A High Refractive Index Plasmonic Micro-Channel Sensor Based on Photonic Crystal Fiber
Abstract
1. Introduction
2. Materials and Methods
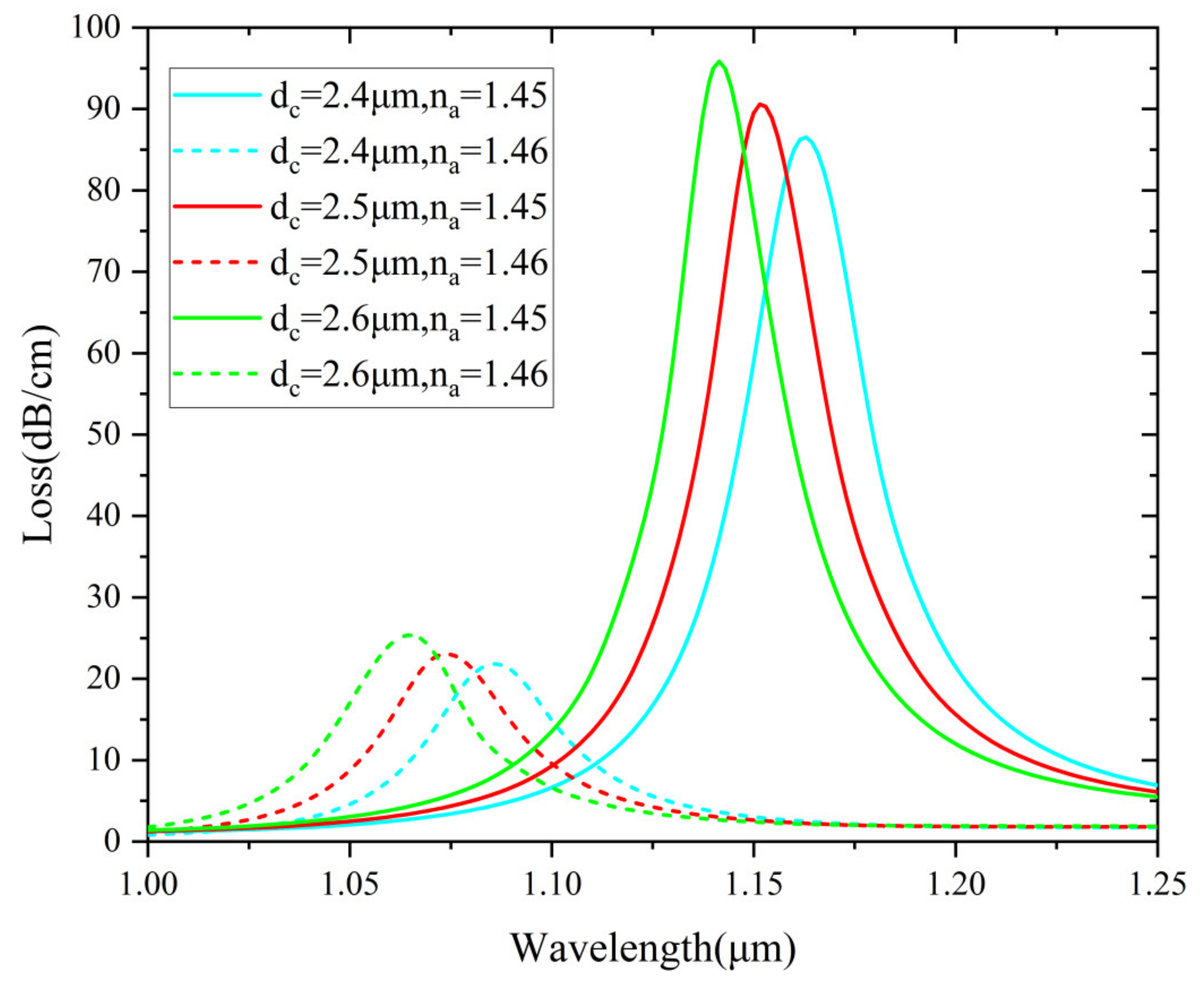
3. Results and Discussion
4. Conclusions
Author Contributions
Funding
Data Availability Statement
Conflicts of Interest
References
- An, G.; Li, S.; Zhang, W.; Fan, Z.; Bao, Y. A polarization filter of gold-filled photonic crystal fiber with regular triangular and rectangular lattices. Opt. Commun. 2014, 331, 316–319. [Google Scholar] [CrossRef]
- Wang, Q.; Zhao, W.M. Optical methods of antibiotic residues detections: A comprehensive review. Sens. Actuators B Chem. 2018, 269, 238–256. [Google Scholar] [CrossRef]
- Singh, S.; Prajapati, Y. Highly sensitive dual-core symmetrical side-polished modified D-shaped SPR based PCF refractive index sensor with deeply etched micro openings. Optik 2021, 235, 166657. [Google Scholar] [CrossRef]
- Wang, Q.; Jing, J.; Wang, B. Highly Sensitive SPR Biosensor Based on Graphene Oxide and Staphylococcal Protein A Co-Modified TFBG for Human IgG Detection. IEEE Trans. Instrum. Meas. 2019, 68, 3350–3357. [Google Scholar] [CrossRef]
- Kretschmann, E.; Raether, H. Radiative decay of nonradiative surface plasmons excited by light. Z. Naturforsch. A. 1968, 23, 2135. [Google Scholar] [CrossRef]
- Yan, X.; Fu, R.; Cheng, T.; Li, S. A highly sensitive refractive index sensor based on a V-shaped photonic crystal fiber with a high refractive index range. Sensors 2021, 21, 3782. [Google Scholar] [CrossRef] [PubMed]
- Cheng, T.; Li, X.; Li, S.; Yan, X.; Zhang, X.; Wang, F. Surface plasmon resonance temperature sensor based on a photonic crystal fiber filled with silver nanowires. App. Opt. 2020, 59, 5108–5113. [Google Scholar] [CrossRef]
- Yan, X.; Wang, Y.; Cheng, T.; Li, S. Photonic crystal fiber SPR liquid sensor based on elliptical detective channel. Micromachines 2021, 12, 408. [Google Scholar] [CrossRef] [PubMed]
- Paul, A.K.; Sarkar, A.K.; Islam, M.H.; Morshed, M. Dual core photonic crystal fiber based surface plasmon resonance biosensor. Optik 2018, 170, 400–408. [Google Scholar] [CrossRef]
- Liang, H.; Shen, T.; Feng, Y.; Liu, H.C.; Han, W. A D-Shaped Photonic Crystal Fiber Refractive Index Sensor Coated with Graphene and Zinc Oxide. Sensors 2021, 21, 71. [Google Scholar] [CrossRef]
