An Efficient Voltammetric Sensor Based on Graphene Oxide-Decorated Binary Transition Metal Oxides Bi2O3/MnO2 for Trace Determination of Lead Ions
Abstract
:1. Introduction
2. Materials and Methods
2.1. Chemicals and Solutions
2.2. Preparation of Bi2O3/MnO2/GO Nanocomposites
2.2.1. Preparation of Dandelion-like α-MnO2 Microspheres
2.2.2. Synthesis of Flower-like β-Bi2O3 Microspheres
2.2.3. Preparation of Bi2O3/MnO2/GO Nanocomposites
2.3. Characterizations of Sensing Materials
2.4. Fabrication of Modified Electrodes
2.5. Electrochemical Measurements
3. Results and Discussion
3.1. Physical Characterization
3.2. Electrochemical Properties of Different Electrodes
3.3. Stripping Voltammetric Responses of Pb2+ on Different Electrodes
3.4. Optimization of Determination Conditions
3.4.1. Effect of Deposition Parameters
3.4.2. Effect of Solution pH
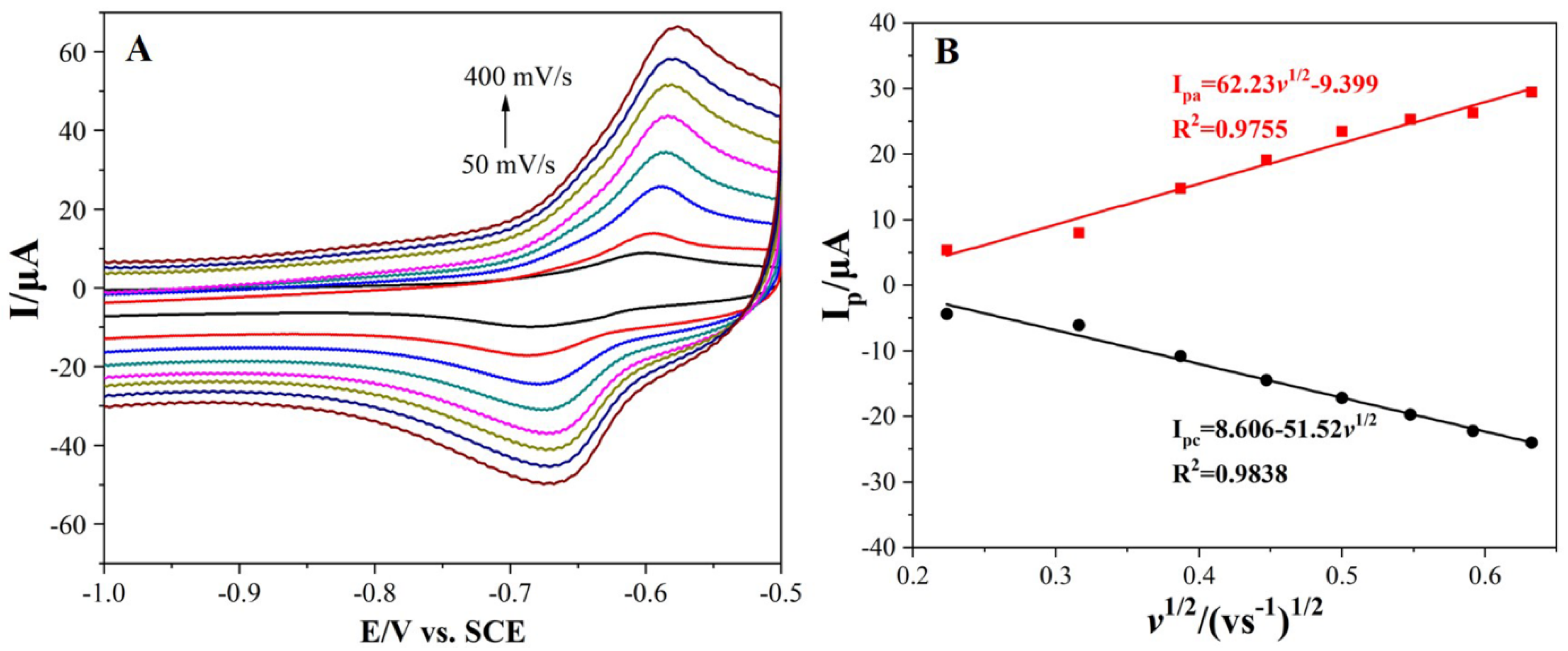
3.5. Stripping Kinetics of Pb2+ on the Bi2O3/MnO2/GO/GCE
3.6. Calibration Plot, LDR, and LOD
3.7. Anti-Interference Ability
3.8. Reproducibility, Repeatability and Stability
3.9. Determination of Trace Pb2+ in Water Samples
4. Conclusions
Supplementary Materials
Author Contributions
Funding
Institutional Review Board Statement
Informed Consent Statement
Data Availability Statement
Conflicts of Interest
References
- Guo, H.; Wang, D.; Chen, J.; Weng, W.; Huang, M.; Zheng, Z. Simple fabrication of flake-like NH2-MIL-53(Cr) and its application as an electrochemical sensor for the detection of Pb2+. Chem. Eng. J. 2016, 289, 479–485. [Google Scholar] [CrossRef]
- Hwang, J.-H.; Wang, X.; Zhao, D.; Rex, M.M.; Cho, H.J.; Lee, W.H. A novel nanoporous bismuth electrode sensor for in situ heavy metal detection. Electrochim. Acta 2019, 298, 440–448. [Google Scholar] [CrossRef]
- Steenland, K.; Boffetta, P. Lead and cancer in humans: Where are we now? Am. J. Ind. Med. 2000, 38, 295–299. [Google Scholar] [CrossRef]
- Beltrán, B.; Leal, L.O.; Ferrer, L.; Cerdà, V. Determination of lead by atomic fluorescence spectrometry using an automated extraction/pre-concentration flow system. J. Anal. At. Spectrom. 2015, 30, 1072–1079. [Google Scholar] [CrossRef]
- Sengan, M.; Kamlekar, R.K.; Veerappan, A. Highly selective rapid colorimetric sensing of Pb2+ ion in water samples and paint based on metal induced aggregation of N-decanoyltromethamine capped gold nanoparticles. Spectrochim. Acta A 2020, 239, 118485. [Google Scholar] [CrossRef] [PubMed]
- Ghaedi, M.; Ahmadi, F.; Shokrollahi, A. Simultaneous preconcentration and determination of copper, nickel, cobalt and lead ions content by flame atomic absorption spectrometry. J. Hazard. Mater. 2007, 142, 272–278. [Google Scholar] [CrossRef]
