Synthesis, Characterization, and Electrochemical Properties of La-Doped α-Fe2O3 Nanoparticles
Abstract
:1. Introduction
2. Experimental Section
2.1. Materials
2.2. Preparation of La-Doped α-Fe2O3 Nanoparticles
2.3. Preparation of La-Doped α-Fe2O3 Modified Waterborne Coatings
2.4. Characterization
- (1)
- X-ray diffraction (XRD)
- (2)
- Transmission electron microscope (TEM) and energy dispersive spectroscopy (EDS)
- (3)
- Fourier-transform infrared spectrometer (FT-IR)
- (4)
- Electrochemical properties
- (5)
- Molecular dynamics simulation
3. Results and Discussion
3.1. La-Doped α-Fe2O3 Nanoparticle Characterization
3.1.1. XRD
3.1.2. TEM, SAED, and TEM-EDS
3.1.3. Molecular Dynamics Simulation
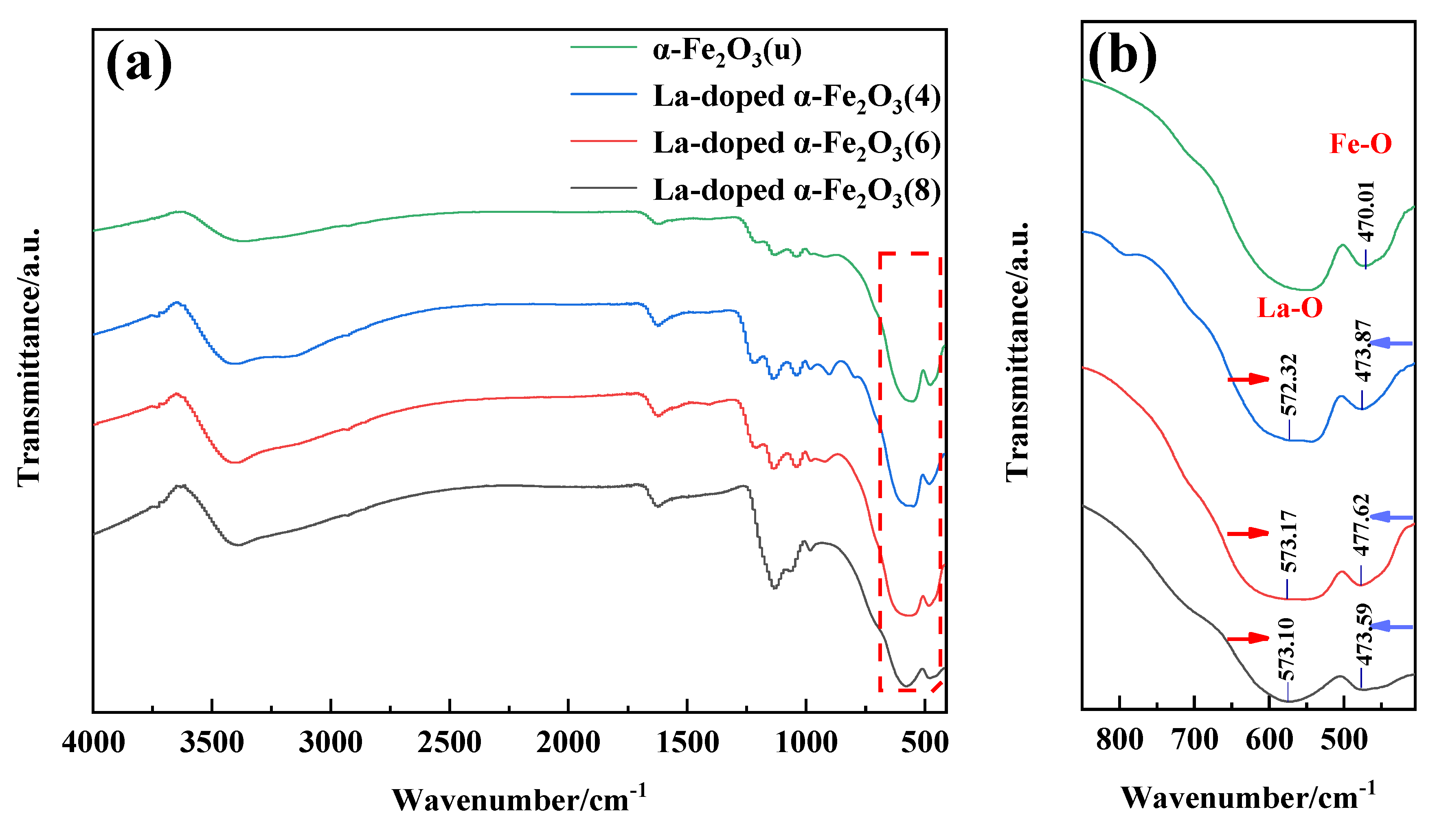
3.1.4. FT-IR
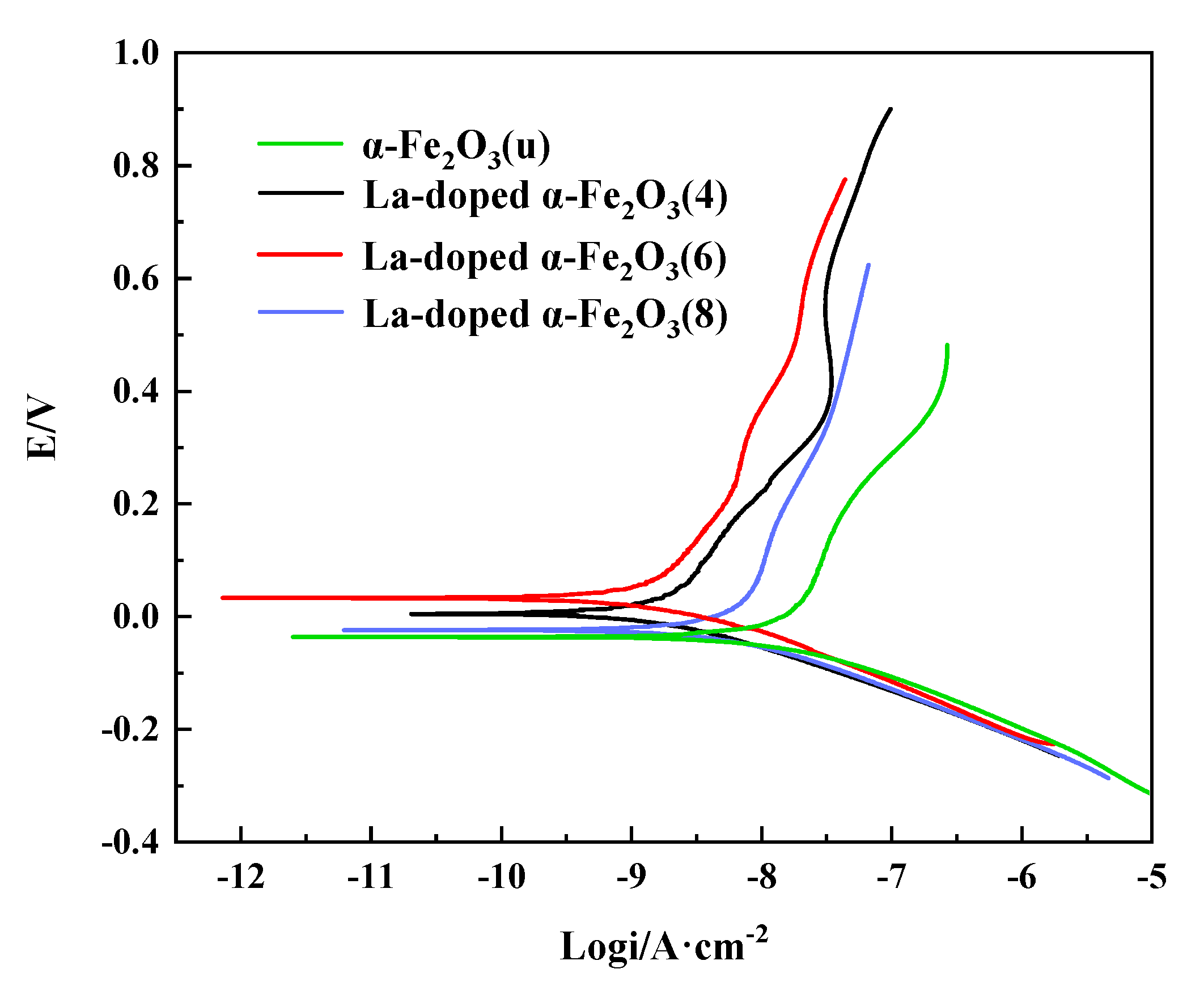
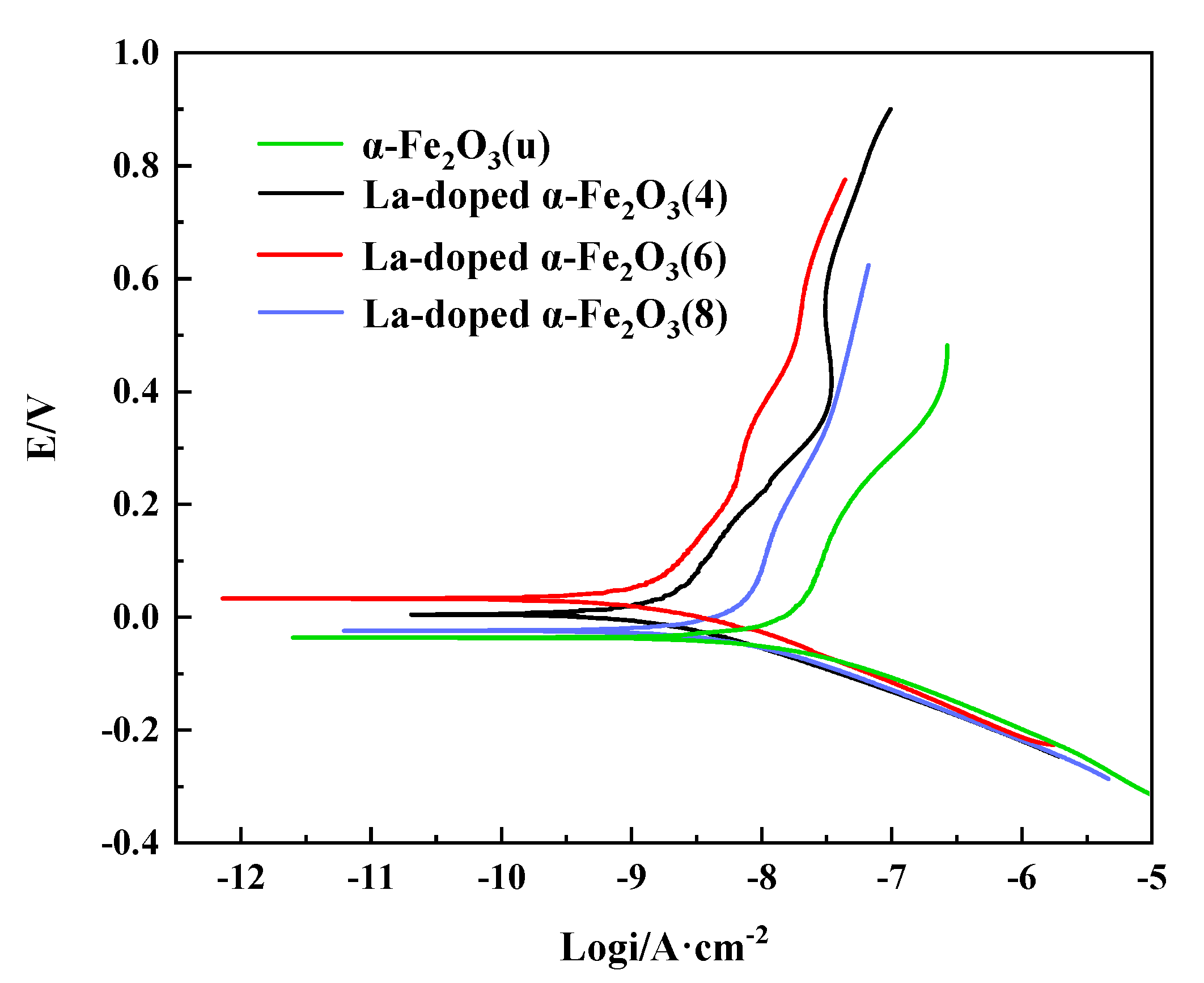
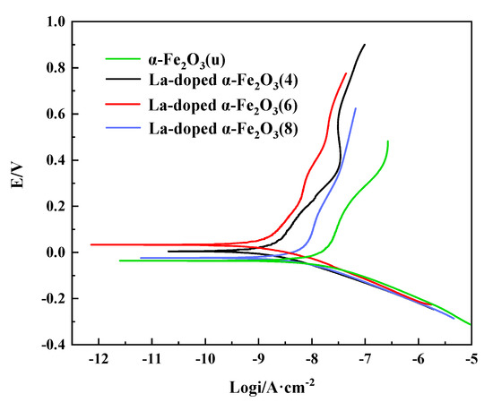
3.2. Electrochemical Properties of La-Doped α-Fe2O3 Nanoparticles
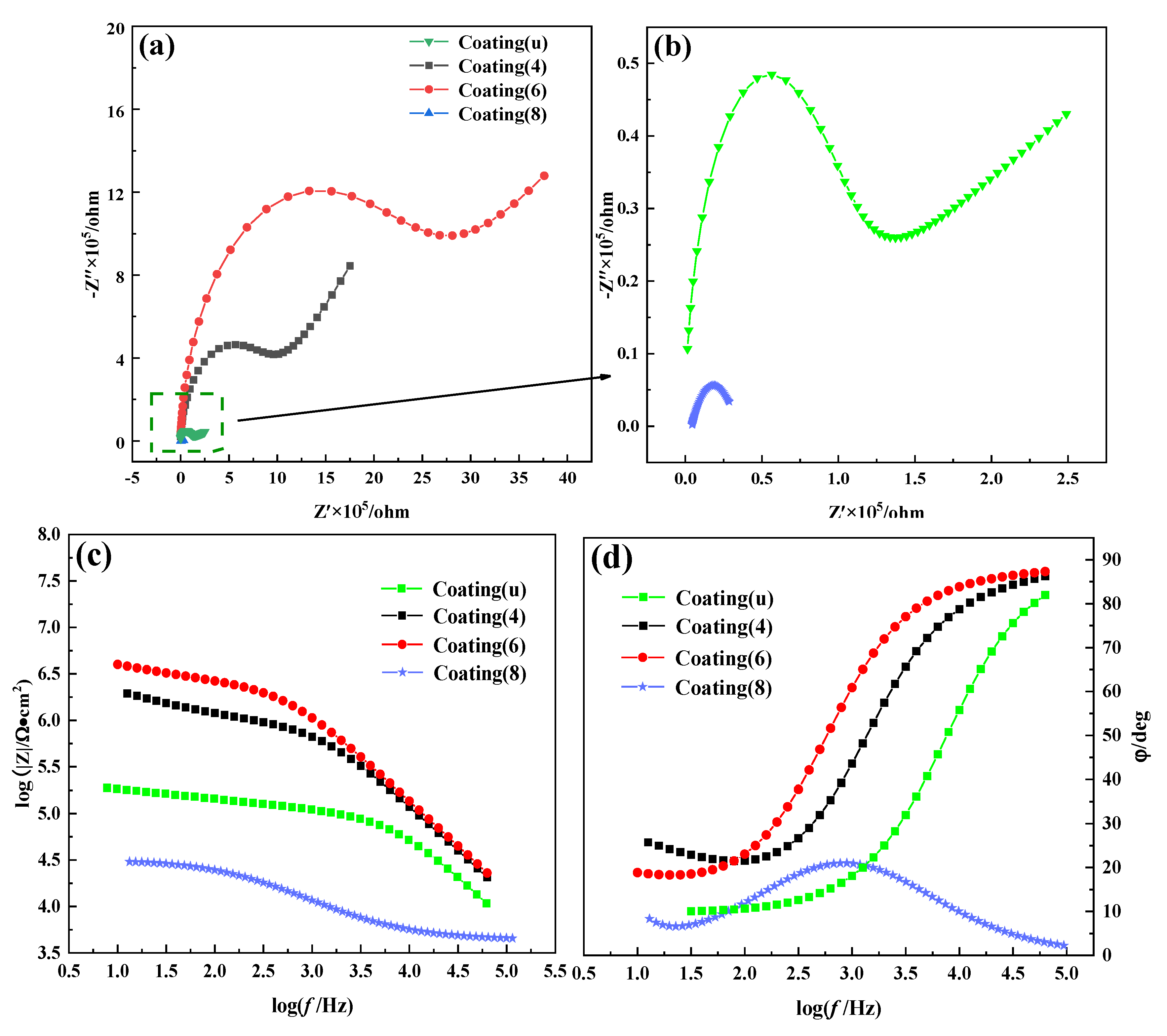
3.3. La-Doped α-Fe2O3 Modified Waterborne Coating
4. Conclusions
Author Contributions
Funding
Institutional Review Board Statement
Informed Consent Statement
Data Availability Statement
Acknowledgments
Conflicts of Interest
References
- Zheng, W.; Liu, Y.F.; Ye, F.; Zhan, W.X. Analysis on corrosion and protection of metal materials of smelting and chemical equipment. J. Metall. Mater. 2021, 41, 2. [Google Scholar] [CrossRef]
- Rathish, R.J.; Dorothy, R.; Joany, R.M.; Pandiarajan, M.; Rajendran, S. Corrosion resistance of nanoparticle-incorporated nano coatings. J. Eur. Chem. Bull. 2013, 2, 965–970. [Google Scholar]