- Zha, F.; Li, J.; Sun, P.; Ma, H. Highly sensitive selectively coated D-shape photonic crystal fibers for surface plasmon resonance sensing. Phys. Lett. A 2019, 383, 1825–1830. [Google Scholar] [CrossRef]
- Dash, J.N.; Jha, R. On the performance of graphene-based D-shaped photonic crystal fiber biosensor using surface plasmon resonance. Plasmonics 2015, 10, 1123–1131. [Google Scholar] [CrossRef]
- Liu, Q.; Yan, B.; Liu, J. U-shaped photonic quasi-crystal fiber sensor with high sensitivity based on surface plasmon resonance. Appl. Phys. Express 2019, 12, 052014. [Google Scholar] [CrossRef]
- Tian, M.; Lu, P.; Chen, L.; Lv, C.; Liu, D. All-solid dshaped photonic fiber sensor based on surface plasmon resonance. Opt. Commun. 2012, 285, 1550–1554. [Google Scholar] [CrossRef]
- Hossen, M.N.; Ferdous, M.; Khalek, M.A.; Chakma, S.; Paul, B.K.; Ahmed, K. Design and analysis of biosensor based on surface plasmon resonance. Sens. Bio-Sens. Res. 2018, 21, 1–6. [Google Scholar] [CrossRef]
- An, G.; Hao, X.; Li, S.; Yan, X.; Zhang, X. D-shaped photonic crystal fiber refractive index sensor based on surface plasmon resonance. Appl. Opt. 2017, 56, 6988–6992. [Google Scholar] [CrossRef] [PubMed]
- Liu, B.; Jiang, Y.; Zhu, X.; Tang, X.; Shi, Y. Hollow fiber surface plasmon resonance sensor for the detection of liquid with high refractive index. Opt. Exp. 2013, 21, 32349–32357. [Google Scholar] [CrossRef]
- Luan, N.; Zhao, L.; Lian, Y.; Lou, S. A high refractive index plasmonic sensor based on D-shaped photonic crystal fiber with laterally accessible hollow-core. IEEE Photon. J. 2018, 10, 1–7. [Google Scholar] [CrossRef]
- Paul, A.K.; Sarkar, A.K.; Khaleque, A. Dual-Core Photonic Crystal Fiber Plasmonic Refractive Index Sensor: A Numerical Analysis. Photonic Sens. 2019, 9, 151–161. [Google Scholar] [CrossRef]
- Ghahramani, S.; Barvestani, J.; Meshginqalam, B. High-performance opening-up dual-core photonic crystal fiber sensors based on surface plasmon resonance. Plasmonics 2021, 17, 181–191. [Google Scholar] [CrossRef]
- Akowuah, E.K.; Gorman, T.; Ademgil, H.; Haxha, S.; Robinson, G.K.; Oliver, J. Numerical Analysis of a Photonic Crystal Fiber for Biosensing Applications. IEEE J. Quantum Electron. 2012, 48, 1403–1410. [Google Scholar] [CrossRef]
- Guo, X.; Han, L.; Liu, F.; Li, S. Refractive index sensing characteristics of dual-core PCF based on surface plasmon resonance. Opt. Int. J. Light Electron. Opt. 2020, 218, 164796. [Google Scholar] [CrossRef]
