Multi-Band High-Efficiency Multi-Functional Polarization Controller Based on Terahertz Metasurface
Abstract
:1. Introduction
2. Theory and Structure Design
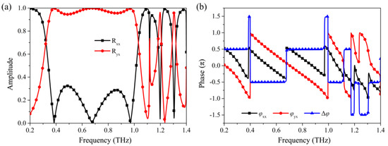
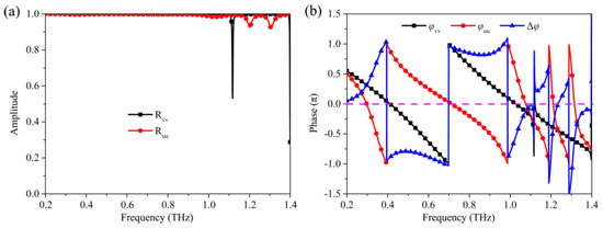
3. Results and Discussion
4. Conclusions
Author Contributions
Funding
Institutional Review Board Statement
Informed Consent Statement
Data Availability Statement
Acknowledgments
Conflicts of Interest
References
- Ferguson, B.; Zhang, X.C. Materials for terahertz science and technology. Nat. Mater. 2002, 1, 26–33. [Google Scholar] [CrossRef]
- Zhang, C.B.; Xue, T.J.; Zhang, J.; Liu, L.H.; Xie, J.H.; Wang, G.M.; Yao, J.Q.; Zhu, W.R.; Ye, X.D. Terahertz toroidal metasurface biosensor for sensitive distinction of lung cancer cells. Nanophotonics 2022, 11, 101–109. [Google Scholar] [CrossRef]
- Costley, A.E.; Hursey, K.H.; Neill, G.F.; Ward, J.M. Free-standing fine-wire grids: Their manufacture, performance, and use at millimeter and submillimeter wavelengths. J. Opt. Soc. Am. 1977, 67, 979–981. [Google Scholar] [CrossRef]
- Masson, J.B.; Gallot, G. Terahertz achromatic quarter-wave plate. Opt. Lett. 2006, 31, 265–267. [Google Scholar] [CrossRef]
- Yu, N.F.; Genevet, P.; Kats, M.A.; Aieta, F.; Tetienne, J.P.; Capasso, F.; Gaburro, Z. Wave propagation with phase discontinuities: Generalized laws of reflection and refraction. Science 2011, 334, 333–337. [Google Scholar] [CrossRef] [PubMed]
- Ma, Q.; Bai, G.D.; Jing, H.B.; Yang, C.; Li, L.L.; Cui, T.J. Smart metasurface with self-adaptively reprogrammable functions. Light Sci. Appl. 2019, 8, 98. [Google Scholar] [CrossRef] [PubMed]
- Xie, X.; Pu, M.B.; Jin, J.J.; Xu, M.F.; Guo, Y.H.; Li, X.; Gao, P.; Ma, X.L.; Luo, X.G. Generalized pancharatnam-berry phase in rotationally symmetric meta-atoms. Phys. Rev. Lett. 2021, 126, 183902. [Google Scholar] [CrossRef]
- Akram, M.R.; Mehmood, M.Q.; Bai, X.; Jin, R.H.; Premaratne, M.; Zhu, W.R. High efficiency ultrathin transmissive metasurfaces. Adv. Opt. Mater. 2019, 7, 1801628. [Google Scholar] [CrossRef]
- Ji, R.N.; Jin, C.; Song, K.; Wang, S.W.; Zhao, X.P. Design of multi-functional janus metasurface based on subwavelength grating. Nanomaterials 2021, 11, 1034. [Google Scholar] [CrossRef]
- Xu, H.X.; Hu, G.W.; Wang, Y.Z.; Wang, C.H.; Wang, M.Z.; Wang, S.J.; Huang, Y.J.; Genevet, P.; Huang, W.; Qiu, C.W. Polarization-insensitive 3D conformal-skin metasurface cloak. Light Sci. Appl. 2021, 10, 75. [Google Scholar] [CrossRef]
- Luo, J.; Chu, H.C.; Peng, R.W.; Wang, M.; Li, J.; Lai, Y. Ultra-broadband reflectionless Brewster absorber protected by reciprocity. Light Sci. Appl. 2021, 10, 89. [Google Scholar] [CrossRef] [PubMed]
- Ren, Z.; Cheng, L.; Hu, L.; Liu, C.X.; Jiang, C.X.; Yang, S.G.; Ma, Z.W.; Zhou, C.; Wang, H.M.; Zhu, X.B.; et al. Photoinduced broad-band tunable terahertz absorber based on a VO2 thin film. ACS Appl. Mater. Interfaces 2020, 12, 48811–48819. [Google Scholar] [CrossRef] [PubMed]
- Xie, T.; Chen, D.B.; Yang, H.P.; Xu, Y.H.; Zhang, Z.R.; Yang, J.B. Tunable broadband terahertz waveband absorbers based on fractal technology of graphene metamaterial. Nanomaterials 2021, 11, 269. [Google Scholar] [CrossRef] [PubMed]