- Townsend, A.T.; Miller, K.A.; McLean, S.; Aldous, S. The determination of copper, zinc, cadmium and lead in urine by high resolution ICP-MS. J. Anal. At. Spectrom. 1998, 13, 1213–1219. [Google Scholar] [CrossRef]
- Kagaya, S.; Mizuno, T.; Tohda, K. Inductively coupled plasma atomic emission spectrometric determination of 27 trace elements in table salts after coprecipitation with indium phosphate. Talanta 2009, 79, 512–516. [Google Scholar] [CrossRef] [PubMed]
- Li, Q.; Wu, J.-T.; Liu, Y.; Qi, X.-M.; Jin, H.-G.; Yang, C.; Liu, J.; Li, G.-L.; He, Q.-G. Recent advances in black phosphorus-based electrochemical sensors: A review. Anal. Chim. Acta 2021, 1170, 338480. [Google Scholar] [CrossRef] [PubMed]
- Sawan, S.; Maalouf, R.; Errachid, A.; Jaffrezic-Renault, N. Metal and metal oxide nanoparticles in the voltammetric detection of heavy metals: A review. TrAC Trends Anal. Chem. 2020, 131, 116014. [Google Scholar] [CrossRef]
- Economou, A.; Fielden, P.R. Mercury film electrodes: Developments, trends and potentialities for electroanalysis. Analyst 2003, 128, 205–213. [Google Scholar] [CrossRef] [PubMed]
- Shen, Y.; Li, X.; Chen, W.; Cheng, F.; Song, F. Electrochemical determination of indole butyric acid by differential pulse voltammetry on hanging mercury drops electrode. J. Plant Biochem. Biotechnol. 2013, 22, 319–323. [Google Scholar] [CrossRef]
- Lezi, N.; Economou, A.; Dimovasilis, P.A.; Trikalitis, P.N.; Prodromidis, M.I. Disposable screen-printed sensors modified with bismuth precursor compounds for the rapid voltammetric screening of trace Pb(II) and Cd(II). Anal. Chim. Acta 2012, 728, 1–8. [Google Scholar] [CrossRef] [PubMed]
- Švancara, I.; Prior, C.; Hočevar, S.B.; Wang, J. A Decade with Bismuth-Based Electrodes in Electroanalysis. Electroanalysis 2010, 22, 1405–1420. [Google Scholar] [CrossRef]
- Hu, J.-S.; Zhong, L.-S.; Song, W.-G.; Wan, L.-J. Synthesis of Hierarchically Structured Metal Oxides and their Application in Heavy Metal Ion Removal. Adv. Mater. 2008, 20, 2977–2982. [Google Scholar] [CrossRef]
- Jin, W.; Fu, Y.; Hu, M.; Wang, S.; Liu, Z. Highly efficient SnS-decorated Bi2O3 nanosheets for simultaneous electrochemical detection and removal of Cd(II) and Pb(II). J. Electroanal. Chem. 2020, 856, 113744. [Google Scholar] [CrossRef]
- Ma, S.-B.; Nam, K.-W.; Yoon, W.-S.; Yang, X.-Q.; Ahn, K.-Y.; Oh, K.-H.; Kim, K.-B. Electrochemical properties of manganese oxide coated onto carbon nanotubes for energy-storage applications. J. Power Sources 2008, 178, 483–489. [Google Scholar] [CrossRef]