- Abdeen, D.H.; Hachach, M.E.; Koc, M.; Muammer; Atieh, M.A. A review on the corrosion behaviour of nanocoatings on metallic substrates. J. Mater. 2019, 12, 210. [Google Scholar] [CrossRef] [PubMed]
- Nguyen, T.A.; Nguyen, T.H.; Nguyen, T.V.; Thai, H.; Shi, X. Effect of nanoparticles on the anticorrosion and mechanical properties of epoxy coating. J. Surf. Coat. Technol. 2009, 204, 237–245. [Google Scholar] [CrossRef]
- Liu, X.; Shao, Y.; Zhang, Y.; Meng, G.; Zhang, T.; Wang, F. Using high-temperature mechanochemistry treatment to modify iron oxide and improve the corrosion performance of epoxy coating-II. Effect of grinding temperature. J. Corros. Sci. 2015, 90, 463–471. [Google Scholar] [CrossRef]
- Hu, J.M.; Zhang, J.T.; Zhang, J.Q.; Cao, C.N. Corrosion electrochemical characteristics of red iron oxide pigmented epoxy coatings on aluminum alloys. J. Corros. Sci. 2005, 47, 2607–2618. [Google Scholar] [CrossRef]
- Singh, S.K.; Tambe, S.P.; Raja, V.S.; Kumar, D. Thermally sprayable polyethylene coatings for marine environment. J. Prog. Org. Coat. 2007, 60, 186–193. [Google Scholar] [CrossRef]
- Dhoke, S.K.; Khanna, A.S. Effect of nano-Fe2O3 particles on the corrosion behavior of alkyrd based waterborne coatings. J. Coat. Technol. Res. 2009, 51, 6–20. [Google Scholar] [CrossRef]
- Ali, A.; Zafar, H.; Zia, M.; ul Haq, I.; Phull, A.R.; Ali, J.S.; Hussain, A. Synthesis, characterization, applications, and challenges of iron oxide nanoparticles. J. Nanotechnol. Sci. Appl. 2016, 9, 49–67. [Google Scholar] [CrossRef]