- Wang, S.M.; Wu, P.C.; Su, V.C.; Lai, Y.C.; Chu, C.H.; Chen, J.W.; Lu, S.H.; Chen, J.; Xu, B.B.; Kuan, C.H.; et al. Broadband achromatic optical metasurface devices. Nat. Commun. 2017, 8, 187. [Google Scholar] [CrossRef]
- Ou, K.; Yu, F.L.; Li, G.H.; Wang, W.J.; Miroshnichenko, A.E.; Huang, L.J.; Wang, P.; Li, T.X.; Li, Z.F.; Chen, X.S.; et al. Mid-infrared polarization-controlled broadband achromatic metadevice. Sci. Adv. 2020, 6, eabc0711. [Google Scholar] [CrossRef]
- Hao, J.M.; Yuan, Y.; Ran, L.X.; Jiang, T.; Kong, J.A.; Chan, C.T.; Zhou, L. Manipulating electromagnetic wave polarizations by anisotropic metamaterials. Phys. Rev. Lett. 2007, 99, 063908. [Google Scholar] [CrossRef]
- Song, K.; Zhao, X.P.; Liu, Y.H.; Fu, Q.H.; Luo, C.R. A frequency-tunable 90°-polarization rotation device using composite chiral metamaterials. Appl. Phys. Lett. 2013, 103, 101908. [Google Scholar] [CrossRef]
- Gao, X.; Han, X.; Cao, W.P.; Li, H.O.; Ma, H.F.; Cui, T.J. Ultrawideband and high-efficiency linear polarization converter based on double V-shaped metasurface. IEEE Trans. Antennas Propag. 2015, 63, 3522–3530. [Google Scholar] [CrossRef]
- Kaschke, J.; Blume, L.; Wu, L.; Thiel, M.; Bade, K.; Yang, Z.Y.; Wegener, M. A helical metamaterial for broadband circular polarization conversion. Adv. Opt. Mater. 2015, 3, 1411–1417. [Google Scholar] [CrossRef]
- Song, K.; Su, Z.X.; Silva, S.; Fowler, C.; Ding, C.L.; Ji, R.N.; Liu, Y.; Zhao, X.P.; Zhou, J.F. Broadband and high-efficiency transmissive-type nondispersive polarization conversion meta-device. Opt. Mater. Express 2018, 8, 2430–2438. [Google Scholar] [CrossRef]
- Zhang, J.; Li, Z.F.; Zhang, C.B.; Shao, L.D.; Zhu, W.R. Graphene based metasurface for dynamic manipulation of microwave polarization. NPJ 2D Mater. Appl. 2022, 6, 47. [Google Scholar] [CrossRef]
- Jiang, X.Q.; Fan, W.H.; Qin, C.; Chen, X. Ultra-broadband polarization conversion metasurface with high transmission for efficient multi-functional wavefront manipulation in the terahertz range. Nanomaterials 2021, 11, 2895. [Google Scholar] [CrossRef] [PubMed]
- Ge, S.B.; Liu, W.G.; Sun, X.P.; Zhang, J.; Yang, P.F.; Xi, Y.X.; Zhou, S.; Zhu, Y.C.; Pu, X.X. Efficient achromatic broadband focusing and polarization manipulation of a novel designed multi-functional metasurface zone plate. Nanomaterials 2021, 11, 3436. [Google Scholar] [CrossRef] [PubMed]
- He, H.J.; Tang, S.W.; Zheng, Z.W.; Ding, F. Multi-functional all-dielectric metasurface quarter-wave plates for polarization conversion and wavefront shaping. Opt. Lett. 2022, 47, 2478–2481. [Google Scholar] [CrossRef]
- Pura, J.L.; Kabonire, R.; Abujetas, D.R.; Sánchez-Gil, J.A. Tailoring polarization conversion in achiral all-dielectric metasurfaces by using quasi-bound states in the continuum. Nanomaterials 2022, 12, 2252. [Google Scholar] [CrossRef] [PubMed]
- Zhou, J.; Chowdhury, D.R.; Zhao, R.; Azad, A.K.; Chen, H.T.; Soukoulis, C.M.; Taylor, A.J.; O’Hara, J.F. Terahertz chiral metamaterials with giant and dynamically tunable optical activity. Phys. Rev. B 2012, 86, 035448. [Google Scholar] [CrossRef]
- Cong, L.Q.; Cao, W.; Zhang, X.Q.; Tian, Z.; Gu, J.Q.; Singh, R.; Han, J.G.; Zhang, W.L. A perfect metamaterial polarization rotator. Appl. Phys. Lett. 2013, 103, 171107. [Google Scholar] [CrossRef]
