Maxwell Nanofluids: FEM Simulation of the Effects of Suction/Injection on the Dynamics of Rotatory Fluid Subjected to Bioconvection, Lorentz, and Coriolis Forces
Abstract
1. Introduction
Research Queries
- What effects do relaxation of the Deborah number, the Coriolis effect, and an applied magnetic field force have on the hydrodynamics of heat flux, fluid viscosity, and concentration level variances using injection/suction?
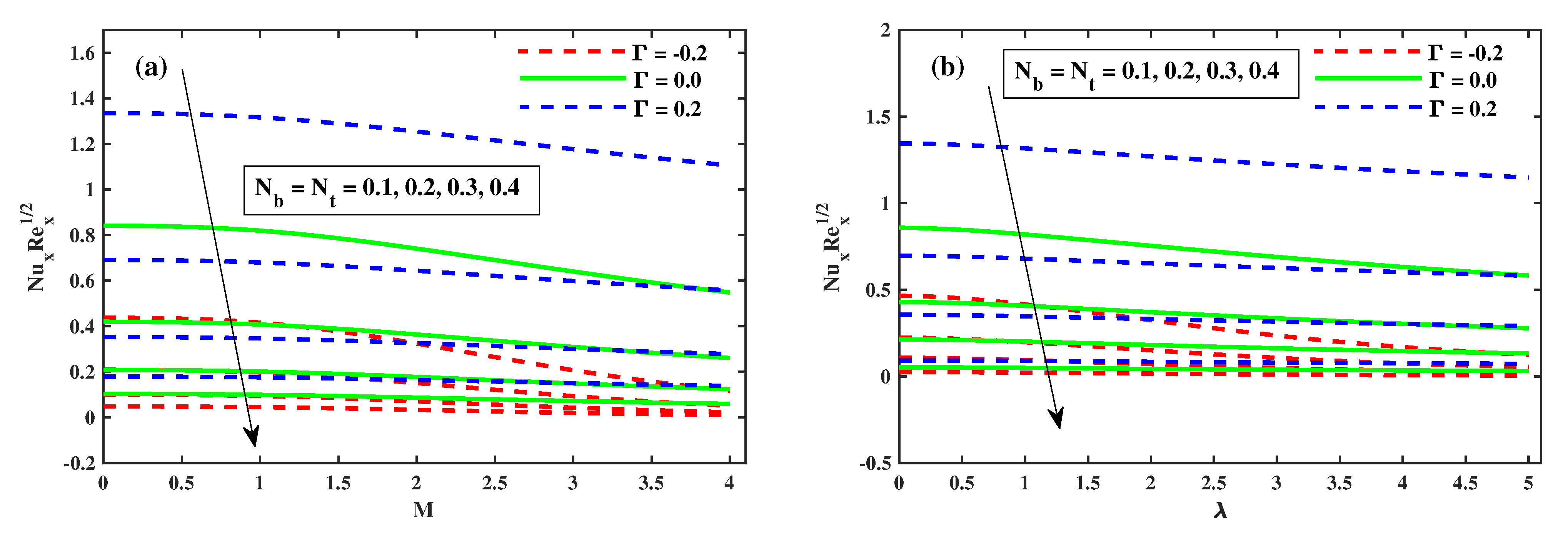
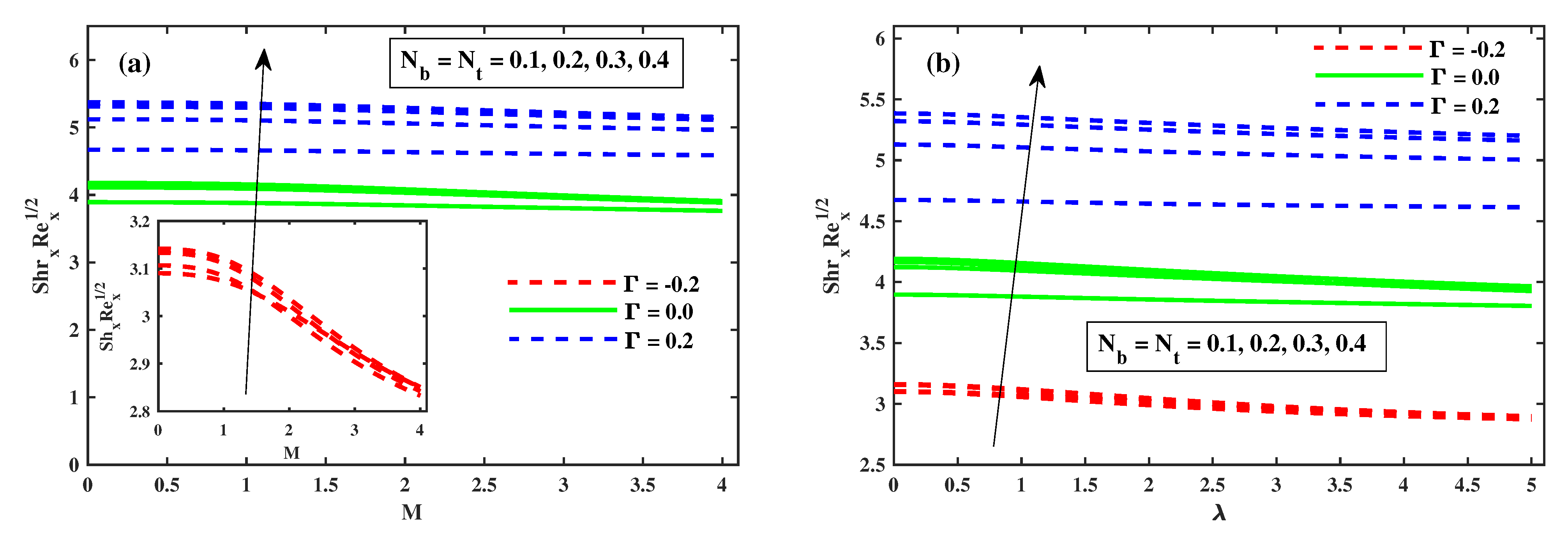
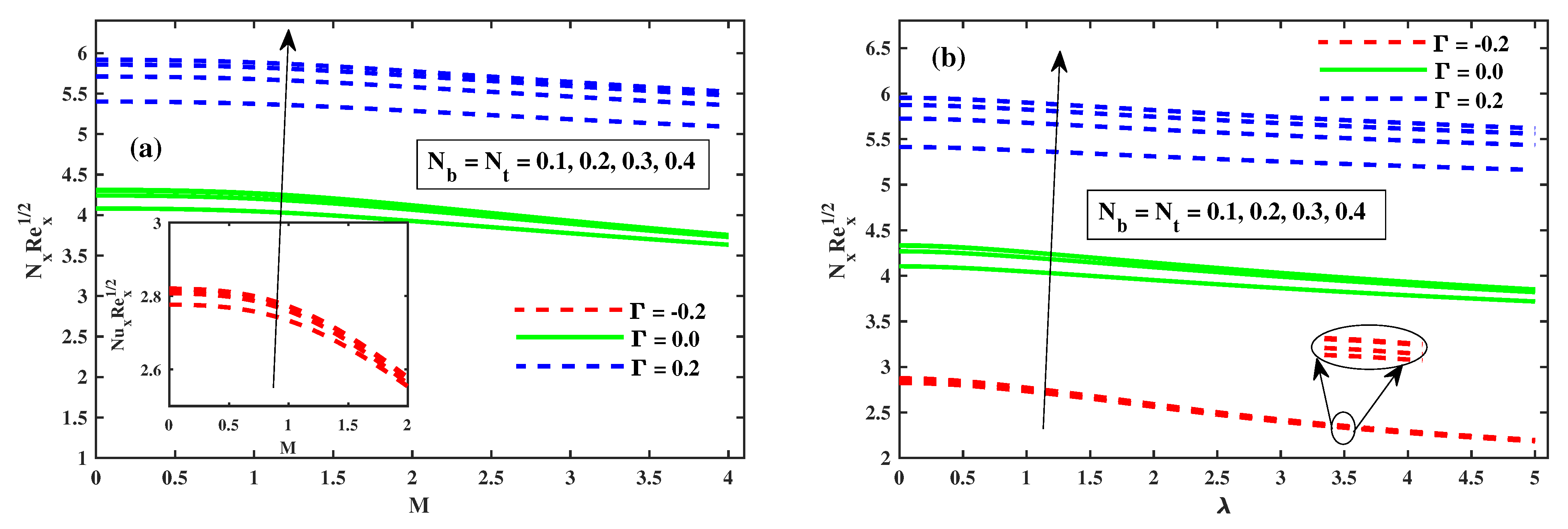
- What impact do Brownian motion and thermophoresis have on heat and mass transfer rates and the skin friction factor for suction/injection?
- How do Brownian motion, the relaxation Deborah number, and time-dependent factors impact on the temperature profile?