- Liu, X.L. Effect of High Temperature Mechanochemical Modified Iron Oxide on Corrosion Resistance of Epoxy Coating. Ph.D. Thesis, Harbin Engineering University, Harbin, China, 2015. [Google Scholar]
- Shang, X.Y.; Zhu, Z.K.; Yin, J.; Li, Y. Study on the changes of SiO2 microphase structure in soluble PI/SiO2 nanocomposites. J. Polym. Mater. Sci. Eng. 2001, 17, 4. [Google Scholar]
- Jia, C.Y. Preparation and Properties of Rare Earth Elements (Y3+, Nd3+) Doped ZnO Films. Master’s thesis, Kunming University of Science and Technology, Kunming, China, 2012. [Google Scholar]
- Qin, D.Z. Preparation and Photocatalytic Properties of Lanthanum-Cerium Mixed Doped Nano-TiO2. Master’s thesis, Chongqing University, Chongqing, China, 2011. [Google Scholar]
- Ning, J.; Shi, P.; Jiang, M.; Liu, C.J.; Li, X. Effect of Ce doping on the structure and chemical stability of Nano-α-Fe2O3. J. Nanomater. 2019, 9, 1039. [Google Scholar] [CrossRef] [PubMed]
- Zhou, S.; Yang, Y.; Lei, R.Y.; Zhou, J.P. Effect of Rare Earth La doping on the electrical, magnetic and magnetic dielectric behavior of M-type strontium hexaferrite. J. Shaanxi Norm. University. Nat. Sci. Ed. 2021, 49, 116–124. [Google Scholar] [CrossRef]
- Yang, G.A.; Pu, Y.P.; Wang, J.F.; Zhuang, Y.Y.; Chen, X.L. Effect of La2O3 doping on the crystal structure and dielectric properties of BaTiO3-Nb2O5-Fe2O3 ceramics. J. Intraocular Lens 2009, 38, 5. [Google Scholar]