- Wu, J.; Li, S.; Shi, M.; Feng, X. Photonic crystal fiber temperature sensor with high sensitivity based on surface plasmon resonance. Opt. Fiber Technol. 2018, 43, 90–94. [Google Scholar] [CrossRef]
- Rifat, A.A.; Ahmed, R.; Mahdiraji, G.A.; Adikan, F.R.M. Highly Sensitive D-Shaped Photonic Crystal Fiber-Based Plasmonic Biosensor in Visible to Near-IR. IEEE Sens. J. 2017, 17, 2776–2783. [Google Scholar] [CrossRef]
- Danlard, I.; Akowuah, E.K. Assaying with PCF-based SPR refractive index biosensors: From recent configurations to outstanding detection limits. Opt. Fiber Technol. 2020, 54, 102083. [Google Scholar] [CrossRef]
- Hasan, M.R. Spiral Photonic Crystal Fiber-Based Dual-Polarized Surface Plasmon Resonance Biosensor. IEEE Sens. J. 2018, 18, 133–140. [Google Scholar] [CrossRef]
- Lou, J.; Cheng, T.; Li, S.; Zhang, X. Surface plasmon resonance photonic crystal fiber biosensor based on gold-graphene layers. Opt. Fiber Technol. 2019, 50, 206–211. [Google Scholar] [CrossRef]











Publisher’s Note: MDPI stays neutral with regard to jurisdictional claims in published maps and institutional affiliations. |
© 2022 by the authors. Licensee MDPI, Basel, Switzerland. This article is an open access article distributed under the terms and conditions of the Creative Commons Attribution (CC BY) license (https://creativecommons.org/licenses/by/4.0/).
Share and Cite
Lv, J.; Liang, T.; Gu, Q.; Liu, Q.; Ying, Y.; Si, G. A High Refractive Index Plasmonic Micro-Channel Sensor Based on Photonic Crystal Fiber. Nanomaterials 2022, 12, 3764. https://doi.org/10.3390/nano12213764
Lv J, Liang T, Gu Q, Liu Q, Ying Y, Si G. A High Refractive Index Plasmonic Micro-Channel Sensor Based on Photonic Crystal Fiber. Nanomaterials. 2022; 12(21):3764. https://doi.org/10.3390/nano12213764
Chicago/Turabian StyleLv, Jiangtao, Tong Liang, Qiongchan Gu, Qiang Liu, Yu Ying, and Guangyuan Si. 2022. "A High Refractive Index Plasmonic Micro-Channel Sensor Based on Photonic Crystal Fiber" Nanomaterials 12, no. 21: 3764. https://doi.org/10.3390/nano12213764
APA StyleLv, J., Liang, T., Gu, Q., Liu, Q., Ying, Y., & Si, G. (2022). A High Refractive Index Plasmonic Micro-Channel Sensor Based on Photonic Crystal Fiber. Nanomaterials, 12(21), 3764. https://doi.org/10.3390/nano12213764