- What is the bioconvection impact on the motile dispersal function with suction/injection?
2. Mathematical Geometry
3. Computational Procedure
4. Results and Discussion
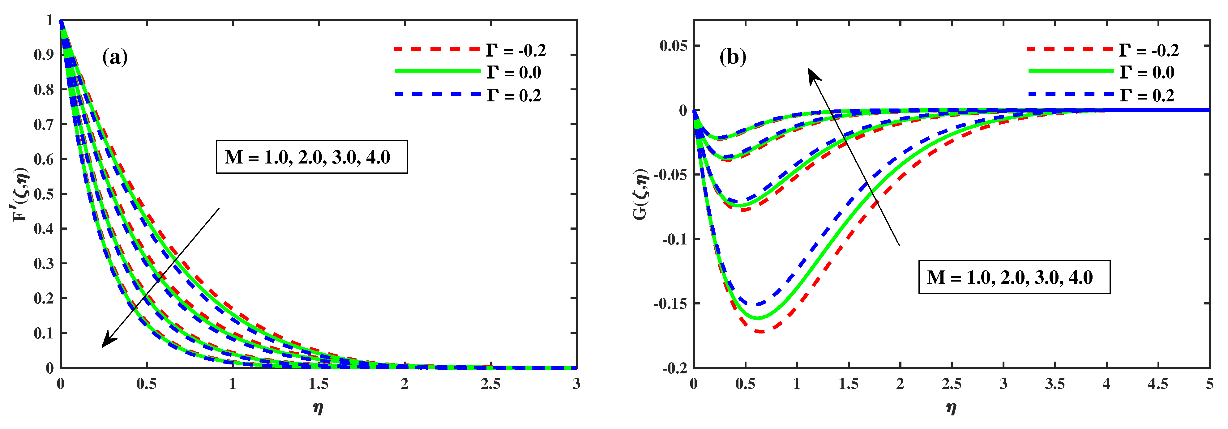
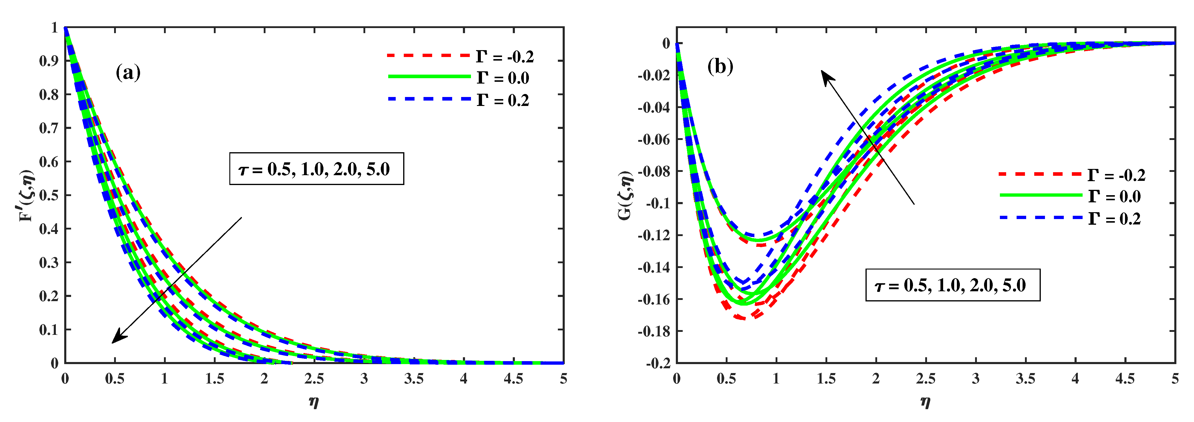
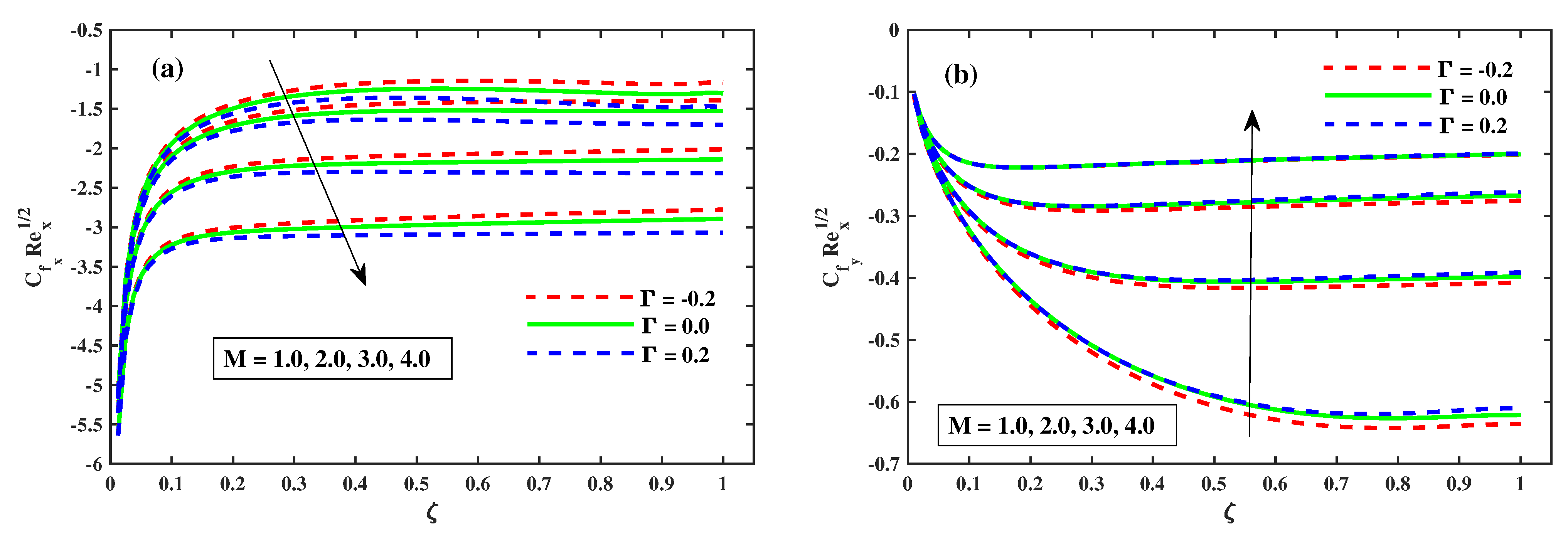
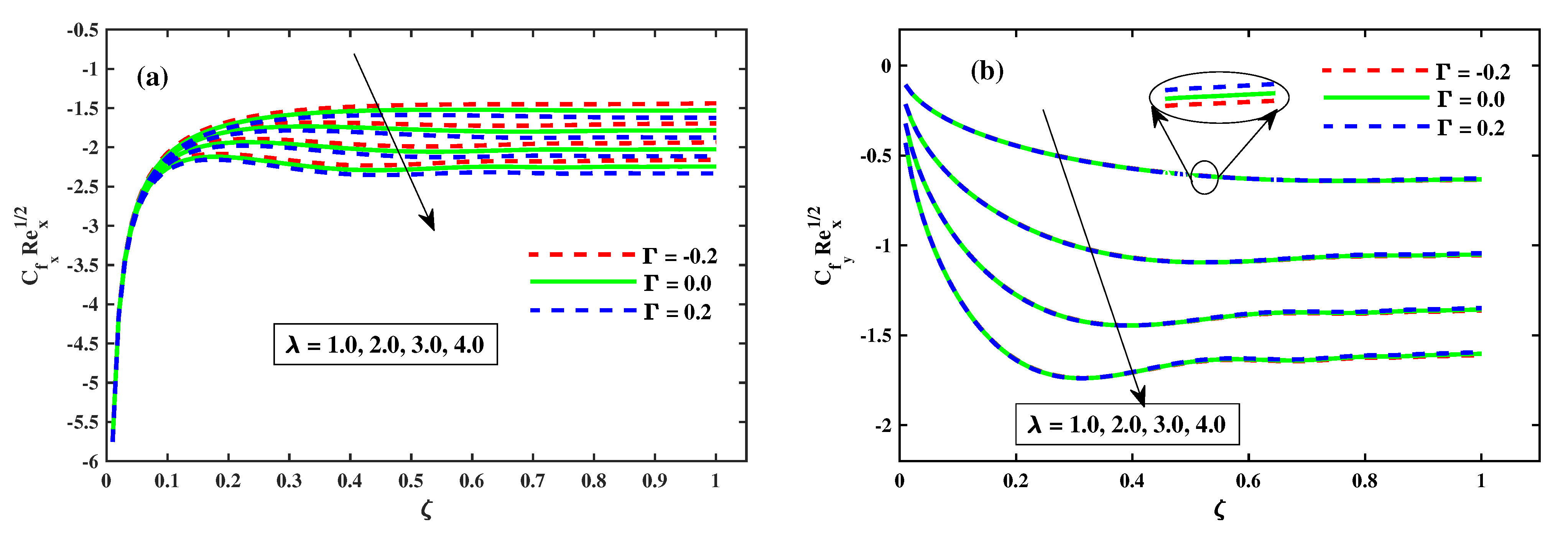