- Li, Y.Q.; Huang, Y.; Qi, S.H.; Niu, F.F.; Niu, L. Preparation, and magnetic and electromagnetic properties of La-doped strontium ferrite films. J. Magn. Magn. Mater. 2011, 323, 2224–2232. [Google Scholar] [CrossRef]
- Kumar, N.; Kaushal, A.; Bhardwaj, C.; Kaur, D. Effect of La doping on structural, optical and magnetic properties of BiFeO3 thin films deposited by pulsed laser deposition technique. J. Optoelectron. Adv. Mater.-Rapid Commun. 2010, 4, 1497–1502. [Google Scholar] [CrossRef]
- Xia, X.X.; Shi, L.J.; Jin, C.G.; Wang, K.; Xia, A.L. Effect of lanthanum ion doping on magnetic properties of cobalt ferrite. J. Anhui Univ. Technol. Nat. Sci. Ed. 2016, 33, 5. [Google Scholar] [CrossRef]
- Cheng, Z.X.; Li, A.H.; Wang, X.L.; Dou, S.X.; Ozawa, K.; Kimura, H.; Shrout, T.R. Structure, ferroelectric properties, and magnetic properties of the La-doped bismuth ferrite. J. Appl. Phys. 2008, 103, 123. [Google Scholar] [CrossRef]
- Zhang, X.K.; Wang, S.Y.; Zhang, J.; Zhang, P.; Zhang, M. Synthesis and microwave absorbing properties of La-doped barium ferrite nano powders via sol-gel auto-combustion method. J. Rare Met. 2015, 39, 5. [Google Scholar] [CrossRef]
- Zuo, L.L. Preparation and adsorption properties of lanthanum doped ferrite magnetic materials. J. Shandong Chem. Ind. 2018, 47, 3. [Google Scholar]
- Xu, B.Y.; Liu, C.Z.; Zhang, J.S.; Wang, J.C.; Yang, Y.C.; Zhao, H.T. Preparation and properties of lanthanum doped manganese zinc ferrite. J. Shenyang Univ. Technol. 2018, 37, 6. [Google Scholar]
- Shan, H.; Liu, C.; Liu, L.; Li, S.; Wang, L.; Zhang, X. Highly sensitive acetone sensors based on La-doped α-Fe2O3 nanotubes. J. Sens. Actuators B Chem. 2013, 184, 243–247. [Google Scholar] [CrossRef]
