Standard Deviation (nm) a | |
|---|---|---|---|
| UiO-66(Zr) | 650 | 0.23 | 114/92 |
| UiO-66(Zr)-NO2 | 782 | 0.42 | 109/48 |
| UiO-66(Zr)-NH2 | 922 | 0.43 | 366/201 |
| MIL-125(Ti)-NH2 | 1046 | 0.51 | 146/60 |
Publisher’s Note: MDPI stays neutral with regard to jurisdictional claims in published maps and institutional affiliations. |
© 2022 by the authors. Licensee MDPI, Basel, Switzerland. This article is an open access article distributed under the terms and conditions of the Creative Commons Attribution (CC BY) license (https://creativecommons.org/licenses/by/4.0/).
Share and Cite
Rueda-Navarro, C.M.; Ferrer, B.; Baldoví, H.G.; Navalón, S. Photocatalytic Hydrogen Production from Glycerol Aqueous Solutions as Sustainable Feedstocks Using Zr-Based UiO-66 Materials under Simulated Sunlight Irradiation. Nanomaterials 2022, 12, 3808. https://doi.org/10.3390/nano12213808
Rueda-Navarro CM, Ferrer B, Baldoví HG, Navalón S. Photocatalytic Hydrogen Production from Glycerol Aqueous Solutions as Sustainable Feedstocks Using Zr-Based UiO-66 Materials under Simulated Sunlight Irradiation. Nanomaterials. 2022; 12(21):3808. https://doi.org/10.3390/nano12213808
Chicago/Turabian StyleRueda-Navarro, Celia M., Belén Ferrer, Herme G. Baldoví, and Sergio Navalón. 2022. "Photocatalytic Hydrogen Production from Glycerol Aqueous Solutions as Sustainable Feedstocks Using Zr-Based UiO-66 Materials under Simulated Sunlight Irradiation" Nanomaterials 12, no. 21: 3808. https://doi.org/10.3390/nano12213808
APA StyleRueda-Navarro, C. M., Ferrer, B., Baldoví, H. G., & Navalón, S. (2022). Photocatalytic Hydrogen Production from Glycerol Aqueous Solutions as Sustainable Feedstocks Using Zr-Based UiO-66 Materials under Simulated Sunlight Irradiation. Nanomaterials, 12(21), 3808. https://doi.org/10.3390/nano12213808

