Enhancement of the Green H2 Production by Using TiO2 Composite Polybenzimidazole Membranes
Abstract
:1. Introduction
2. Experimental
2.1. Materials
2.2. Membrane Preparation
2.3. Chemical and Physicochemical Characterization
2.3.1. XRD & SEM
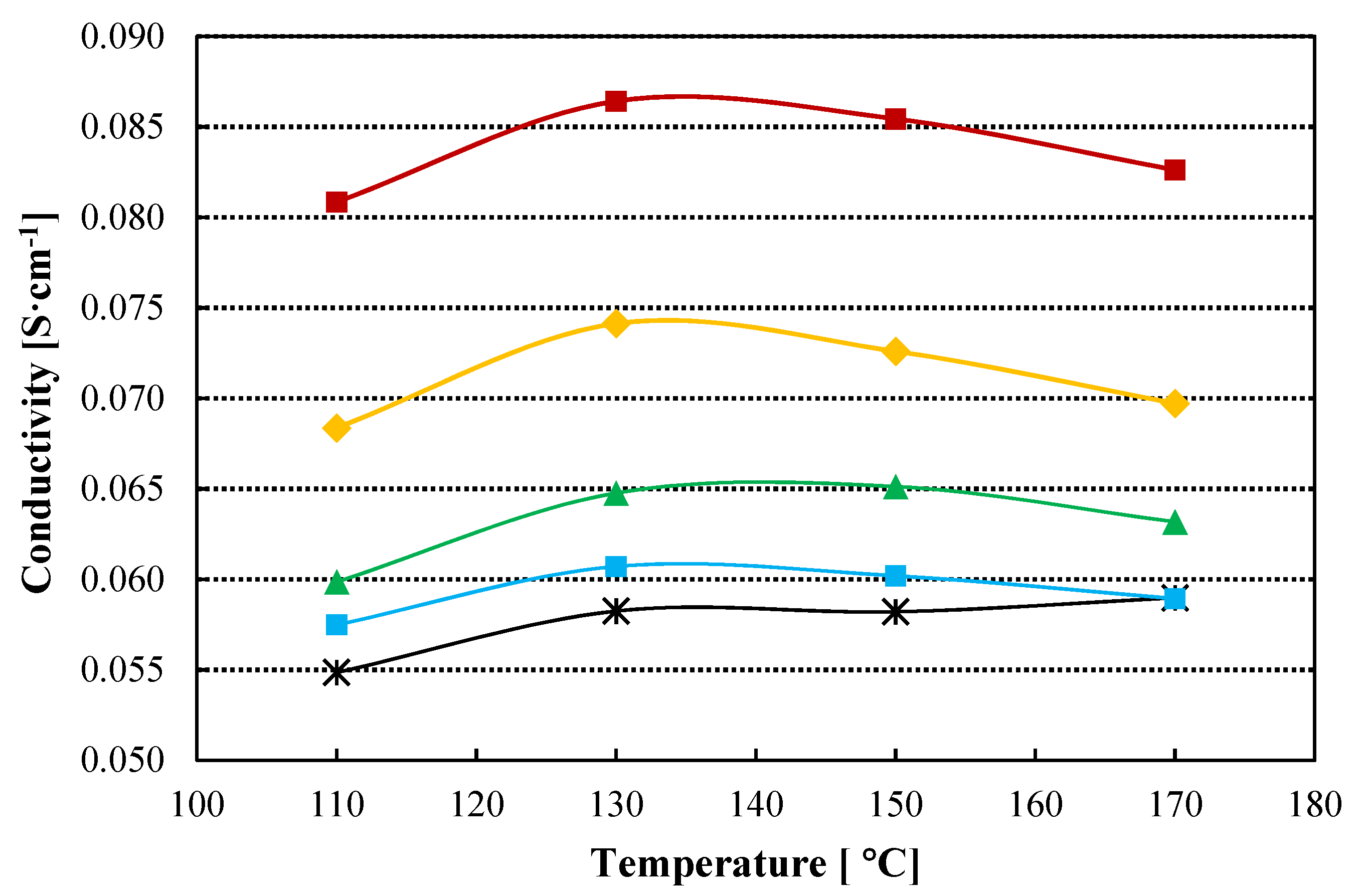
2.3.2. Ionic Conductivity
2.3.3. Acid Doping Level (ADL)
2.3.4. Phosphoric Acid Retention Capability
2.3.5. Contact Angle Measurement
2.3.6. Chemical Stability
2.4. SO2 Crossover Measurement
2.5. Sulfur Dioxide Depolarized Electroylsis
3. Results and Discussion
4. Conclusions
Supplementary Materials
Author Contributions
Funding
Institutional Review Board Statement
Informed Consent Statement
Data Availability Statement
Acknowledgments
Conflicts of Interest
References
- Sun, C.; Negro, E.; Vezzù, K.; Pagot, G.; Cavinato, G.; Nale, A.; Herve Bang, Y.; Di Noto, V. Hybrid Inorganic-Organic Proton-Conducting Membranes Based on SPEEK Doped with WO3 Nanoparticles for Application in Vanadium Redox Flow Batteries. Electrochim. Acta 2019, 309, 311–325. [Google Scholar] [CrossRef]
- Gahleitner, G. Hydrogen from Renewable Electricity: An International Review of Power-to-Gas Pilot Plants for Stationary Applications. Int. J. Hydrogen Energy 2013, 38, 2039–2061. [Google Scholar] [CrossRef]
- Tong, X.; Ovtar, S.; Brodersen, K.; Hendriksen, P.V.; Chen, M. A 4 × 4 Cm2 Nanoengineered Solid Oxide Electrolysis Cell for Efficient and Durable Hydrogen Production. ACS Appl. Mater. Interfaces 2019, 11, 25996–26004. [Google Scholar] [CrossRef] [PubMed]
- Caravaca, A.; De Lucas-Consuegra, A.; Calcerrada, A.B.; Lobato, J.; Valverde, J.L.; Dorado, F. From Biomass to Pure Hydrogen: Electrochemical Reforming of Bio-Ethanol in a PEM Electrolyser. Appl. Catal. B Environ. 2013, 134–135, 302–309. [Google Scholar] [CrossRef]
- Holladay, J.D.; Hu, J.; King, D.L.; Wang, Y. An Overview of Hydrogen Production Technologies. Catal. Today 2009, 139, 244–260. [Google Scholar] [CrossRef]
- Balaji, R.; Kannan, B.S.; Lakshmi, J.; Senthil, N.; Vasudevan, S.; Sozhan, G.; Shukla, A.K.; Ravichandran, S. An Alternative Approach to Selective Sea Water Oxidation for Hydrogen Production. Electrochem. Commun. 2009, 11, 1700–1702. [Google Scholar] [CrossRef]
- Gorensek, M.B.; Staser, J.A.; Stanford, T.G.; Weidner, J.W. A Thermodynamic Analysis of the SO2/H2SO4 system in SO2-Depolarized Electrolysis. Int. J. Hydrogen Energy 2009, 34, 6089–6095. [Google Scholar] [CrossRef]