- Aghazadeh, M.; Karimzadeh, I.; Ganjali, M.R. Improvement of supercapacitive and superparamagnetic capabilities of iron oxide through electrochemically grown La3+ doped Fe3O4 nanoparticles. J. Mater. Sci. Mater. Electron. 2017, 28, 19061–19070. [Google Scholar] [CrossRef]
- Melo, D.M.D.A.; Melo, M.A.D.F.; Martinelli, A.E.; Silva, Z.R.; Cunha, J.D.D.; Lima, A.C. Synthesis and characterization of lanthanum-and yttrium-doped Fe2O3 pigments. Cerâmica 2007, 53, 79–82. [Google Scholar] [CrossRef]
- Ravinder, D.; Hashim, M.; Upadhyay, A.; Ismail, M.M.; Kumar, S.; Kumar, R.; Meena, S.S.; Khalilullah, A. Investigation of structural and magnetic properties of La doped Co-Mn ferrite nanoparticles in the presence of α-Fe2O3 phase. Solid. State. Commun. 2022, 342, 114629. [Google Scholar] [CrossRef]
- Raj, A.M.E. Influence of lanthanum doping on the structural and optical properties of hematite nanopowders. J. Appl. Sci. Eng. Methodol. 2016, 2, 272–277. [Google Scholar]
- Zan, G.; Wu, T.; Zhang, Z.; Li, J.; Zhou, J.; Zhu, F.; Chen, H.; Wen, M.; Yang, X.; Peng, X.; et al. Bioinspired Nanocomposites with Self-Adaptive Stress Dispersion for Super-Foldable Electrodes. Adv. Sci. 2022, 9, 2103714. [Google Scholar] [CrossRef]
- Zan, G.; Wu, T.; Zhu, F.; He, P.; Cheng, Y.; Chai, S.; Wang, Y.; Huang, X.; Zhang, W.; Wan, Y.; et al. A biomimetic conductive super-foldable material. Matter 2021, 4, 3232–3247. [Google Scholar] [CrossRef]