4.1. Variations of Velocity Profiles
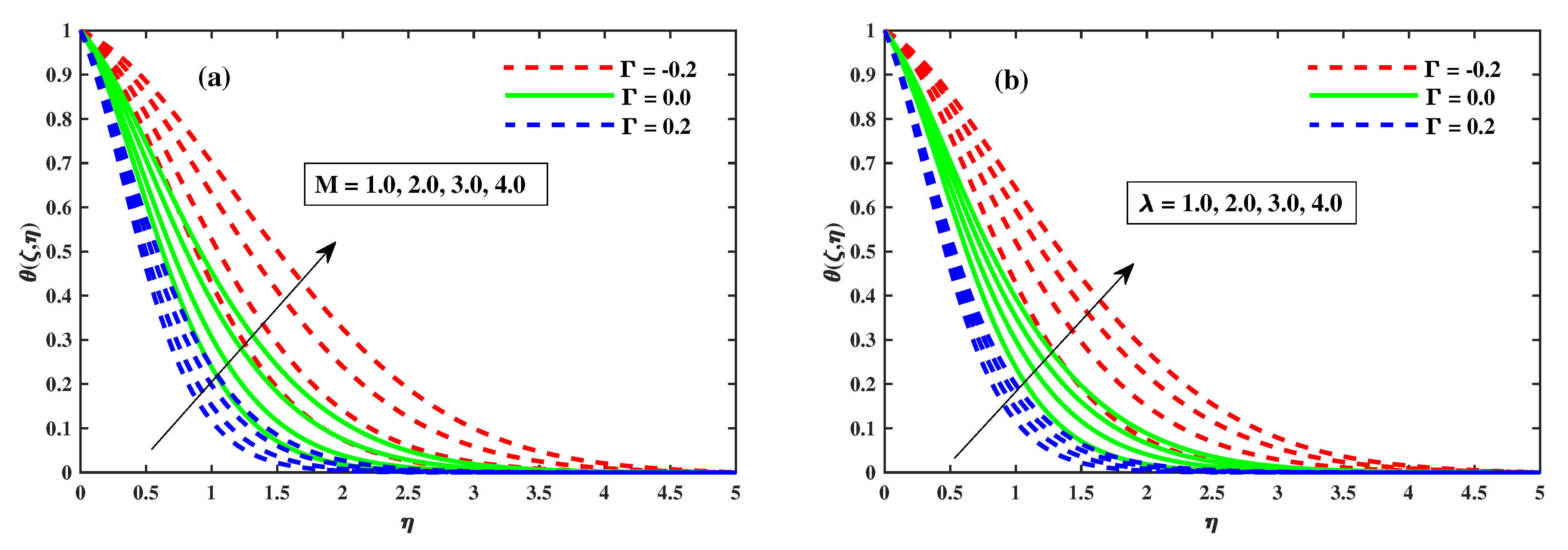
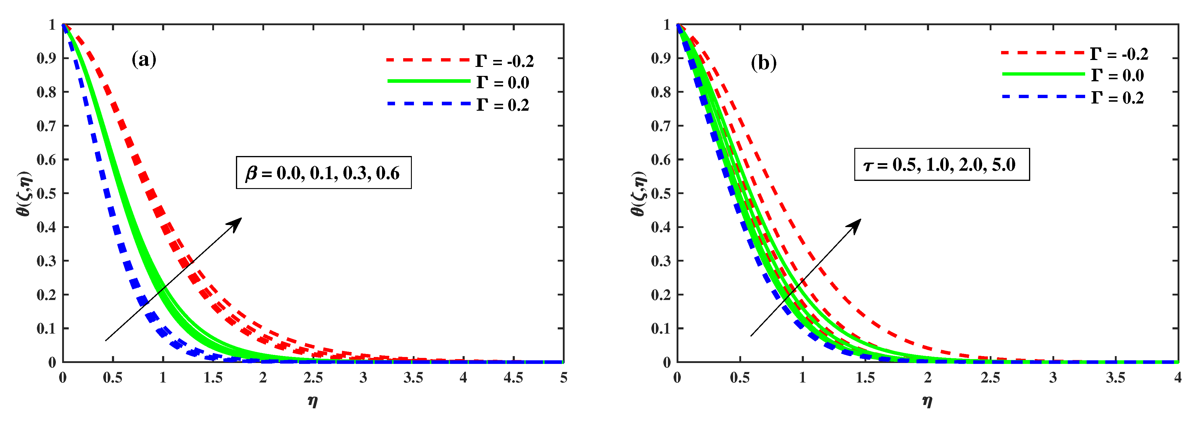
4.2. Temperature Profiles
4.3. Concentration Distributions
5. Concluding Remarks
- Increase in the Coriolis and Lorentz’s forces has a decreasing impact on the velocity magnitude, and
- has a significant influence on the temperature dispersion and concentration.