- Díaz-Abad, S.; Millán, M.; Rodrigo, M.A.; Lobato, J. Review of Anodic Catalysts for SO2 Depolarized Electrolysis for “Green Hydrogen” Production. Catalysts 2019, 9, 63. [Google Scholar] [CrossRef]
- Lobato, J.; Díaz-Abad, S.; Peláez, M.C.; Millán, M.; Rodrigo, M.A. Synthesis and Characterization of Pt on Novel Catalyst Supports for the H2 Production in the Westinghouse Cycle. Int. J. Hydrogen Energy 2019, 45, 25672–25680. [Google Scholar] [CrossRef]
- Fouzai, I.; Radaoui, M.; Díaz-Abad, S.; Rodrigo, M.A.; Lobato, J. Electrospray Deposition of Catalyst Layers with Ultralow Pt Loading for Cost-Effective H2 Production by SO2 Electrolysis. ACS Appl. Energy Mater. 2022, 5, 2138–2149. [Google Scholar] [CrossRef]
- Colón-Mercado, H.R.; Hobbs, D.T. Catalyst Evaluation for a Sulfur Dioxide-Depolarized Electrolyzer. Electrochem. Commun. 2007, 9, 2649–2653. [Google Scholar] [CrossRef]
- Meekins, B.H.; Thompson, A.B.; Gopal, V.; Mehrabadi, B.A.T.; Elvington, M.C.; Ganesan, P.; Newhouse-Illige, T.A.; Shepard, A.W.; Scipioni, L.E.; Greer, J.A.; et al. In-Situ and Ex-Situ Comparison of the Electrochemical Oxidation of SO2 on Carbon Supported Pt and Au Catalysts. Int. J. Hydrogen Energy 2020, 45, 1940–1947. [Google Scholar] [CrossRef]
- Ding, X.; Chen, S.; Xiao, P.; Wang, L.; Zhang, P. SO2-Depolarized Electrolysis Using Porous Graphite Felt as Diffusion Layer in Proton Exchange Membrane Electrolyzer. Int. J. Hydrogen Energy 2022, 47, 2200–2207. [Google Scholar] [CrossRef]
- Krüger, A.J.; Krieg, H.M.; Van Der Merwe, J.; Bessarabov, D. Evaluation of MEA Manufacturing Parameters Using EIS for SO2 electrolysis. Int. J. Hydrogen Energy 2014, 39, 18173–18181. [Google Scholar] [CrossRef]
- Steimke, J.L.; Steeper, T.J.; Cólon-Mercado, H.R.; Gorensek, M.B. Development and Testing of a PEM SO2-Depolarized Electrolyzer and an Operating Method That Prevents Sulfur Accumulation. Int. J. Hydrogen Energy 2015, 40, 13281–13294. [Google Scholar] [CrossRef]
- Staser, J.; Ramasamy, R.P.; Sivasubramanian, P.; Weidner, J.W. Effect of Water on the Electrochemical Oxidation of Gas-Phase SO2 in a PEM Electrolyzer for H2 Production. Electrochem. Solid-State Lett. 2007, 10, E17–E19. [Google Scholar] [CrossRef]
- Ying, Z.; Yang, J.; Zheng, X.; Dou, B.; Cui, G. Modeling and Numerical Study of SO2-Depolarized Electrolysis for Hydrogen Production in the Hybrid Sulfur Cycle. J. Clean. Prod. 2022, 334, 130179. [Google Scholar] [CrossRef]