- Jiang, S.C.; Xiong, X.; Hu, Y.S.; Hu, Y.H.; Ma, G.B.; Peng, R.W.; Sun, C.; Wang, M. Controlling the polarization state of wave with a dispersion-free metastructure. Phys. Rev. X 2014, 4, 021026. [Google Scholar]
- Quader, S.; Zhang, J.; Akram, M.R.; Zhu, W.R. Graphene-based high-efficiency broadband tunable linear-to-circular polarization converter for terahertz waves. IEEE J. Sel. Top. Quantum Electron. 2020, 26, 4501008. [Google Scholar] [CrossRef]
- Cai, T.; Tang, S.W.; Wang, G.M.; Xu, H.X.; Sun, S.L.; He, Q.; Zhou, L. High-performance bifunctional metasurfaces in transmission and reflection geometries. Adv. Opt. Mater. 2017, 5, 1600506. [Google Scholar] [CrossRef]
- Sell, D.; Yang, J.J.; Doshay, S.; Fan, J.A. Periodic dielectric metasurfaces with high-efficiency, multiwavelength functionalities. Adv. Opt. Mater. 2017, 5, 1700645. [Google Scholar] [CrossRef]
- Xia, J.B.; Zhu, F.; Bounds, J.; Aluauee, E.; Kolomenskii, A.; Dong, Q.; He, J.L.; Meadows, C.; Zhang, S.; Schuessler, H. Spectroscopic trace gas detection in air-based gas mixtures: Some methods and applications for breath analysis and environmental monitoring. J. Appl. Phys. 2022, 131, 220901. [Google Scholar] [CrossRef]
- Cheng, J.R.; Inampudi, S.; Mosallaei, H. Optimization-based dielectric metasurfaces for angle-selective multi-functional beam deflection. Sci. Rep. 2017, 7, 12228. [Google Scholar] [CrossRef] [PubMed]
- Aalizadeh, M.; Serebryannikov, A.E.; Ozbay, E.; Vandenbosch, G.A.E. A simple Mie-resonator based meta-array with diverse deflection scenarios enabling multi-functional operation at near-infrared. Nanophotonics 2020, 9, 4589–4600. [Google Scholar] [CrossRef]
- Balthasar, J.P.M.; Rubin, N.A.; Devlin, R.C.; Groever, B.; Capasso, F. Metasurface polarization optics: Independent phase control of arbitrary orthogonal states of polarization. Phys. Rev. Lett. 2017, 118, 113901. [Google Scholar] [CrossRef]
- Wang, H.L.; Ma, H.F.; Chen, M.; Sun, S.; Cui, T.J. A reconfigurable multi-functional metasurface for full-space controls of electromagnetic waves. Adv. Funct. Mater. 2021, 31, 2100275. [Google Scholar] [CrossRef]
- Shao, L.D.; Li, Z.F.; Zhang, Z.P.; Wang, X.; Zhu, W.R. Multi-channel metasurface for versatile wavefront and polarization manipulation. Adv. Mater. Technol. 2022, 7, 2200524. [Google Scholar] [CrossRef]
- Liu, M.Z.; Zhu, W.Q.; Huo, P.C.; Feng, L.; Song, M.W.; Zhang, C.; Chen, L.; Lezec, H.J.; Lu, Y.Q.; Agrawal, A.; et al. Multi-functional metasurfaces enabled by simultaneous and independent control of phase and amplitude for orthogonal polarization states. Light Sci. Appl. 2021, 10, 107. [Google Scholar] [CrossRef]
- Yu, Y.Z.; Xiao, F.J.; He, C.; Jin, R.H.; Zhu, W.R. Double-arrow metasurface for dual-band and dual-mode polarization conversion. Opt. Express 2020, 28, 11797–11805. [Google Scholar] [CrossRef]
- Zhen, Y.; Li, J.T.; Liu, J.Y.; Li, J.; Zheng, C.L.; Wang, G.C.; Xu, H.; Chen, M.Y.; Zhang, Y.T.; Zhang, Y.; et al. Versatile polarization conversion and wavefront shaping based on fully phase-modulated metasurface with complex amplitude modulation. Adv. Opt. Mater. 2022, 10, 2200733. [Google Scholar]