- intensifies the impact of .
- the Coriolis force causes the transverse momentum to decrease for increasing values of the rotation factor.
- with the infusion capability, the velocity, temperature, and concentration components are reduced.
- It is becoming increasingly evident that the simultaneous enhancement of Brownian and thermophoresis factors has a negative effect on the distribution of temperature, and
- a declining impact on , and positive effects on .
- injection is associated with a larger amount in .
- the injection case has a larger and compared to the suction case.
- the wall thickness of the heat transfer performance increases with increasing rotating parameter.
- Higher input to the relaxation Deborah number and the unsteady parameter has a negative impact on the magnitude of the primary and secondary velocity, but
- has substantial consequences for temperature dispersion.
- for tiny particles, the volume fraction shows rising effects with higher relaxation Deborah number.
- Motile microorganism viscosity reduces in the context of augmented bioconvection Peclet and Lewis numbers
Author Contributions
Funding
Data Availability Statement
Acknowledgments
Conflicts of Interest
Nomenclature
| T | Non-dimensional temperature, K | Temperature at surface, K | |
| Temperature away from the surface, K | Conductivity of fluid | ||
| Thermophoretic dispersion | Velocity, | ||
| Skin friction at x-direction | Specific heat | ||
| Skin friction at y-direction | Magnetic field strength | ||
| Nusselt number | Density of fluid, | ||
| Kinematic viscosity of fluid, | M | Magnetic parameter | |
| Specific heat at constant pressure, | Rotating parameter | ||
| Peclet number | Optimum cell swimming | ||
| Local Reynold number | f | Base fluid | |
| Deborah number | Suction/injection | ||
| Brownian diffusion coefficient | Prandtl number | ||
| Brownian motion parameter | Surface heat flux, | ||
| N | Intensity of microbes | Lewis number | |
| Nanoparticle density | Thermophoresis parameter | ||
| External heat transfer factor | Lewis number |
References
- Ali, R.; Asjad, M.I.; Aldalbahi, A.; Rahimi-Gorji, M.; Rahaman, M. Convective flow of a Maxwell hybrid nanofluid due to pressure gradient in a channel. J. Therm. Anal. Calorim. 2020, 43, 1319–1329. [Google Scholar] [CrossRef]
- Jawad, M.; Saeed, A.; Gul, T. Entropy Generation for MHD Maxwell Nanofluid Flow Past a Porous and Stretching Surface with Dufour and Soret Effects. Braz. J. Phys. 2021, 13, 469–480. [Google Scholar] [CrossRef]
- Jamshed, W. Numerical investigation of MHD impact on maxwell nanofluid. Int. Commun. Heat Mass Transf. 2021, 120, 104973. [Google Scholar] [CrossRef]
- Ali, L.; Ali, B.; Ghori, M.B. Melting effect on Cattaneo–Christov and thermal radiation features for aligned MHD nanofluid flow comprising microorganisms to leading edge: FEM approach. Comput. Math. Appl. 2022, 109, 260–269. [Google Scholar] [CrossRef]
- Pal, D.; Mandal, G. Magnetohydrodynamic nonlinear thermal radiative heat transfer of nanofluids over a flat plate in a porous medium in existence of variable thermal conductivity and chemical reaction. Int. J. Ambient. Energy 2021, 42, 1167–1177. [Google Scholar] [CrossRef]
- Ahmed, A.; Khan, M.; Ahmed, J. Mixed convective flow of Maxwell nanofluid induced by vertically rotating cylinder. Appl. Nanosci. 2020, 10, 5179–5190. [Google Scholar] [CrossRef]
- Pal, D.; Mandal, G. Hydromagnetic convective–radiative boundary layer flow of nanofluids induced by a non-linear vertical stretching/shrinking sheet with viscous–Ohmic dissipation. Powder Technol. 2015, 279, 61–74. [Google Scholar] [CrossRef]
- Ahmad, B.; Ahmad, M.O.; Ali, L.; Ali, B.; Hussein, A.K.; Shah, N.A.; Chung, J.D. Significance of the Coriolis force on the dynamics of Carreau–Yasuda rotating nanofluid subject to Darcy–forchheimer and gyrotactic microorganisms. Mathematics 2022, 10, 2855. [Google Scholar] [CrossRef]
- Ahmed, J.; Khan, M.; Ahmad, L. Stagnation point flow of Maxwell nanofluid over a permeable rotating disk with heat source/sink. J. Mol. Liq. 2019, 287, 110853. [Google Scholar] [CrossRef]
- Bilal, S.; Ur Rehman, K.; Mustafa, Z.; Malik, M. Maxwell nanofluid flow individualities by way of rotating cone. J. Nanofluids 2019, 8, 596–603. [Google Scholar] [CrossRef]