- Li, Q.; Xia, Y.; Wan, X.; Yang, S.; Cai, Z.; Ye, Y.; Li, G. Morphology-dependent MnO2/nitrogen-doped graphene nanocomposites for simultaneous detection of trace dopamine and uric acid. Mater. Sci. Eng. C 2020, 109, 110615. [Google Scholar] [CrossRef]
- Su, Q.; Pan, B.; Wan, S.; Zhang, W.; Lv, L. Use of hydrous manganese dioxide as a potential sorbent for selective removal of lead, cadmium, and zinc ions from water. J. Colloid Interface Sci. 2010, 349, 607–612. [Google Scholar] [CrossRef]
- Tripathy, S.S.; Bersillon, J.-L.; Gopal, K. Adsorption of Cd2+ on hydrous manganese dioxide from aqueous solutions. Desalination 2006, 194, 11–21. [Google Scholar] [CrossRef]
- Wang, L.; Lei, T.; Ren, Z.; Jiang, X.; Yang, X.; Bai, H.; Wang, S. Fe3O4@PDA@MnO2 core-shell nanocomposites for sensitive electrochemical detection of trace Pb(II) in water. J. Electroanal. Chem. 2020, 864, 114065. [Google Scholar] [CrossRef]
- Zhang, Q.-X.; Wen, H.; Peng, D.; Fu, Q.; Huang, X.-J. Interesting interference evidences of electrochemical detection of Zn(II), Cd(II) and Pb(II) on three different morphologies of MnO2 nanocrystals. J. Electroanal. Chem. 2015, 739, 89–96. [Google Scholar] [CrossRef]
- Mališić, M.; Janošević, A.; Šljukić Paunković, B.; Stojković, I.; Ćirić-Marjanović, G. Exploration of MnO2/carbon composites and their application to simultaneous electroanalytical determination of Pb(II) and Cd(II). Electrochim. Acta 2012, 74, 158–164. [Google Scholar] [CrossRef]
- Wang, J.; Yang, X.; Zhao, K.; Xu, P.; Zong, L.; Yu, R.; Wang, D.; Deng, J.; Chen, J.; Xing, X. Precursor-induced fabrication of β-Bi2O3 microspheres and their performance as visible-light-driven photocatalysts. J. Mater. Chem. A 2013, 1, 9069–9074. [Google Scholar] [CrossRef]
- Li, L.; Ma, D.-K.; Qi, F.; Chen, W.; Huang, S. Bi nanoparticles/Bi2O3 nanosheets with abundant grain boundaries for efficient electrocatalytic CO2 reduction. Electrochim. Acta 2019, 298, 580–586. [Google Scholar] [CrossRef]
- Mane, S.A.; Kashale, A.A.; Kamble, G.P.; Kolekar, S.S.; Dhas, S.D.; Patil, M.D.; Moholkar, A.V.; Sathe, B.R.; Ghule, A.V. Facile synthesis of flower-like Bi2O3 as an efficient electrode for high performance asymmetric supercapacitor. J. Alloys Compd. 2022, 926, 166722. [Google Scholar] [CrossRef]
- Yang, S.; Qian, L.; Ping, Y.; Zhang, H.; Li, J.; Xiong, B.; Fang, P.; He, C. Electrochemical performance of Bi2O3 supercapacitors improved by surface vacancy defects. Ceram. Int. 2021, 47, 8290–8299. [Google Scholar] [CrossRef]