- Zan, G.; Wu, T.; Dong, W.; Zhou, J.; Tu, T.; Xu, R.; Chen, Y.; Wang, Y.; Wu, Q. Two-Level biomimetic designs enable intelligent stress dispersion for super-foldable C/NiS nanofiber free-standing electrode. Adv. Fiber Mater. 2022, 1–14. [Google Scholar] [CrossRef]
- Zhang, P.P.; Han, C.H.; Cheng, J.P.; Chen, X.G.; Ye, Y. Effect of lanthanum doping on the magnetic properties of ferrite prepared from oceanic manganese nodules. J. Inorg. Chem. 2008, 24, 4. [Google Scholar] [CrossRef]
- Huang, K.; Liu, G.H.; Tang, Z.; Sheng, S.Q.; Liu, X.S. Preparation and phase transition of lanthanum cobalt doped strontium ferrite. J. Anhui Univ. Nat. Sci. Ed. 2007, 31, 3. [Google Scholar] [CrossRef]
- Du, Y.; Cheng, Z.X.; Shahbazi, M.; Collings, E.W.; Dou, S.X.; Wang, X.L. Enhancement of ferromagnetic and dielectric properties in lanthanum doped BiFeO3 by hydrothermal synthesis. J. Alloys Compd. 2010, 490, 637–641. [Google Scholar] [CrossRef]
- Zhao, Q.; Pang, X.F.; Liu, L.W.; Deng, B.; Hu, W.C. Biological effects of nano iron oxide and its hydrate. J. Univ. Electron. Sci. Technol. 2007, 36, 4. [Google Scholar] [CrossRef]
- Miah, M.; Bhattacharya, S.; Dinda, D.; Saha, S.K. Temperature dependent supercapacitive performance in La2O3 nano sheet decorated reduce graphene oxide. J. Electrochim. Acta 2018, 260, 449–458. [Google Scholar] [CrossRef]
- Wu, Y.; Pang, A.M.; Hu, L.; He, G.S.; Zhang, Y.Y.; Zhang, L.X. Preparation and catalytic performance of nano-α-Fe2O3/(IPDI-HTPB) composite particles. J. Chem. 2020, 78, 7. [Google Scholar] [CrossRef]