- Gorensek, M.B.; Corgnale, C.; Summers, W.A. Development of the Hybrid Sulfur Cycle for Use with Concentrated Solar Heat. I. Conceptual Design. Int. J. Hydrogen Energy 2017, 42, 20939–20954. [Google Scholar] [CrossRef]
- Gorensek, M.B.; Meekins, B.; Colón-Mercado, H.; Weidner, J. Parametric Study of Operating Conditions of an SO2-Depolarized Electrolyzer. Int. J. Hydrogen Energy 2020, 45, 22408–22418. [Google Scholar] [CrossRef]
- Jayakumar, J.V.; Gulledge, A.; Staser, J.A.; Kim, C.-H.; Benicewicz, B.C.; Weidner, J.W. Polybenzimidazole Membranes for Hydrogen and Sulfuric Acid Production in the Hybrid Sulfur Electrolyzer. ECS Electrochem. Lett. 2012, 1, F44–F48. [Google Scholar] [CrossRef]
- Peach, R.; Krieg, H.M.; Krüger, A.J.; Bessarabov, D.; Kerres, J. PBI-Blended Membrane Evaluated in High Temperature SO2 Electrolyzer. ECS Trans. 2018, 85, 21–28. [Google Scholar] [CrossRef]
- Díaz-Abad, S.; Rodrigo, M.A.; Lobato, J. First Approaches for Hydrogen Production by the Depolarized Electrolysis of SO2 Using Phosphoric Acid Doped Polybenzimidazole Membranes. Int. J. Hydrogen Energy 2021, 46, 29763–29773. [Google Scholar] [CrossRef]
- Sun, C.; Negro, E.; Nale, A.; Pagot, G.; Vezzù, K.; Zawodzinski, T.A.; Meda, L.; Gambaro, C.; Di Noto, V. An Efficient Barrier toward Vanadium Crossover in Redox Flow Batteries: The Bilayer [Nafion/(WO3)x] Hybrid Inorganic-Organic Membrane. Electrochim. Acta 2021, 378, 138133. [Google Scholar] [CrossRef]
- Wong, C.Y.; Wong, W.Y.; Ramya, K.; Khalid, M.; Loh, K.S.; Daud, W.R.W.; Lim, K.L.; Walvekar, R.; Kadhum, A.A.H. Additives in Proton Exchange Membranes for Low- and High-Temperature Fuel Cell Applications: A Review. Int. J. Hydrogen Energy 2019, 44, 6116–6135. [Google Scholar] [CrossRef]
- Artimani, J.S.; Ardjmand, M.; Enhessari, M.; Javanbakht, M. High-Temperature PEMs Based on Polybenzimidazole and New Nanoparticles for Fuel Cell Application. J. Polym. Res. 2020, 27, 6005–6021. [Google Scholar] [CrossRef]
- Üregen, N.; Pehlivanoğlu, K.; Özdemir, Y.; Devrim, Y. Development of Polybenzimidazole/Graphene Oxide Composite Membranes for High Temperature PEM Fuel Cells. Int. J. Hydrogen Energy 2017, 42, 2636–2647. [Google Scholar] [CrossRef]
- Venkatkarthick, R.; Elamathi, S.; Sangeetha, D.; Balaji, R.; Suresh Kannan, B.; Vasudevan, S.; Jonas Davidson, D.; Sozhan, G.; Ravichandran, S. Studies on Polymer Modified Metal Oxide Anode for Oxygen Evolution Reaction in Saline Water. J. Electroanal. Chem. 2013, 697, 1–4. [Google Scholar] [CrossRef]