- Li, J.; Chen, D.; Zhang, Q.; Zhang, Y.; Wang, X.; Yang, C.; Wu, Q. Synthesis of Sponge-Like Bi2O3 by Using a Soft/Hard-Combined Biomembrane Support System for Application as Supercapacitor. Eur. J. Inorg. Chem. 2018, 2018, 1688–1692. [Google Scholar] [CrossRef]
- Manjula, N.; Chen, T.-W.; Chen, S.-M.; Lou, B.-S. Sonochemical Synthesis and Characterization of Rod-Shaped Bi2O3/ZnO Anchored with f-MWCNT Nanocomposite for the Electrochemical Determination of Ofloxacin. J. Electrochem. Soc. 2021, 168, 087506. [Google Scholar] [CrossRef]
- Li, G.; Qi, X.; Zhang, G.; Wang, S.; Li, K.; Wu, J.; Wan, X.; Liu, Y.; Li, Q. Low-cost voltammetric sensors for robust determination of toxic Cd(II) and Pb(II) in environment and food based on shuttle-like α-Fe2O3 nanoparticles decorated β-Bi2O3 microspheres. Microchem. J. 2022, 179, 107515. [Google Scholar] [CrossRef]
- Zeinu, K.M.; Hou, H.; Liu, B.; Yuan, X.; Huang, L.; Zhu, X.; Hu, J.; Yang, J.; Liang, S.; Wu, X. A novel hollow sphere bismuth oxide doped mesoporous carbon nanocomposite material derived from sustainable biomass for picomolar electrochemical detection of lead and cadmium. J. Mater. Chem. A 2016, 4, 13967–13979. [Google Scholar] [CrossRef]
- Pauliukaite, R.; Metelka, R.; Švancara, I.; Królicka, A.; Bobrowski, A.; Vytřas, K.; Norkus, E.; Kalcher, K. Carbon paste electrodes modified with Bi2O3 as sensors for the determination of Cd and Pb. Anal. Bioanal.Chem. 2002, 374, 1155–1158. [Google Scholar] [CrossRef] [PubMed]
- Pérez, M.A.; López Teijelo, M. Cathodic behavior of bismuth. I. Ellipsometric study of the electroreduction of thin Bi2O3 films. J. Electroanal. Chem. 2005, 583, 212–220. [Google Scholar] [CrossRef]
- Wei, L.; Karahan, H.E.; Zhai, S.; Liu, H.; Chen, X.; Zhou, Z.; Lei, Y.; Liu, Z.; Chen, Y. Amorphous Bimetallic Oxide–Graphene Hybrids as Bifunctional Oxygen Electrocatalysts for Rechargeable Zn–Air Batteries. Adv. Mater. 2017, 29, 1701410. [Google Scholar] [CrossRef] [PubMed]
- Chen, D.; Chen, C.; Baiyee, Z.M.; Shao, Z.; Ciucci, F. Nonstoichiometric Oxides as Low-Cost and Highly-Efficient Oxygen Reduction/Evolution Catalysts for Low-Temperature Electrochemical Devices. Chem. Rev. 2015, 115, 9869–9921. [Google Scholar] [CrossRef]
- Pu, Y.; Wu, Y.; Yu, Z.; Lu, L.; Wang, X. Simultaneous determination of Cd2+ and Pb2+ by an electrochemical sensor based on Fe3O4/Bi2O3/C3N4 nanocomposites. Talanta Open 2021, 3, 100024. [Google Scholar] [CrossRef]
