Optical Absorption in N-Dimensional Colloidal Quantum Dot Arrays: Influence of Stoichiometry and Applications in Intermediate Band Solar Cells
Abstract
1. Introduction
2. Theoretical Framework
3. Results and Discussion
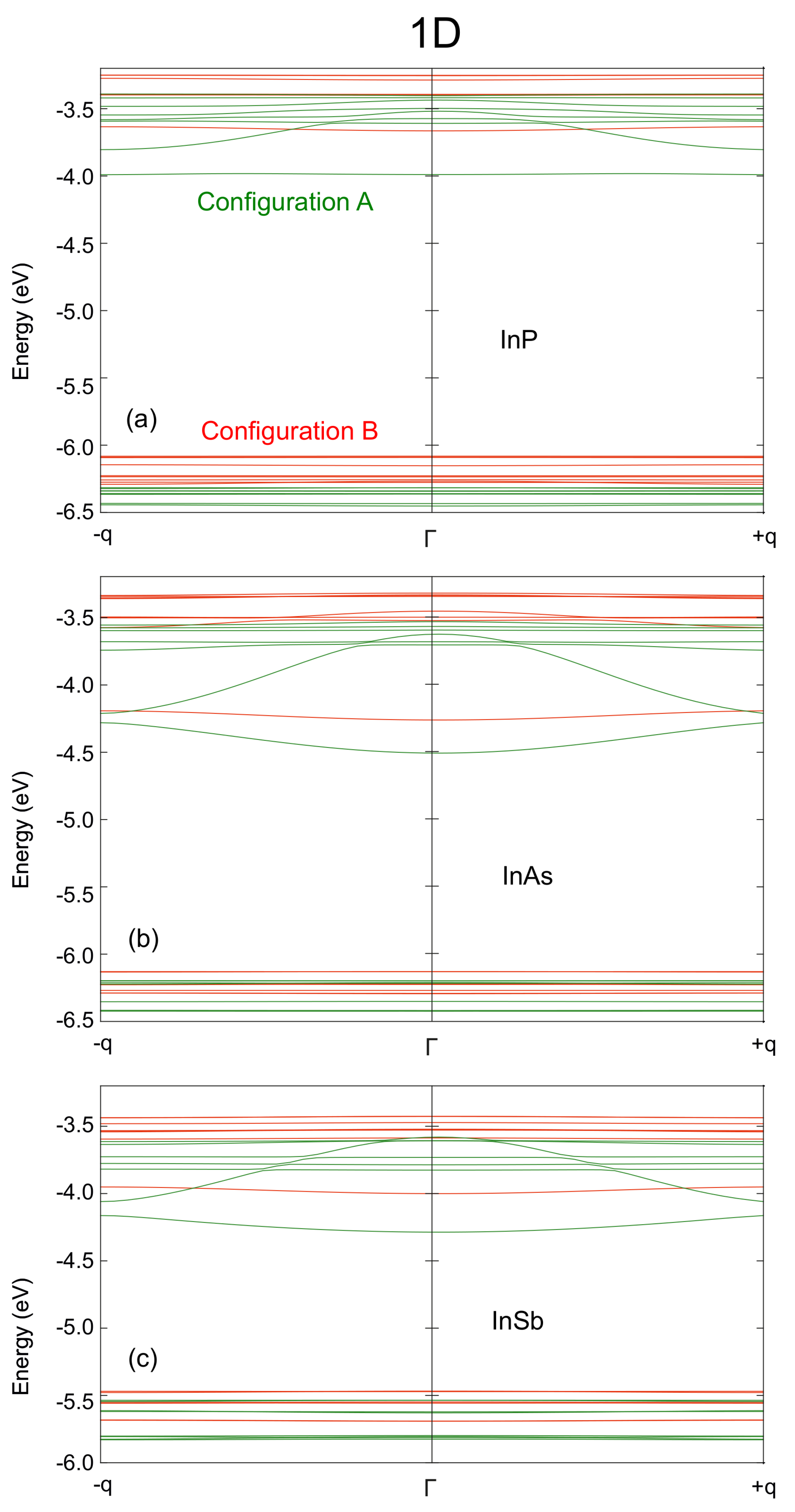
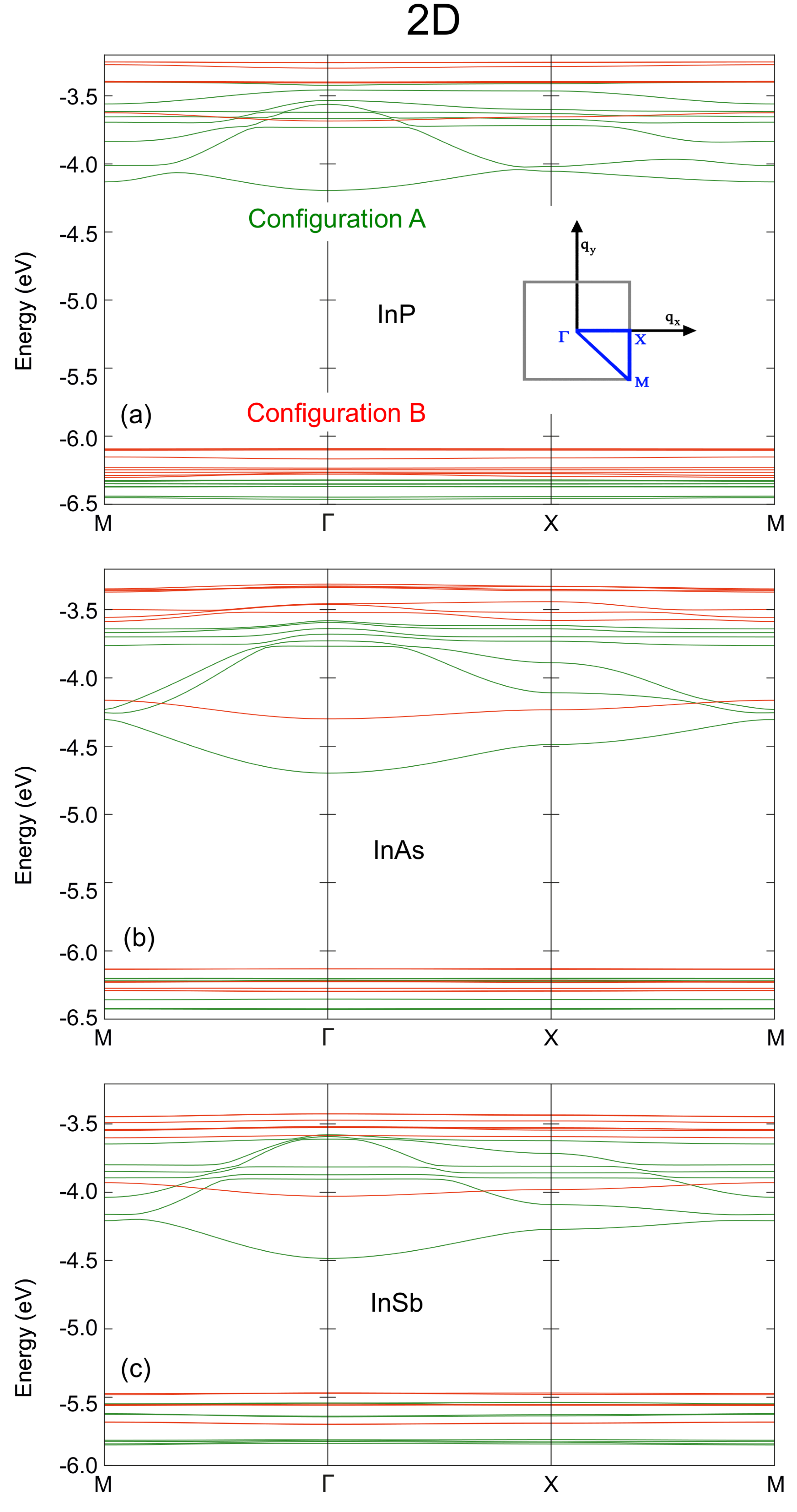
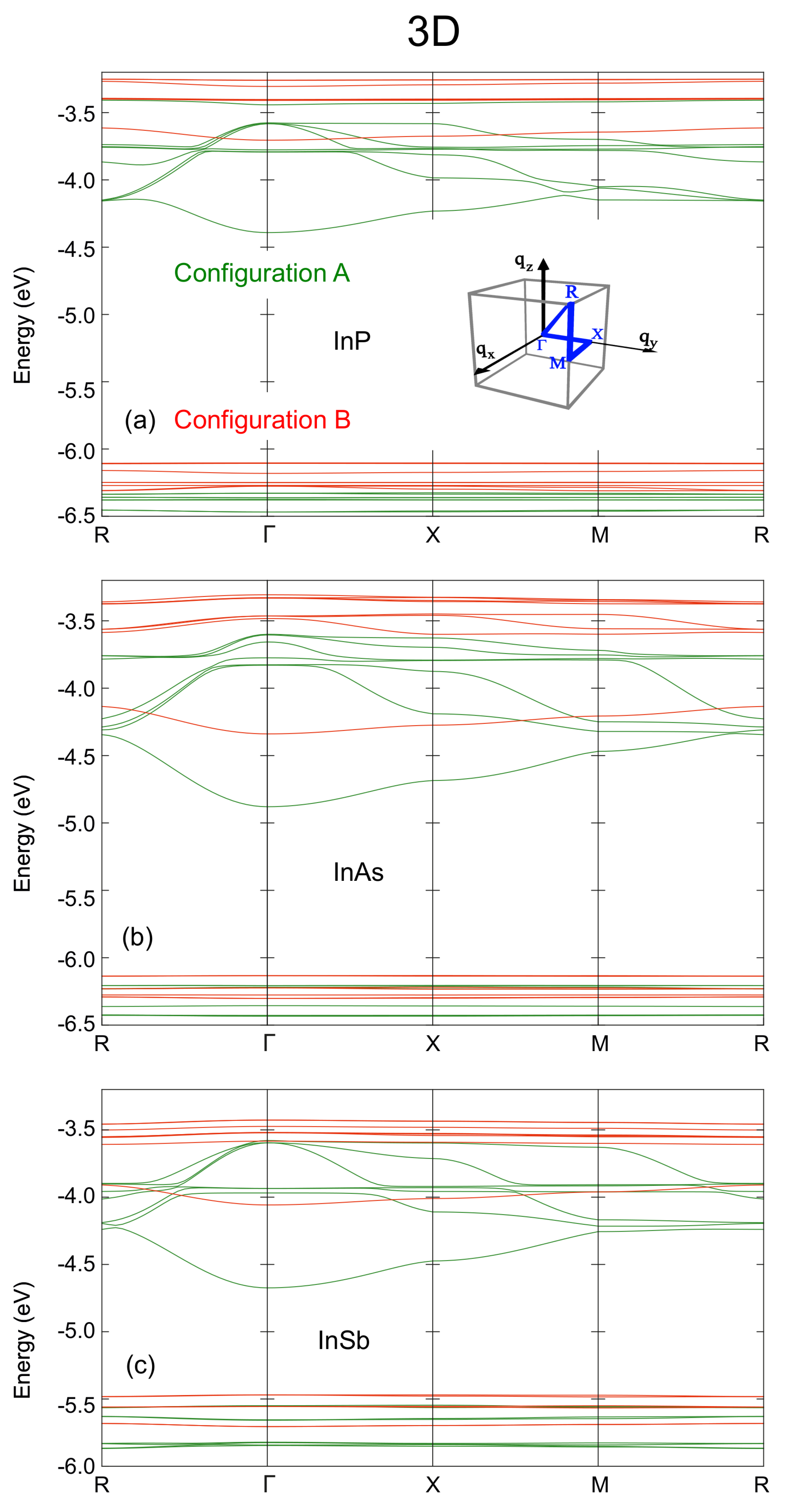
3.1. Electronic Structure
3.2. Absorption Coefficient
4. Conclusions
Supplementary Materials
Author Contributions
Funding
Institutional Review Board Statement
Data Availability Statement
Conflicts of Interest
Abbreviations
| CB | Conduction Band |
| CBM | Conduction Band Minimum |
| CQD | Colloidal Quantum Dot |
| EQD | Epitaxial Quantum Dot |
| IB | Intermediate Band |
| IBSC | Intermediate Band Solar Cell |
| QD | Quantum Dot |
| QDSC | Quantum Dot Solar Cell |
| VB | Valence Band |
| VBM | Valence Band Maximum |
References
- Ramiro, I.N.; Martí, A. Intermediate band solar cells: Present and future. Prog. Photovolt. Res. Appl. 2021, 29, 705–713. [Google Scholar] [CrossRef]
- Luque, A.; Martí, A. Increasing the Efficiency of Ideal Solar Cells by Photon Induced Transitions at Intermediate Levels. Phys. Rev. Lett. 1997, 78, 5014–5017. [Google Scholar] [CrossRef]
- Tomić, S.; Sogabe, T.; Okada, Y. In-plane coupling effect on absorption coefficients of InAs/GaAs quantum dots arrays for intermediate band solar cell. Prog. Photovolt. Res. Appl. 2015, 23, 546–558. [Google Scholar] [CrossRef]
- Tomić, S. Intermediate-band solar cells: Influence of band formation on dynamical processes in InAs/GaAs quantum dot arrays. Phys. Rev. B 2010, 82, 195321. [Google Scholar] [CrossRef]
- Mendes, M.J.; Hernández, E.; López, E.; García-Linares, P.; Ramiro, I.; Artacho, I.; Antolín, E.; Tobías, I.; Martí, A.; Luque, A. Self-organized colloidal quantum dots and metal nanoparticles for plasmon-enhanced intermediate-band solar cells. Nanotechnology 2013, 24, 345402. [Google Scholar] [CrossRef] [PubMed]
- Beattie, N.S.; See, P.; Zoppi, G.; Ushasree, P.M.; Duchamp, M.; Farrer, I.; Ritchie, D.A.; Tomić, S. Quantum Engineering of InAs/GaAs Quantum Dot Based Intermediate Band Solar Cells. ACS Photonics 2017, 4, 2745–2750. [Google Scholar] [CrossRef]