- Amirsom, N.A.; Uddin, M.; Basir, M.F.M.; Ismail, A.; Beg, O.A.; Kadir, A. Three-dimensional bioconvection nanofluid flow from a bi-axial stretching sheet with anisotropic slip. Sains Malays. 2019, 48, 1137–1149. [Google Scholar] [CrossRef]
- Prabhavathi, B.; Reddy, P.S.; Vijaya, R.B. Heat and mass transfer enhancement of SWCNTs and MWCNTs based Maxwell nanofluid flow over a vertical cone with slip effects. Powder Technol. 2018, 340, 253–263. [Google Scholar] [CrossRef]
- Zohra, F.T.; Uddin, M.J.; Ismail, A.I. Magnetohydrodynamic bio-nanoconvective Naiver slip flow of micropolar fluid in a stretchable horizontal channel. Heat Transf. Res. 2019, 48, 3636–3656. [Google Scholar] [CrossRef]
- Pal, D.; Mandal, G. Double diffusive magnetohydrodynamic heat and mass transfer of nanofluids over a nonlinear stretching/shrinking sheet with viscous-Ohmic dissipation and thermal radiation. Propuls. Power Res. 2017, 6, 58–69. [Google Scholar] [CrossRef]
- Ali, B.; Ali, L.; Abdal, S.; Asjad, M.I. Significance of Brownian motion and thermophoresis influence on dynamics of Reiner-Rivlin fluid over a disk with non-Fourier heat flux theory and gyrotactic microorganisms: A Numerical approach. Phys. Scr. 2021, 96, 94001. [Google Scholar] [CrossRef]
- Mandal, G.; Pal, D. Entropy generation analysis of radiated magnetohydrodynamic flow of carbon nanotubes nanofluids with variable conductivity and diffusivity subjected to chemical reaction. J. Nanofluids 2021, 10, 491–505. [Google Scholar] [CrossRef]
- Ali, L.; Liu, X.; Ali, B.; Din, A.; Al Mdallal, Q. The function of nanoparticle’s diameter and Darcy-Forchheimer flow over a cylinder with effect of magnetic field and thermal radiation. Case Stud. Therm. Eng. 2021, 28, 101392. [Google Scholar] [CrossRef]
- Mandal, G. Convective-radiative heat transfer of micropolar nanofluid over a vertical non-linear stretching sheet. J. Nanofluids 2016, 5, 852–860. [Google Scholar] [CrossRef]
- Sreedevi, P.; Reddy, P.S.; Chamkha, A.J. Magneto-hydrodynamics heat and mass transfer analysis of single and multi-wall carbon nanotubes over vertical cone with convective boundary condition. Int. J. Mech. Sci. 2018, 135, 646–655. [Google Scholar] [CrossRef]
- Ali, L.; Liu, X.; Ali, B. Finite Element Analysis of Variable Viscosity Impact on MHD Flow and Heat Transfer of Nanofluid Using the Cattaneo–Christov Model. Coatings 2020, 10, 395. [Google Scholar] [CrossRef]
- Uddin, M.; Kabir, M.; Bég, O.A.; Alginahi, Y. Chebyshev collocation computation of magneto-bioconvection nanofluid flow over a wedge with multiple slips and magnetic induction. Proc. Inst. Mech. Eng. Part N J. Nanomater. Nanoeng. Nanosyst. 2018, 232, 109–122. [Google Scholar] [CrossRef]
- Rout, B.; Mishra, S.; Thumma, T. Effect of viscous dissipation on Cu-water and Cu-kerosene nanofluids of axisymmetric radiative squeezing flow. Heat Transf. Res. 2019, 48, 3039–3054. [Google Scholar] [CrossRef]
- Sheri, S.R.; Thumma, T. Numerical study of heat transfer enhancement in MHD free convection flow over vertical plate utilizing nanofluids. Ain Shams Eng. J. 2018, 9, 1169–1180. [Google Scholar] [CrossRef]
- Thumma, T.; Mishra, S. Effect of viscous dissipation and Joule heating on magnetohydrodynamic Jeffery nanofluid flow with and without multi slip boundary conditions. J. Nanofluids 2018, 7, 516–526. [Google Scholar] [CrossRef]
- Bég, O.A.; Kabir, M.N.; Uddin, M.J.; Izani Md Ismail, A.; Alginahi, Y.M. Numerical investigation of Von Karman swirling bioconvective nanofluid transport from a rotating disk in a porous medium with Stefan blowing and anisotropic slip effects. Proc. Inst. Mech. Eng. Part C J. Mech. Eng. Sci. 2021, 235, 3933–3951. [Google Scholar] [CrossRef]
- Chu, Y.M.; Aziz, S.; Khan, M.I.; Khan, S.U.; Nazeer, M.; Ahmad, I.; Tlili, I. Nonlinear radiative bioconvection flow of Maxwell nanofluid configured by bidirectional oscillatory moving surface with heat generation phenomenon. Phys. Scr. 2020, 95, 105007. [Google Scholar] [CrossRef]
- Sreedevi, P.; Reddy, P.S. Combined influence of Brownian motion and thermophoresis on Maxwell three-dimensional nanofluid flow over stretching sheet with chemical reaction and thermal radiation. J. Porous Media 2020, 4, 23. [Google Scholar] [CrossRef]