- Zhou, L.Q.; Wang, C.W.; Yang, N.H.; Liang, Y.G.; Yuan, L.J.; Li, M.; Cheng, J.G.; Sun, J.T. Synthesis and properties of Cr2O3 nano powder. J. Wuhan Univ. Sci. Ed. 2005, 51, 4. [Google Scholar] [CrossRef]
- Chen, J.Y.; Jiang, G.M.; Teng, Y.; Chen, D.D.; Gan, G.Y. Research on Infrared Spectra of (Fe,N) Doped TiO2 by the Electronegativity Principle. Spectrosc. Spectr. Anal. 2017, 37, 2305–2310. [Google Scholar]
- Zhang, J.B.; Yang, C.; Zhang, C.S.; Gao, G.Q. Effect of gas nitriding on corrosion resistance of carbon steel and valence electron theoretical analysis of compound layer. Corros. Prot. 2018, 39, 207–212. [Google Scholar] [CrossRef]
- Yi, J.L.; Liu, M.H.; Chen, J.; Wu, S.L.; Zhao, L.L.; Song, Y.Z. Effect of Alodine 1200s chemical conversion treatment time on the corrosion resistance of a new 2198 Al-Li alloy. J. Corros. Prot. 2012, 33, 5. [Google Scholar]
- Xu, A.; Zhang, F.; Jin, F.; Zhang, R.; Luo, B.; Zhang, T. The evaluation of coating performance by analyzing the intersection of bode plots. Int. J. Electrochem. Sci. 2014, 9, 5116–5125. [Google Scholar]












| Material | Feeding Amounts/g |
|---|---|
| H2O | 58.0 |
| Dispersing agent | 0.3–0.4 |
| Defoamer | 0.2–0.3 |
| Coalescent | 3.0–3.2 |
| Ethylene glycol | 1.5–1.6 |
| Iron oxide | 18–30 |
| Ammonia | 0.3–0.4 |
| Acrylic resin | 66.0 |
| Thickening agent | 0.2–0.4 |
| Sample | Average Crystal Size/nm | Lattice Constant a/nm | Lattice Constant b/nm | Lattice Constant c/nm |
|---|---|---|---|---|
| α-Fe2O3(u) | 99.5 | 0.50273 | 0.50273 | 1.37762 |
| La-doped α-Fe2O3(4) | 41.7 | 0.50351 | 0.50351 | 1.37696 |