- Kotani, T.; Birner, S.; Lugli, P.; Hamaguchi, C. A theoretical analysis of the optical absorption properties in one-dimensional InAs/GaAs quantum dot superlattices. J. Appl. Phys. 2014, 115, 143501. [Google Scholar] [CrossRef]
- Kagan, C.R.; Lifshitz, E.; Sargent, E.H.; Talapin, D.V. Building devices from colloidal quantum dots. Science 2016, 353, aac5523. [Google Scholar] [CrossRef]
- Murray, C.B.; Norris, D.J.; Bawendi, M.G. Synthesis and characterization of nearly monodisperse CdE (E = sulfur, selenium, tellurium) semiconductor nanocrystallites. J. Am. Chem. Soc. 1993, 115, 8706–8715. [Google Scholar] [CrossRef]
- Ramiro, I.n.; Kundu, B.; Dalmases, M.; Özdemir, O.; Pedrosa, M.; Konstantatos, G. Size- and Temperature-Dependent Intraband Optical Properties of Heavily n-Doped PbS Colloidal Quantum Dot Solid-State Films. ACS Nano 2020, 14, 7161–7169. [Google Scholar] [CrossRef]
- Kim, T.; Park, S.; Jeong, S. Diffusion dynamics controlled colloidal synthesis of highly monodisperse InAs nanocrystals. Nat. Commun. 2021, 12, 3013. [Google Scholar] [CrossRef] [PubMed]
- Brichkin, S.B.; Razumov, V.F. Colloidal quantum dots: Synthesis, properties and applications. Russ. Chem. Rev. 2016, 85, 1297–1312. [Google Scholar] [CrossRef]
- Cui, J.; Panfil, Y.E.; Koley, S.; Shamalia, D.; Waiskopf, N.; Remennik, S.; Popov, I.; Oded, M.; Banin, U. Colloidal quantum dot molecules manifesting quantum coupling at room temperature. Nat. Commun. 2019, 10, 5401. [Google Scholar] [CrossRef] [PubMed]
- Shen, T.; Yuan, J.; Zhong, X.; Tian, J. Dip-coated colloidal quantum-dot films for high-performance broadband photodetectors. J. Mater. Chem. C 2019, 7, 6266–6272. [Google Scholar] [CrossRef]
- Kim, D.; Tomita, S.; Ohshiro, K.; Watanabe, T.; Sakai, T.; Chang, I.Y.; Hyeon-Deuk, K. Evidence of Quantum Resonance in Periodically-Ordered Three-Dimensional Superlattice of CdTe Quantum Dots. Nano Lett. 2015, 15, 4343–4347. [Google Scholar] [CrossRef]