- Diaz-abad, S.; Fernández-Mancebo, S.; Rodrigo, M.A.; Lobato, J. Characterization of PBI/Graphene Oxide Composite Membranes for the SO2 Depolarized Electrolysis at High Temperature. Membranes 2022, 12, 116. [Google Scholar] [CrossRef]
- Díaz-Abad, S.; Fernández-Mancebo, S.; Rodrigo, M.A.; Lobato, J. Enhancement of SO2 High Temperature Depolarized Electrolysis by Means of Graphene Oxide Composite Polybenzimidazole Membranes. J. Clean. Prod. 2022, 363, 132372. [Google Scholar] [CrossRef]
- Lobato, J.; Cañizares, P.; Rodrigo, M.A.; Úbeda, D.; Pinar, F.J. A Novel Titanium PBI-Based Composite Membrane for High Temperature PEMFCs. J. Memb. Sci. 2011, 369, 105–111. [Google Scholar] [CrossRef]
- Pinar, F.J.; Cañizares, P.; Rodrigo, M.A.; Úbeda, D.; Lobato, J. Long-Term Testing of a High-Temperature Proton Exchange Membrane Fuel Cell Short Stack Operated with Improved Polybenzimidazole-Based Composite Membranes. J. Power Sources 2015, 274, 177–185. [Google Scholar] [CrossRef]
- Kumar, K.S.; Prabhu, M.R. Enhancing Proton Conduction of Poly(Benzimidazole) with Sulfonated Titania Nano Composite Membrane for PEM Fuel Cell Applications. Macromol. Res. 2021, 29, 111–119. [Google Scholar] [CrossRef]
- Covaliu-Mierlă, C.I.; Matei, E.; Stoian, O.; Covaliu, L.; Constandache, A.C.; Iovu, H.; Paraschiv, G. TiO2–Based Nanofibrous Membranes for Environmental Protection. Membranes 2022, 12, 236. [Google Scholar] [CrossRef]
- Lobato, J.; Cañizares, P.; Rodrigo, M.A.; Linares, J.J.; Manjavacas, G. Synthesis and Characterisation of Poly [2,2-(m-Phenylene)-5,5-Bibenzimidazole] as Polymer Electrolyte Membrane for High Temperature PEMFCs. J. Memb. Sci. 2006, 280, 351–362. [Google Scholar] [CrossRef]
- Lobato, J.; Cañizares, P.; Rodrigo, M.A.; Linares, J.J.; Aguilar, J.A. Improved Polybenzimidazole Films for H3PO4-Doped PBI-Based High Temperature PEMFC. J. Memb. Sci. 2007, 306, 47–55. [Google Scholar] [CrossRef]
- Davis, J.R.; Baygents, J.C.; Farrell, J. Effect of Current Density and Sulfuric Acid Concentration on Persulfuric Acid Generation by Boron-Doped Diamond Film Anodes. J. Appl. Electrochem. 2014, 44, 841–848. [Google Scholar] [CrossRef]
- Giannakis, S.; Lin, K.Y.A.; Ghanbari, F. A Review of the Recent Advances on the Treatment of Industrial Wastewaters by Sulfate Radical-Based Advanced Oxidation Processes (SR-AOPs). Chem. Eng. J. 2021, 406, 127083. [Google Scholar] [CrossRef]
- Opperman, H.; Kerres, J.; Krieg, H. SO2 Crossover Flux of Nafion® and SFS-PBI Membranes Using a Chronocoulometric (CC) Monitoring Technique. J. Memb. Sci. 2012, 415–416, 842–849. [Google Scholar] [CrossRef]