- Wei, J.; Zhao, J.; Li, C.-Y.; Xie, X.-Y.; Wei, Y.-Y.; Shen, W.; Wang, J.-P.; Yang, M. Highly sensitive and selective electrochemical detection of Pb(II) in serum via an α-Fe2O3/NiO heterostructure: Evidence from theoretical calculations and adsorption investigation. Sens. Actuators B Chem. 2021, 344, 130295. [Google Scholar] [CrossRef]
- Das, T.R.; Sharma, P.K. Sensitive and selective electrochemical detection of Cd2+ by using bimetal oxide decorated Graphene oxide (Bi2O3/Fe2O3@GO) electrode. Microchem. J. 2019, 147, 1203–1214. [Google Scholar] [CrossRef]
- Shaikh, Z.A.; Shinde, P.V.; Shaikh, S.F.; Al-Enizi, A.M.; Mane, R.S. Facile synthesis of Bi2O3@MnO2 nanocomposite material: A promising electrode for high performance supercapacitors. Solid State Sci. 2020, 102, 106158. [Google Scholar] [CrossRef]
- Ng, C.H.; Lim, H.N.; Hayase, S.; Zainal, Z.; Shafie, S.; Huang, N.M. Effects of Temperature on Electrochemical Properties of Bismuth Oxide/Manganese Oxide Pseudocapacitor. Ind. Eng. Chem. Res. 2018, 57, 2146–2154. [Google Scholar] [CrossRef]
- Ray, C.; Dutta, S.; Roy, A.; Sahoo, R.; Pal, T. Redox mediated synthesis of hierarchical Bi2O3/MnO2 nanoflowers: A non-enzymatic hydrogen peroxide electrochemical sensor. Dalton Trans. 2016, 45, 4780–4790. [Google Scholar] [CrossRef] [PubMed]
- Zheng, D.; Hu, H.; Liu, X.; Hu, S. Application of graphene in elctrochemical sensing. Curr. Opin. Colloid Interface Sci. 2015, 20, 383–405. [Google Scholar] [CrossRef]
- Liu, J.; Liu, W.; Wang, Y.; Xu, M.; Wang, B. A novel reusable nanocomposite adsorbent, xanthated Fe3O4-chitosan grafted onto graphene oxide, for removing Cu(II) from aqueous solutions. Appl. Surf. Sci. 2016, 367, 327–334. [Google Scholar] [CrossRef]
- Heitzmann, M.; Bucher, C.; Moutet, J.-C.; Pereira, E.; Rivas, B.L.; Royal, G.; Saint-Aman, E. Complexation of poly(pyrrole-EDTA like) film modified electrodes: Application to metal cations electroanalysis. Electrochim. Acta 2007, 52, 3082–3087. [Google Scholar] [CrossRef]
- Huang, W.; Zhang, Y.; Li, Y.; Zeng, T.; Wan, Q.; Yang, N. Morphology-controlled electrochemical sensing of environmental Cd2+ and Pb2+ ions on expanded graphite supported CeO2 nanomaterials. Anal. Chim. Acta 2020, 1126, 63–71. [Google Scholar] [CrossRef]
- Zhang, Q.-X.; Peng, D.; Huang, X.-J. Effect of morphology of α-MnO2 nanocrystals on electrochemical detection of toxic metal ions. Electrochem. Commun. 2013, 34, 270–273. [Google Scholar] [CrossRef]
- Zheng, X.; Yu, L.; Lan, B.; Cheng, G.; Lin, T.; He, B.; Ye, W.; Sun, M.; Ye, F. Three-dimensional radial α-MnO2 synthesized from different redox potential for bifunctional oxygen electrocatalytic activities. J. Power Sources 2017, 362, 332–341. [Google Scholar] [CrossRef]