- Choi, M.J.; Oh, J.; Yoo, J.K.; Choi, J.; Sim, D.M.; Jung, Y.S. Tailoring of the PbS/metal interface in colloidal quantum dot solar cells for improvements of performance and air stability. Energy Environ. Sci. 2014, 7, 3052–3060. [Google Scholar] [CrossRef]
- Choi, M.J.; Kim, S.; Lim, H.; Choi, J.; Sim, D.M.; Yim, S.; Ahn, B.T.; Kim, J.Y.; Jung, Y.S. Highly Asymmetric n+–p Heterojunction Quantum-Dot Solar Cells with Significantly Improved Charge-Collection Efficiencies. Adv. Mater. 2016, 28, 1780–1787. [Google Scholar] [CrossRef]
- Ning, Z.; Voznyy, O.; Pan, J.; Hoogland, S.; Adinolfi, V.; Xu, J.; Li, M.; Kirmani, A.R.; Sun, J.P.; Minor, J.; et al. Air-stable n-type colloidal quantum dot solids. Nat. Mater. 2014, 13, 822–828. [Google Scholar] [CrossRef]
- Scheibner, M.; Schmidt, T.; Worschech, L.; Forchel, A.; Bacher, G.; Passow, T.; Hommel, D. Superradiance of quantum dots. Nat. Phys. 2007, 3, 106–110. [Google Scholar] [CrossRef]
- Sierra, E.; Masson, S.J.; Asenjo-Garcia, A. Dicke superradiance in ordered lattices: Role of geometry and dimensionality. arXiv 2021, arXiv:2110.08380. [Google Scholar]
- Gómez-Campos, F.M.; Rodríguez-Bolívar, S.; Skibinsky-Gitlin, E.S.; Califano, M. Efficient, non-stochastic, Monte-Carlo-like-accurate method for the calculation of the temperature-dependent mobility in nanocrystal films. Nanoscale 2018, 10, 9679–9690. [Google Scholar] [CrossRef] [PubMed]
- Skibinsky-Gitlin, E.S.; Rodríguez-Bolívar, S.; Califano, M.; Gómez-Campos, F.M. Band-like electron transport in 2D quantum dot periodic lattices: The effect of realistic size distributions. Phys. Chem. Chem. Phys. 2019, 21, 25872–25879. [Google Scholar] [CrossRef] [PubMed]
- Lee, J.S.; Kovalenko, M.V.; Huang, J.; Chung, D.S.; Talapin, D.V. Band-like transport, high electron mobility and high photoconductivity in all-inorganic nanocrystal arrays. Nat. Nanotechnol. 2011, 6, 348–352. [Google Scholar] [CrossRef] [PubMed]
- Choi, J.H.; Fafarman, A.T.; Oh, S.J.; Ko, D.K.; Kim, D.K.; Diroll, B.T.; Muramoto, S.; Gillen, J.G.; Murray, C.B.; Kagan, C.R. Bandlike Transport in Strongly Coupled and Doped Quantum Dot Solids: A Route to High-Performance Thin-Film Electronics. Nano Lett. 2012, 12, 2631–2638. [Google Scholar] [CrossRef]