- Rao, M.V.S.; Gangadhar, K.; Chamkha, A.J.; Surekha, P. Bioconvection in a Convectional Nanofluid Flow Containing Gyrotactic Microorganisms over an Isothermal Vertical Cone Embedded in a Porous Surface with Chemical Reactive Species. Arab. J. Sci. Eng. 2021, 46, 2493–2503. [Google Scholar] [CrossRef]
- Awais, M.; Awan, S.E.; Raja, M.A.Z.; Parveen, N.; Khan, W.U.; Malik, M.Y.; He, Y. Effects of Variable Transport Properties on Heat and Mass Transfer in MHD Bioconvective Nanofluid Rheology with Gyrotactic Microorganisms: Numerical Approach. Coatings 2021, 11, 231. [Google Scholar] [CrossRef]
- Sreedevi, P.; Sudarsana Reddy, P. Heat and mass transfer analysis of MWCNT-kerosene nanofluid flow over a wedge with thermal radiation. Heat Transf. 2021, 50, 10–33. [Google Scholar] [CrossRef]
- Elayarani, M.; Shanmugapriya, M.; Kumar, P.S. Intensification of heat and mass transfer process in MHD carreau nanofluid flow containing gyrotactic microorganisms. Chem. Eng. Process. Process. Intensif. 2021, 160, 108299. [Google Scholar] [CrossRef]
- Ali, B.; Raju, C.; Ali, L.; Hussain, S.; Kamran, T. G-Jitter impact on magnetohydrodynamic non-Newtonian fluid over an inclined surface: Finite element simulation. Chin. J. Phys. 2021, 71, 479–491. [Google Scholar] [CrossRef]
- Farooq, U.; Waqas, H.; Khan, M.I.; Khan, S.U.; Chu, Y.M.; Kadry, S. Thermally radioactive bioconvection flow of Carreau nanofluid with modified Cattaneo-Christov expressions and exponential space-based heat source. Alex. Eng. J. 2021, 60, 3073–3086. [Google Scholar] [CrossRef]
- Alhussain, Z.A.; Renuka, A.; Muthtamilselvan, M. A magneto-bioconvective and thermal conductivity enhancement in nanofluid flow containing gyrotactic microorganism. Case Stud. Therm. Eng. 2021, 23, 100809. [Google Scholar] [CrossRef]
- Sreedevi, P.; Reddy, P.S. Effect of SWCNTs and MWCNTs Maxwell MHD nanofluid flow between two stretchable rotating disks under convective boundary conditions. Heat Transf. Res. 2019, 48, 4105–4132. [Google Scholar] [CrossRef]
- Ali, L.; Wu, Y.J.; Ali, B.; Abdal, S.; Hussain, S. The crucial features of aggregation in TiO2-water nanofluid aligned of chemically comprising microorganisms: A FEM approach. Comput. Math. Appl. 2022, 123, 241–251. [Google Scholar] [CrossRef]
- Kumar, P.; Poonia, H.; Ali, L.; Areekara, S. The numerical simulation of nanoparticle size and thermal radiation with the magnetic field effect based on tangent hyperbolic nanofluid flow. Case Stud. Therm. Eng. 2022, 37, 102247. [Google Scholar] [CrossRef]
- Sheri, S.R.; Thumma, T. Heat and mass transfer effects on natural convection flow in the presence of volume fraction for copper-water nanofluid. J. Nanofluids 2016, 5, 220–230. [Google Scholar] [CrossRef]
- Ali, L.; Liu, X.; Ali, B.; Mujeed, S.; Abdal, S.; Mutahir, A. The Impact of Nanoparticles Due to Applied Magnetic Dipole in Micropolar Fluid Flow Using the Finite Element Method. Symmetry 2020, 12, 520. [Google Scholar] [CrossRef]
- Ali, B.; Rasool, G.; Hussain, S.; Baleanu, D.; Bano, S. Finite element study of magnetohydrodynamics (MHD) and activation energy in Darcy–Forchheimer rotating flow of Casson Carreau nanofluid. Processes 2020, 8, 1185. [Google Scholar] [CrossRef]
- Abbas, Z.; Javed, T.; Sajid, M.; Ali, N. Unsteady MHD flow and heat transfer on a stretching sheet in a rotating fluid. J. Taiwan Inst. Chem. Eng. 2010, 41, 644–650. [Google Scholar] [CrossRef]
- Babu, M.J.; Sandeep, N. 3D MHD slip flow of a nanofluid over a slendering stretching sheet with thermophoresis and Brownian motion effects. J. Mol. Liq. 2016, 222, 1003–1009. [Google Scholar] [CrossRef]
- Hayat, T.; Muhammad, T.; Shehzad, S.; Alsaedi, A. Three dimensional rotating flow of Maxwell nanofluid. J. Mol. Liq. 2017, 229, 495–500. [Google Scholar] [CrossRef]
- Ali, B.; Hussain, S.; Nie, Y.; Hussein, A.K.; Habib, D. Finite element investigation of Dufour and Soret impacts on MHD rotating flow of Oldroyd-B nanofluid over a stretching sheet with double diffusion Cattaneo Christov heat flux model. Powder Technol. 2021, 377, 439–452. [Google Scholar] [CrossRef]
- Rosali, H.; Ishak, A.; Nazar, R.; Pop, I. Rotating flow over an exponentially shrinking sheet with suction. J. Mol. Liq. 2015, 211, 965–969. [Google Scholar] [CrossRef]
- Ali, B.; Hussain, S.; Nie, Y.; Ali, L.; Hassan, S.U. Finite element simulation of bioconvection and cattaneo-Christov effects on micropolar based nanofluid flow over a vertically stretching sheet. Chin. J. Phys. 2020, 68, 654–670. [Google Scholar] [CrossRef]