- Luo, J.; Shi, X.Z.; Luo, X.Q.; Hu, F.R.; Li, G.Y. Broadband switchable terahertz half-/quarter-wave plate based on metal-VO2 metamaterials. Opt. Express 2020, 28, 30861–30870. [Google Scholar] [CrossRef] [PubMed]
- Cai, X.D.; Tang, R.; Zhou, H.Y.; Li, Q.S.; Ma, S.J.; Wang, D.Y.; Liu, T.; Ling, X.H.; Tan, W.; He, Q.; et al. Holographic particle localization under multiple scattering. Adv. Photon. 2021, 3, 036003. [Google Scholar]
- Jiang, Y.; Wang, L.; Wang, J.; Akwuruoha, C.N.; Cao, W. Ultra-wideband high-efficiency reflective linear-to-circular polarization converter based on metasurface at terahertz frequencies. Opt. Express 2017, 25, 27616–27623. [Google Scholar] [CrossRef] [PubMed]
- Song, K.; Ji, R.N.; Shrestha, D.; Ding, C.L.; Liu, Y.H.; Zhu, W.R.; He, W.T.; Liu, H.D.; Guo, Y.H.; Tang, Y.K.; et al. High-efficiency and wide-angle versatile polarization controller based on metagratings. Materials 2019, 12, 623. [Google Scholar] [CrossRef] [PubMed]
- Chen, H.Y.; Wang, J.F.; Ma, H.; Qu, S.B.; Xu, Z.; Zhang, A.X.; Yan, M.B.; Li, Y.F. Ultra-wideband polarization conversion metasurfaces based on multiple plasmon resonances. J. Appl. Phys. 2014, 115, 154504. [Google Scholar] [CrossRef]
- Sun, H.Y.; Gu, C.Q.; Chen, X.L.; Li, Z.; Liu, L.L.; Mart, F. Ultra-wideband and broad-angle linear polarization conversion metasurface. J. Appl. Phys. 2017, 121, 174902. [Google Scholar] [CrossRef]
- Khan, M.I.; Khalid, Z.; Tahir, F.A. Linear and circular-polarization conversion in X-band using anisotropic metasurface. Sci. Rep. 2019, 9, 4552. [Google Scholar] [CrossRef]
- Grady, N.K.; Heyes, J.E.; Chowdhury, D.R.; Zeng, Y.; Reiten, M.T.; Azad, A.K.; Taylor, A.J.; Dalvit, D.A.R.; Chen, H.T. Terahertz metamaterials for linear polarization conversion and anomalous refraction. Science 2013, 340, 1304. [Google Scholar] [CrossRef] [Green Version]








Publisher’s Note: MDPI stays neutral with regard to jurisdictional claims in published maps and institutional affiliations. |
© 2022 by the authors. Licensee MDPI, Basel, Switzerland. This article is an open access article distributed under the terms and conditions of the Creative Commons Attribution (CC BY) license (https://creativecommons.org/licenses/by/4.0/).
Share and Cite
Chen, H.; Zhao, W.; Gong, X.; Du, L.; Cao, Y.; Zhai, S.; Song, K. Multi-Band High-Efficiency Multi-Functional Polarization Controller Based on Terahertz Metasurface. Nanomaterials 2022, 12, 3189. https://doi.org/10.3390/nano12183189
Chen H, Zhao W, Gong X, Du L, Cao Y, Zhai S, Song K. Multi-Band High-Efficiency Multi-Functional Polarization Controller Based on Terahertz Metasurface. Nanomaterials. 2022; 12(18):3189. https://doi.org/10.3390/nano12183189
Chicago/Turabian StyleChen, Huaijun, Wenxia Zhao, Xuejian Gong, Lianlian Du, Yunshan Cao, Shilong Zhai, and Kun Song. 2022. "Multi-Band High-Efficiency Multi-Functional Polarization Controller Based on Terahertz Metasurface" Nanomaterials 12, no. 18: 3189. https://doi.org/10.3390/nano12183189
APA StyleChen, H., Zhao, W., Gong, X., Du, L., Cao, Y., Zhai, S., & Song, K. (2022). Multi-Band High-Efficiency Multi-Functional Polarization Controller Based on Terahertz Metasurface. Nanomaterials, 12(18), 3189. https://doi.org/10.3390/nano12183189