- Liu, L.; Septianto, R.D.; Bisri, S.Z.; Ishida, Y.; Aida, T.; Iwasa, Y. Evidence of band filling in PbS colloidal quantum dot square superstructures. Nanoscale 2021, 13, 14001–14007. [Google Scholar] [CrossRef]
- Guzelian, A.A.; Katari, J.E.B.; Kadavanich, A.V.; Banin, U.; Hamad, K.; Juban, E.; Alivisatos, A.P.; Wolters, R.H.; Arnold, C.C.; Heath, J.R. Synthesis of Size-Selected, Surface-Passivated InP Nanocrystals. J. Phys. Chem. 1996, 100, 7212–7219. [Google Scholar] [CrossRef]
- Guzelian, A.A.; Banin, U.; Kadavanich, A.V.; Peng, X.; Alivisatos, A.P. Colloidal chemical synthesis and characterization of InAs nanocrystal quantum dots. Appl. Phys. Lett. 1996, 69, 1432–1434. [Google Scholar] [CrossRef]
- Busatto, S.; de Ruiter, M.; Jastrzebski, J.T.B.H.; Albrecht, W.; Pinchetti, V.; Brovelli, S.; Bals, S.; Moret, M.E.; de Mello Donega, C. Luminescent Colloidal InSb Quantum Dots from In Situ Generated Single-Source Precursor. ACS Nano 2020, 14, 13146–13160. [Google Scholar] [CrossRef]
- Bian, K.; Li, R.; Fan, H. Controlled Self-Assembly and Tuning of Large PbS Nanoparticle Supercrystals. Chem. Mater. 2018, 30, 6788–6793. [Google Scholar] [CrossRef]
- Liu, L.; Bisri, S.Z.; Ishida, Y.; Hashizume, D.; Aida, T.; Iwasa, Y. Ligand and Solvent Effects on Hole Transport in Colloidal Quantum Dot Assemblies for Electronic Devices. ACS Appl. Nano Mater. 2018, 1, 5217–5225. [Google Scholar] [CrossRef]
- Talapin, D.V.; Murray, C.B. PbSe Nanocrystal Solids for n- and p-Channel Thin Film Field-Effect Transistors. Science 2005, 310, 86–89. [Google Scholar] [CrossRef] [PubMed]
- Drndić, M.; Jarosz, M.V.; Morgan, N.Y.; Kastner, M.A.; Bawendi, M.G. Transport properties of annealed CdSe colloidal nanocrystal solids. J. Appl. Phys. 2002, 92, 7498–7503. [Google Scholar] [CrossRef]
- Talgorn, E.; Abellon, R.D.; Kooyman, P.J.; Piris, J.; Savenije, T.J.; Goossens, A.; Houtepen, A.J.; Siebbeles, L.D.A. Supercrystals of CdSe Quantum Dots with High Charge Mobility and Efficient Electron Transfer to TiO2. ACS Nano 2010, 4, 1723–1731. [Google Scholar] [CrossRef] [PubMed]