- Li, G.; Wu, J.; Jin, H.; Xia, Y.; Liu, J.; He, Q.; Chen, D. Titania/Electro-Reduced Graphene Oxide Nanohybrid as an Efficient Electrochemical Sensor for the Determination of Allura Red. Nanomaterials 2020, 10, 307. [Google Scholar] [CrossRef]
- He, Q.; Liu, J.; Liu, X.; Li, G.; Deng, P.; Liang, J. Manganese dioxide Nanorods/electrochemically reduced graphene oxide nanocomposites modified electrodes for cost-effective and ultrasensitive detection of Amaranth. Colloids Surf. B 2018, 172, 565–572. [Google Scholar] [CrossRef]
- Li, G.; Wang, S.; Li, M.; Duan, Y.Y. Towards real-life EEG applications: Novel superporous hydrogel-based semi-dry EEG electrodes enabling automatically ‘charge–discharge’ electrolyte. J. Neural Eng. 2021, 18, 046016. [Google Scholar] [CrossRef]
- Li, G.; Ren, M.; Zhou, H. Observably boosted electrochemical performances of roughened graphite sheet/polyaniline electrodes for use in flexible supercapacitors. Surf. Interfaces 2022, 30, 101874. [Google Scholar] [CrossRef]
- Li, G.; Wu, J.; Xia, Y.; He, Q.; Jin, H. Review of semi-dry electrodes for EEG recording. J. Neural Eng. 2020, 17, 051004. [Google Scholar] [CrossRef] [PubMed]
- Li, G.; Qi, X.; Wu, J.; Xu, L.; Wan, X.; Liu, Y.; Chen, Y.; Li, Q. Ultrasensitive, label-free voltammetric determination of norfloxacin based on molecularly imprinted polymers and Au nanoparticle-functionalized black phosphorus nanosheet nanocomposite. J. Hazard. Mater. 2022, 436, 129107. [Google Scholar] [CrossRef]
- Li, G.; Wu, J.; Qi, X.; Wan, X.; Liu, Y.; Chen, Y.; Xu, L. Molecularly imprinted polypyrrole film-coated poly(3,4-ethylenedioxythiophene):polystyrene sulfonate-functionalized black phosphorene for the selective and robust detection of norfloxacin. Mater. Today Chem. 2022, 26, 101043. [Google Scholar] [CrossRef]
- Ping, J.; Wang, Y.; Wu, J.; Ying, Y. Development of an electrochemically reduced graphene oxide modified disposable bismuth film electrode and its application for stripping analysis of heavy metals in milk. Food Chem. 2014, 151, 65–71. [Google Scholar] [CrossRef] [PubMed]
- Zhou, W.; Li, C.; Sun, C.; Yang, X. Simultaneously determination of trace Cd2+ and Pb2+ based on L-cysteine/graphene modified glassy carbon electrode. Food Chem. 2016, 192, 351–357. [Google Scholar] [CrossRef]
- Yao, Y.; Wu, H.; Ping, J. Simultaneous determination of Cd(II) and Pb(II) ions in honey and milk samples using a single-walled carbon nanohorns modified screen-printed electrochemical sensor. Food Chem. 2019, 274, 8–15. [Google Scholar] [CrossRef] [PubMed]