- Reddy, J.N. Solutions Manual for an Introduction to the Finite Element Method; McGraw-Hill: New York, NY, USA, 1993; p. 41. [Google Scholar]
- Jyothi, K.; Reddy, P.S.; Reddy, M.S. Carreau nanofluid heat and mass transfer flow through wedge with slip conditions and nonlinear thermal radiation. J. Braz. Soc. Mech. Sci. Eng. 2019, 41, 415. [Google Scholar] [CrossRef]
- Ali, B.; Nie, Y.; Khan, S.A.; Sadiq, M.T.; Tariq, M. Finite Element Simulation of Multiple Slip Effects on MHD Unsteady Maxwell Nanofluid Flow over a Permeable Stretching Sheet with Radiation and Thermo-Diffusion in the Presence of Chemical Reaction. Processes 2019, 7, 628. [Google Scholar] [CrossRef]
- Ali, L.; Ali, B.; Liu, X.; Ahmed, S.; Shah, M.A. Analysis of bio-convective MHD Blasius and Sakiadis flow with Cattaneo-Christov heat flux model and chemical reaction. Chin. J. Phys. 2021, 12, 554–571. [Google Scholar] [CrossRef]
- Ibrahim, W.; Gadisa, G. Finite Element Method Solution of Boundary Layer Flow of Powell-Eyring Nanofluid over a Nonlinear Stretching Surface. J. Appl. Math. 2019, 2019. [Google Scholar] [CrossRef]
- Ali, B.; Naqvi, R.A.; Ali, L.; Abdal, S.; Hussain, S. A Comparative Description on Time-Dependent Rotating Magnetic Transport of a Water Base Liquid With Hybrid Nano-materials Over an Extending Sheet Using Buongiorno Model: Finite Element Approach. Chin. J. Phys. 2021, 70, 125–139. [Google Scholar] [CrossRef]
- Wang, C. Stretching a surface in a rotating fluid. Z. Angew. Math. Phys. ZAMP 1988, 39, 177–185. [Google Scholar] [CrossRef]
- Ali, B.; Nie, Y.; Hussain, S.; Manan, A.; Sadiq, M.T. Unsteady magneto-hydrodynamic transport of rotating Maxwell nanofluid flow on a stretching sheet with Cattaneo–Christov double diffusion and activation energy. Therm. Sci. Eng. Prog. 2020, 20, 100720. [Google Scholar] [CrossRef]
- Shafique, Z.; Mustafa, M.; Mushtaq, A. Boundary layer flow of Maxwell fluid in rotating frame with binary chemical reaction and activation energy. Results Phys. 2016, 6, 627–633. [Google Scholar] [CrossRef]

















| Grid Size | |||||
|---|---|---|---|---|---|
| 15 × 15 | 1.7050 | 0.6876 | 0.6954 | 3.7399 | 4.5771 |
| 40 × 40 | 1.6946 | 0.6764 | 0.7399 | 3.4025 | 4.8073 |
| 70 × 70 | 1.6935 | 0.6742 | 0.7538 | 3.3371 | 4.7750 |
| 100 × 100 | 1.6932 | 0.6736 | 0.7556 | 3.3265 | 4.7565 |
| 120 × 120 | 1.6931 | 0.6736 | 0.7558 | 3.3264 | 4.7562 |
| Ali [52] | Wang [53] | Present Results | ||||
|---|---|---|---|---|---|---|
| 0 | 01.00000 | 00.00000 | 01.0000 | 00.0000 | 01.00000 | 00.00000 |
| 1 | 01.32501 | 00.83715 | 01.3250 | 00.8371 | 01.32501 | 00.83715 |
| 2 | 01.65232 | 01.28732 | 01.6523 | 01.2873 | 01.65232 | 01.28732 |
| 5 | 02.39026 | 02.15024 | – | – | 02.39026 | 02.15024 |
Publisher’s Note: MDPI stays neutral with regard to jurisdictional claims in published maps and institutional affiliations. |
© 2022 by the authors. Licensee MDPI, Basel, Switzerland. This article is an open access article distributed under the terms and conditions of the Creative Commons Attribution (CC BY) license (https://creativecommons.org/licenses/by/4.0/).
Share and Cite
Ali, L.; Manan, A.; Ali, B. Maxwell Nanofluids: FEM Simulation of the Effects of Suction/Injection on the Dynamics of Rotatory Fluid Subjected to Bioconvection, Lorentz, and Coriolis Forces. Nanomaterials 2022, 12, 3453. https://doi.org/10.3390/nano12193453
Ali L, Manan A, Ali B. Maxwell Nanofluids: FEM Simulation of the Effects of Suction/Injection on the Dynamics of Rotatory Fluid Subjected to Bioconvection, Lorentz, and Coriolis Forces. Nanomaterials. 2022; 12(19):3453. https://doi.org/10.3390/nano12193453
Chicago/Turabian StyleAli, Liaqat, Abdul Manan, and Bagh Ali. 2022. "Maxwell Nanofluids: FEM Simulation of the Effects of Suction/Injection on the Dynamics of Rotatory Fluid Subjected to Bioconvection, Lorentz, and Coriolis Forces" Nanomaterials 12, no. 19: 3453. https://doi.org/10.3390/nano12193453
APA StyleAli, L., Manan, A., & Ali, B. (2022). Maxwell Nanofluids: FEM Simulation of the Effects of Suction/Injection on the Dynamics of Rotatory Fluid Subjected to Bioconvection, Lorentz, and Coriolis Forces. Nanomaterials, 12(19), 3453. https://doi.org/10.3390/nano12193453