- Quan, Z.; Loc, W.S.; Lin, C.; Luo, Z.; Yang, K.; Wang, Y.; Wang, H.; Wang, Z.; Fang, J. Tilted Face-Centered-Cubic Supercrystals of PbS Nanocubes. Nano Lett. 2012, 12, 4409–4413. [Google Scholar] [CrossRef] [PubMed]
- Gao, Y.; Aerts, M.; Sandeep, C.S.S.; Talgorn, E.; Savenije, T.J.; Kinge, S.; Siebbeles, L.D.A.; Houtepen, A.J. Photoconductivity of PbSe Quantum-Dot Solids: Dependence on Ligand Anchor Group and Length. ACS Nano 2012, 6, 9606–9614. [Google Scholar] [CrossRef]
- Tang, J.; Kemp, K.W.; Hoogland, S.; Jeong, K.S.; Liu, H.; Levina, L.; Furukawa, M.; Wang, X.; Debnath, R.; Cha, D.; et al. Colloidal-quantum-dot photovoltaics using atomic-ligand passivation. Nat. Mater. 2011, 10, 765–771. [Google Scholar] [CrossRef]
- Liu, W.; Lee, J.S.; Talapin, D.V. III–V Nanocrystals Capped with Molecular Metal Chalcogenide Ligands: High Electron Mobility and Ambipolar Photoresponse. J. Am. Chem. Soc. 2013, 135, 1349–1357. [Google Scholar] [CrossRef]
- Song, J.H.; Choi, H.; Pham, H.T.; Jeong, S. Energy level tuned indium arsenide colloidal quantum dot films for efficient photovoltaics. Nat. Commun. 2018, 9, 4267. [Google Scholar] [CrossRef]
- Cui, Z.; Mei, S.; Wen, Z.; Yang, D.; Qin, S.; Xiong, Z.; Yang, B.; He, H.; Bao, R.; Qiu, Y.; et al. Synergistic Effect of Halogen Ions and Shelling Temperature on Anion Exchange Induced Interfacial Restructuring for Highly Efficient Blue Emissive InP/ZnS Quantum Dots. Small 2022, 18, 2108120. [Google Scholar] [CrossRef]
- Wei, X.; Mei, S.; Yang, B.; Chen, Z.; Dai, H.; Hu, Z.; Zhang, G.; Xie, F.; Zhang, W.; Guo, R. Optical and Morphological Properties of Single-Phased and Dual-Emissive InP/ZnS Quantum Dots via Transition Metallic and Inorganic Ions. Langmuir 2020, 36, 10244–10250. [Google Scholar] [CrossRef]
- Wei, X.; Mei, S.; Zhang, G.; Su, D.; Xie, F.; Zhang, W.; Guo, R. Enhanced tunable dual emission of Cu:InP/ZnS quantum dots enabled by introducing Ag ions. Appl. Surf. Sci. 2019, 493, 605–612. [Google Scholar] [CrossRef]