- Ijadpanah-Saravy, H.; Safari, M.; Khodadadi-Darban, A.; Rezaei, A. Synthesis of Titanium Dioxide Nanoparticles for Photocatalytic Degradation of Cyanide in Wastewater. Anal. Lett. 2014, 47, 1772–1782. [Google Scholar] [CrossRef]
- Kerres, J.; Atanasov, V. Cross-Linked PBI-Based High-Temperature Membranes: Stability, Conductivity and Fuel Cell Performance. Int. J. Hydrogen Energy 2015, 40, 14723–14735. [Google Scholar] [CrossRef]
- Jian-hua, T.; Peng-fei, G.; Zhi-yuan, Z.; Wen-hui, L.; Zhong-qiang, S. Preparation and Performance Evaluation of a Nafion-TiO2 Composite Membrane for PEMFCs. Int. J. Hydrogen Energy 2008, 33, 5686–5690. [Google Scholar] [CrossRef]
- Borup, R.; Meyers, J.; Pivovar, B.; Kim, Y.S.; Mukundan, R.; Garland, N.; Myers, D.; Wilson, M.; Garzon, F.; Wood, D.; et al. Scientific Aspects of Polymer Electrolyte Fuel Cell Durability and Degradation. Chem. Rev. 2007, 107, 3904–3951. [Google Scholar] [CrossRef] [PubMed]
- Mustarelli, P.; Quartarone, E.; Grandi, S.; Carollo, A.; Magistris, A. Polybenzimidazole-Based Membranes as a Real Alternative to Nafion for Fuel Cells Operating at Low Temperature. Adv. Mater. 2008, 20, 1339–1343. [Google Scholar] [CrossRef]
- Yu, S.; Xiao, L.; Benicewicz, B.C. Durability Studies of PBI-Based High Temperature PEMFCs. Fuel Cells 2008, 8, 165–174. [Google Scholar] [CrossRef]
- Pinar, F.J.; Cañizares, P.; Rodrigo, M.A.; Ubeda, D.; Lobato, J. Titanium Composite PBI-Based Membranes for High Temperature Polymer Electrolyte Membrane Fuel Cells. Effect on Titanium Dioxide Amount. RSC Adv. 2012, 2, 1547–1556. [Google Scholar] [CrossRef]
- Ma, Y.-L.; Wainright, J.S.; Litt, M.H.; Savinell, R.F. Conductivity of PBI Membranes for High-Temperature Polymer Electrolyte Fuel Cells. J. Electrochem. Soc. 2004, 151, A8. [Google Scholar] [CrossRef]
- Santasalo-Aarnio, A.; Virtanen, J.; Gasik, M. SO2 Carry-over and Sulphur Formation in a SO2-Depolarized Electrolyser. J. Solid State Electrochem. 2016, 20, 1655–1663. [Google Scholar] [CrossRef]
- Santasalo-Aarnio, A.; Lokkiluoto, A.; Virtanen, J.; Gasik, M.M. Performance of Electrocatalytic Gold Coating on Bipolar Plates for SO2depolarized Electrolyser. J. Power Sources 2016, 306, 1–7. [Google Scholar] [CrossRef]
- Allen, J.A.; Rowe, G.; Hinkley, J.T.; Donne, S.W. Electrochemical Aspects of the Hybrid Sulfur Cycle for Large Scale Hydrogen Production. Int. J. Hydrogen Energy 2014, 39, 11376–11389. [Google Scholar] [CrossRef]