- Maleki, B.; Baghayeri, M.; Ghanei-Motlagh, M.; Mohammadi Zonoz, F.; Amiri, A.; Hajizadeh, F.; Hosseinifar, A.; Esmaeilnezhad, E. Polyamidoamine dendrimer functionalized iron oxide nanoparticles for simultaneous electrochemical detection of Pb2+ and Cd2+ ions in environmental waters. Measurement 2019, 140, 81–88. [Google Scholar] [CrossRef]
- Yang, Z.-H.; Wu, X.-Y.; Liu, X.-C.; Xu, M.-M. One-step Bridging of g-C3N4 and Graphene Oxide by Successive Electrolysis for Constructing Electrochemical Sensor of Pb2+. Chin. J. Anal. Chem. 2021, 49, e21179–e21186. [Google Scholar] [CrossRef]
- Nie, J.; He, B.; Cheng, Y.; Yin, W.; Hou, C.; Huo, D.; Qian, L.; Qin, Y.; Fa, H. Design of L-cysteine functionalized Au@SiO2@ Fe3O4/nitrogen-doped graphene nanocomposite and its application in electrochemical detection of Pb2+. Chem. Res. Chin. Univ. 2017, 33, 951–957. [Google Scholar] [CrossRef]
- Xu, X.; Duan, G.; Li, Y.; Liu, G.; Wang, J.; Zhang, H.; Dai, Z.; Cai, W. Fabrication of Gold Nanoparticles by Laser Ablation in Liquid and Their Application for Simultaneous Electrochemical Detection of Cd2+, Pb2+, Cu2+, Hg2+. ACS Appl. Mater. Interfaces 2014, 6, 65–71. [Google Scholar] [CrossRef]
- Wang, D.; Ke, Y.; Guo, D.; Guo, H.; Chen, J.; Weng, W. Facile fabrication of cauliflower-like MIL-100(Cr) and its simultaneous determination of Cd2+, Pb2+, Cu2+ and Hg2+ from aqueous solution. Sens. Actuators B 2015, 216, 504–510. [Google Scholar] [CrossRef]
- Jarczewska, M.; Kierzkowska, E.; Ziółkowski, R.; Górski, Ł.; Malinowska, E. Electrochemical oligonucleotide-based biosensor for the determination of lead ion. Bioelectrochemistry 2015, 101, 35–41. [Google Scholar] [CrossRef] [PubMed]
- Yang, D.; Wang, L.; Chen, Z.; Megharaj, M.; Naidu, R. Anodic stripping voltammetric determination of traces of Pb (II) and Cd (II) using a glassy carbon electrode modified with bismuth nanoparticles. Microchim. Acta 2014, 181, 1199–1206. [Google Scholar] [CrossRef]








| Electrode | Ipc | Electroactive Area | Roughness Factor | Rct |
|---|---|---|---|---|
| GCE | 32.83 μA | 7.00 mm2 | 0.990 | 4126 Ω |
| GO/GCE | 35.86 μA | 7.65 mm2 | 1.082 | 2815 Ω |
| Bi2O3/GO/GCE | 44.58 μA | 9.50 mm2 | 1.344 | 2632 Ω |
| MnO2/GO/GCE | 48.94 μA | 10.43 mm2 | 1.475 | 1898 Ω |
| Bi2O3/MnO2/GO/GCE | 58.94 μA | 12.57 mm2 | 1.778 | 1761 Ω |
| Electrodes | Method | LDR (μg L−1) | LOD (μg L−1) | Refs. |
|---|---|---|---|---|
| α-Fe2O3/NiO/GCE | SWASV | 10.4–186 | 4.14 | [37] |
| BiF/ERGO/SPE | SWASV | 1.00–60.0 | 0.80 | [55] |
| Fe3O4/Bi2O3/C3N4/GCE | SWASV | 2.07–622 | 0.21 | [36] |