- Mei, S.; Wei, X.; Yang, D.; Su, D.; Yang, W.; Zhang, G.; Hu, Z.; Yang, B.; Dai, H.; Xie, F.; et al. Color-tunable optical properties of cadmium-free transition metal ions doped InP/ZnS quantum dots. J. Lumin. 2019, 212, 264–270. [Google Scholar] [CrossRef]
- Bester, G. Electronic excitations in nanostructures: An empirical pseudopotential based approach. J. Phys. Condens. Matter 2008, 21, 023202. [Google Scholar] [CrossRef] [PubMed]
- Wang, L.W.; Zunger, A. Local-density-derived semiempirical pseudopotentials. Phys. Rev. B 1995, 51, 17398–17416. [Google Scholar] [CrossRef]
- Wang, L.W.; Zunger, A. Solving Schrodinger’s equation around a desired energy: Application to silicon quantum dots. J. Chem. Phys. 1994, 100, 2394–2397. [Google Scholar] [CrossRef]
- Gómez-Campos, F.M.; Rodríguez-Bolívar, S.; Califano, M. Effective Approach for an Order-of-Magnitude-Accurate Evaluation of the Electron Mobility in Colloidal Quantum Dot Films. J. Nanomater. 2019, 2019, 5106909. [Google Scholar] [CrossRef]
- Skibinsky-Gitlin, E.S.; Rodríguez-Bolívar, S.; Califano, M.; Gómez-Campos, F.M. Optical properties of nanocrystal films: Blue shifted transitions as signature of strong coupling. Nanoscale Adv. 2020, 2, 384–393. [Google Scholar] [CrossRef]
- Tang, J.; Brzozowski, L.; Barkhouse, D.A.R.; Wang, X.; Debnath, R.; Wolowiec, R.; Palmiano, E.; Levina, L.; Pattantyus-Abraham, A.G.; Jamakosmanovic, D.; et al. Quantum Dot Photovoltaics in the Extreme Quantum Confinement Regime: The Surface-Chemical Origins of Exceptional Air- and Light-Stability. ACS Nano 2010, 4, 869–878. [Google Scholar] [CrossRef]
- Jasieniak, J.; Mulvaney, P. From Cd-Rich to Se-Rich—The Manipulation of CdSe Nanocrystal Surface Stoichiometry. J. Am. Chem. Soc. 2007, 129, 2841–2848. [Google Scholar] [CrossRef]
- Choi, M.J.; Sagar, L.K.; Sun, B.; Biondi, M.; Lee, S.; Najjariyan, A.M.; Levina, L.; de Arquer, F.P.G.; Sargent, E.H. Ligand Exchange at a Covalent Surface Enables Balanced Stoichiometry in III-V Colloidal Quantum Dots. Nano Lett. 2021, 21, 6057–6063. [Google Scholar] [CrossRef]