| Membrane | Thickness Increase [%] | Doping Level [mol H3PO4 r.u. PBI−1] | Acid Retention [%] |
|---|---|---|---|
| Standard | 106.7 | 11.4 | 22.5 |
| 0.5 wt% TiO2 | 121.5 | 12.7 | 51.8 |
| 1.0 wt% TiO2 | 119.7 | 12.2 | 73.5 |
| 2.0 wt% TiO2 | 108.2 | 11.8 | 71.2 |
| 3.0 wt% TiO2 | 105.8 | 10.9 | 69.8 |
| TiO2 [wt%] | 110 °C | 120 °C | 130 °C | 140 °C | ||||
|---|---|---|---|---|---|---|---|---|
| RΩ [mΩ] | RP [mΩ] | RΩ [mΩ] | RP [mΩ] | RΩ [mΩ] | RP [mΩ] | RΩ [mΩ] | RP [mΩ] | |
| 0.0 | 15.8 | 42.2 | 16.0 | 57.2 | 15.5 | 180.0 | 18.3 | 322.0 |
| 0.5 | 16.1 | 50.5 | 17.6 | 55.4 | 19.3 | 129.0 | 19.2 | 157.0 |
| 1.0 | 10.2 | 24.1 | 11.5 | 25.3 | 11.6 | 72.4 | 12.1 | 129.0 |
| 2.0 | 12.8 | 28.4 | 13.7 | 42.5 | 14.1 | 79.4 | 14.3 | 135.0 |
| 3.0 | 13.5 | 45.8 | 14.6 | 81.4 | 15.4 | 156.0 | 16.3 | 207.0 |
| TiO2 [%] | Ratio H2-H2S at 110 °C | Ratio H2-H2S at 120 °C | Ratio H2-H2S at 130 °C | Ratio H2-H2S at 140 °C |
|---|---|---|---|---|
| 0.0 | 57.12 | 11.94 | 0.30 | 1.06 |
| 0.5 | 228.39 | 16.22 | 0.93 | 2.19 |
| 1.0 | 303.23 | 70.78 | 1.59 | 5.94 |
| 2.0 | 262.23 | 45.82 | 1.17 | 4.41 |
| 3.0 | 173.74 | 24.11 | 0.91 | 3.89 |
Publisher’s Note: MDPI stays neutral with regard to jurisdictional claims in published maps and institutional affiliations. |
© 2022 by the authors. Licensee MDPI, Basel, Switzerland. This article is an open access article distributed under the terms and conditions of the Creative Commons Attribution (CC BY) license (https://creativecommons.org/licenses/by/4.0/).
Share and Cite
Díaz-Abad, S.; Rodrigo, M.A.; Sáez, C.; Lobato, J. Enhancement of the Green H2 Production by Using TiO2 Composite Polybenzimidazole Membranes. Nanomaterials 2022, 12, 2920. https://doi.org/10.3390/nano12172920
Díaz-Abad S, Rodrigo MA, Sáez C, Lobato J. Enhancement of the Green H2 Production by Using TiO2 Composite Polybenzimidazole Membranes. Nanomaterials. 2022; 12(17):2920. https://doi.org/10.3390/nano12172920
Chicago/Turabian StyleDíaz-Abad, Sergio, Manuel A. Rodrigo, Cristina Sáez, and Justo Lobato. 2022. "Enhancement of the Green H2 Production by Using TiO2 Composite Polybenzimidazole Membranes" Nanomaterials 12, no. 17: 2920. https://doi.org/10.3390/nano12172920
APA StyleDíaz-Abad, S., Rodrigo, M. A., Sáez, C., & Lobato, J. (2022). Enhancement of the Green H2 Production by Using TiO2 Composite Polybenzimidazole Membranes. Nanomaterials, 12(17), 2920. https://doi.org/10.3390/nano12172920