| SnS-Bi2O3/GCE | SWASV | 20.7–207 | 0.29 | [16] |
| L-Cys/GR–CS/GCE | DPASV | 1.04–64.1 | 0.12 | [56] |
| SWCNHs/SPE | SWASV | 1.0–60.0 | 0.40 | [57] |
| Bi2O3/CPE | DPASV | 10.0–100 | 5.00 | [32] |
| Fe3O4@G2-PAD/CPE | SWASV | 0.50–80.0 | 0.17 | [58] |
| g-C3N4/r-GO/GCE | SWASV | 1.00–300 | 0.15 | [59] |
| L-cysine/Au@SiO2 @Fe3O4/NG/GCE | SWASV | 5.00–80 | 0.60 | [60] |
| AuNPs/GCE | DPASV | 62.1–290 | 62.0 | [61] |
| MIL-100(Cr)/GCE | SWASV | 207–2070 | 9.94 | [62] |
| TBA/MCH-Au | SWASV | 10.4–207 | 7.18 | [63] |
| BiNPs/GCE | SWASV | 5.00–60 | 0.80 | [64] |
| Bi2O3/MnO2/GO/GCE | SWASV | 2.07–2072 | 0.41 | This work |
| Samples | Detected (μM) | Added (μM) | Found (μM) | RSD (%) | Recovery (%) |
|---|---|---|---|---|---|
| Lake water | 0.121 | 0.100 | 0.226 | 5.89 | 105% |
| Lake water | 0.121 | 0.200 | 0.312 | 4.72 | 95.5% |
| Tap water | ND | 0.100 | 0.104 | 4.26 | 104% |
| Tap water | ND | 0.500 | 0.492 | 3.83 | 98.4% |
Publisher’s Note: MDPI stays neutral with regard to jurisdictional claims in published maps and institutional affiliations. |
© 2022 by the authors. Licensee MDPI, Basel, Switzerland. This article is an open access article distributed under the terms and conditions of the Creative Commons Attribution (CC BY) license (https://creativecommons.org/licenses/by/4.0/).
Share and Cite
Li, G.; Qi, X.; Xiao, Y.; Zhao, Y.; Li, K.; Xia, Y.; Wan, X.; Wu, J.; Yang, C. An Efficient Voltammetric Sensor Based on Graphene Oxide-Decorated Binary Transition Metal Oxides Bi2O3/MnO2 for Trace Determination of Lead Ions. Nanomaterials 2022, 12, 3317. https://doi.org/10.3390/nano12193317
Li G, Qi X, Xiao Y, Zhao Y, Li K, Xia Y, Wan X, Wu J, Yang C. An Efficient Voltammetric Sensor Based on Graphene Oxide-Decorated Binary Transition Metal Oxides Bi2O3/MnO2 for Trace Determination of Lead Ions. Nanomaterials. 2022; 12(19):3317. https://doi.org/10.3390/nano12193317
Chicago/Turabian StyleLi, Guangli, Xiaoman Qi, Yang Xiao, Yuchi Zhao, Kanghua Li, Yonghui Xia, Xuan Wan, Jingtao Wu, and Chun Yang. 2022. "An Efficient Voltammetric Sensor Based on Graphene Oxide-Decorated Binary Transition Metal Oxides Bi2O3/MnO2 for Trace Determination of Lead Ions" Nanomaterials 12, no. 19: 3317. https://doi.org/10.3390/nano12193317
APA StyleLi, G., Qi, X., Xiao, Y., Zhao, Y., Li, K., Xia, Y., Wan, X., Wu, J., & Yang, C. (2022). An Efficient Voltammetric Sensor Based on Graphene Oxide-Decorated Binary Transition Metal Oxides Bi2O3/MnO2 for Trace Determination of Lead Ions. Nanomaterials, 12(19), 3317. https://doi.org/10.3390/nano12193317