- Leemans, J.; Dumbgen, K.C.; Minjauw, M.M.; Zhao, Q.; Vantomme, A.; Infante, I.; Detavernier, C.; Hens, Z. Acid-Base Mediated Ligand Exchange on Near-Infrared Absorbing, Indium-Based III-V Colloidal Quantum Dots. J. Am. Chem. Soc. 2021, 143, 4290–4301. [Google Scholar] [CrossRef] [PubMed]
- Kim, Y.; Chang, J.H.; Choi, H.; Kim, Y.H.; Bae, W.K.; Jeong, S. III-V colloidal nanocrystals: Control of covalent surfaces. Chem. Sci. 2020, 11, 913–922. [Google Scholar] [CrossRef] [PubMed]
- Gerdes, F.; Volkmann, M.; Schliehe, C.; Bielewicz, T.; Klinke, C. Sculpting of Lead Sulfide Nanoparticles by Means of Acetic Acid and Dichloroethane. Z. Phys. Chem. 2015, 229, 139–151. [Google Scholar] [CrossRef]
- Evers, W.H.; Goris, B.; Bals, S.; Casavola, M.; de Graaf, J.; van Roij, R.; Dijkstra, M.; Vanmaekelbergh, D. Low-Dimensional Semiconductor Superlattices Formed by Geometric Control over Nanocrystal Attachment. Nano Lett. 2013, 13, 2317–2323. [Google Scholar] [CrossRef] [PubMed]
- Rodosthenous, P.; Gómez-Campos, F.M.; Califano, M. Tuning the Radiative Lifetime in InP Colloidal Quantum Dots by Controlling the Surface Stoichiometry. J. Phys. Chem. Lett. 2020, 11, 10124–10130. [Google Scholar] [CrossRef]
- Sills, A.; Harrison, P.; Califano, M. Exciton Dynamics in InSb Colloidal Quantum Dots. J. Phys. Chem. Lett. 2016, 7, 31–35. [Google Scholar] [CrossRef]
- Cuadra, L.; Martí, A.; Luque, A. Influence of the overlap between the absorption coefficients on the efficiency of the intermediate band solar cell. IEEE Trans. Electron Devices 2004, 51, 1002–1007. [Google Scholar] [CrossRef]
- Krishna, A.; Krich, J.J. Increasing efficiency in intermediate band solar cells with overlapping absorptions. J. Opt. 2016, 18, 074010. [Google Scholar] [CrossRef]
- Boichuk, V.I.; Bilynskyi, I.V.; Pazyuk, R.I. Light absorption coefficient of an ordered array of spherical quantum dot chains. Condens. Matter Phys. 2017, 20, 23704. [Google Scholar] [CrossRef][Green Version]
- Luque, A.; Martí, A.; Mellor, A.; Fuertes Marrón, D.; Tobías, I.; Antolín, E. Absorption coefficient for the intraband transitions in quantum dot materials. Prog. Photovolt. Res. Appl. 2013, 21, 658–667. [Google Scholar] [CrossRef]