| La-doped α-Fe2O3(6) | 83.3 | 0.50353 | 0.50353 | 1.37551 |
| La-doped α-Fe2O3(8) | 79.8 | 0.50344 | 0.50344 | 1.37672 |
| Lattice Parameters | |||
|---|---|---|---|
| Average Fe-O Bond Length/Å | Fe-O Bond Energy/(kcal·mol−1) | Lattice Constants a/Å | |
| α-Fe2O3(u) | 1.928 | 58.653 | 4.780 |
| La-doped α-Fe2O3 | 1.884 | 244.352 | 4.950 |
Publisher’s Note: MDPI stays neutral with regard to jurisdictional claims in published maps and institutional affiliations. |
© 2022 by the authors. Licensee MDPI, Basel, Switzerland. This article is an open access article distributed under the terms and conditions of the Creative Commons Attribution (CC BY) license (https://creativecommons.org/licenses/by/4.0/).
Share and Cite
Wang, H.; Shi, P.; Ning, J. Synthesis, Characterization, and Electrochemical Properties of La-Doped α-Fe2O3 Nanoparticles. Nanomaterials 2022, 12, 3346. https://doi.org/10.3390/nano12193346
Wang H, Shi P, Ning J. Synthesis, Characterization, and Electrochemical Properties of La-Doped α-Fe2O3 Nanoparticles. Nanomaterials. 2022; 12(19):3346. https://doi.org/10.3390/nano12193346
Chicago/Turabian StyleWang, Hewei, Peiyang Shi, and Junxiang Ning. 2022. "Synthesis, Characterization, and Electrochemical Properties of La-Doped α-Fe2O3 Nanoparticles" Nanomaterials 12, no. 19: 3346. https://doi.org/10.3390/nano12193346
APA StyleWang, H., Shi, P., & Ning, J. (2022). Synthesis, Characterization, and Electrochemical Properties of La-Doped α-Fe2O3 Nanoparticles. Nanomaterials, 12(19), 3346. https://doi.org/10.3390/nano12193346