| Overlap Integrals | |||
|---|---|---|---|
(adim.) | (eV) | ||
| InP | 0.0123 | −0.0479 | |
| Configuration A | InAs | 0.0141 | −0.0571 |
| InSb | 0.0146 | −0.0599 | |
| InP | 0.0032 | −0.0076 | |
| Configuration B | InAs | 0.0066 | −0.0171 |
| InSb | 0.0058 | −0.0125 | |
Publisher’s Note: MDPI stays neutral with regard to jurisdictional claims in published maps and institutional affiliations. |
© 2022 by the authors. Licensee MDPI, Basel, Switzerland. This article is an open access article distributed under the terms and conditions of the Creative Commons Attribution (CC BY) license (https://creativecommons.org/licenses/by/4.0/).
Share and Cite
Hahn, R.V.H.; Rodríguez-Bolívar, S.; Rodosthenous, P.; Skibinsky-Gitlin, E.S.; Califano, M.; Gómez-Campos, F.M. Optical Absorption in N-Dimensional Colloidal Quantum Dot Arrays: Influence of Stoichiometry and Applications in Intermediate Band Solar Cells. Nanomaterials 2022, 12, 3387. https://doi.org/10.3390/nano12193387
Hahn RVH, Rodríguez-Bolívar S, Rodosthenous P, Skibinsky-Gitlin ES, Califano M, Gómez-Campos FM. Optical Absorption in N-Dimensional Colloidal Quantum Dot Arrays: Influence of Stoichiometry and Applications in Intermediate Band Solar Cells. Nanomaterials. 2022; 12(19):3387. https://doi.org/10.3390/nano12193387
Chicago/Turabian StyleHahn, Rebeca V. H., Salvador Rodríguez-Bolívar, Panagiotis Rodosthenous, Erik S. Skibinsky-Gitlin, Marco Califano, and Francisco M. Gómez-Campos. 2022. "Optical Absorption in N-Dimensional Colloidal Quantum Dot Arrays: Influence of Stoichiometry and Applications in Intermediate Band Solar Cells" Nanomaterials 12, no. 19: 3387. https://doi.org/10.3390/nano12193387
APA StyleHahn, R. V. H., Rodríguez-Bolívar, S., Rodosthenous, P., Skibinsky-Gitlin, E. S., Califano, M., & Gómez-Campos, F. M. (2022). Optical Absorption in N-Dimensional Colloidal Quantum Dot Arrays: Influence of Stoichiometry and Applications in Intermediate Band Solar Cells. Nanomaterials, 12(19), 3387. https://doi.org/10.3390/nano12193387

