Breaking and Connecting: Highly Hazy and Transparent Regenerated Networked-Nanofibrous Cellulose Films via Combination of Hydrolysis and Crosslinking
Abstract
:1. Introduction
2. Materials and Methods
2.1. Materials
2.2. Methods
2.2.1. Preparation of Networked–Nanofibrous Cellulose Suspension (NC)
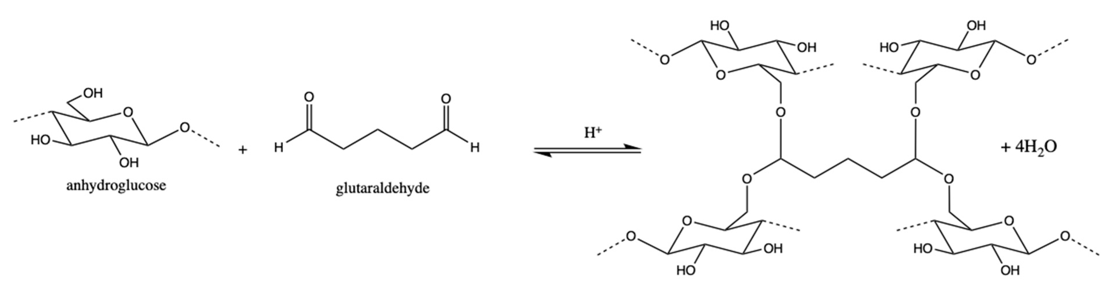
2.2.2. Preparation of Crosslinked Regenerated Networked–Nanofibrous Cellulose Substrates (CRC)
2.3. Measurements and Characterizations
3. Results and Discussion
4. Conclusions
Author Contributions
Funding
Institutional Review Board Statement
Informed Consent Statement
Data Availability Statement
Acknowledgments
Conflicts of Interest
References
- Pirani, S. Burning Up: A Global History of Fossil Fuel Consumption; Pluto Press: London, UK, 2018. [Google Scholar]
- Shafiee, S.; Topal, E. When will fossil fuel reserves be diminished? Energy Policy 2009, 37, 181–189. [Google Scholar] [CrossRef]
- Pizzini, S. Towards solar grade silicon: Challenges and benefits for low cost photovoltaics. Sol. Energy Mater. Sol. Cells 2010, 94, 1528–1533. [Google Scholar] [CrossRef]
- Sharma, S.; Jain, K.K.; Sharma, A. Solar Cells: In Research and Applications—A Review. Mater. Sci. Appl. 2015, 6, 12. [Google Scholar] [CrossRef] [Green Version]
- Rance, W.L.; Burst, J.M.; Reese, M.O.; Meysing, D.M.; Wolden, C.A.; Gessert, T.A.; Garner, S.; Cimo, P.; Barnes, T.M. The use of Corning® Willow™ glass for flexible CdTe solar cells. In Proceedings of the 2013 IEEE 39th Photovoltaic Specialists Conference (PVSC), Tampa, FL, USA, 16–21 June 2013; pp. 1649–1652. [Google Scholar]
- Fobare, D.; Haldar, P.; Efstathiadis, H.; Metacarpa, D.; Wax, J.; Olenick, J.; Olenick, K.; Venkateswaran, V. Novel application of Yttria Stabilized Zirconia as a substrate for thin film CIGS solar cells. In Proceedings of the 2014 IEEE 40th Photovoltaic Specialist Conference (PVSC), Denver, CO, USA, 8–13 June 2014; pp. 0341–0344. [Google Scholar]
- Fonrodona, M.; Escarré, J.; Villar, F.; Soler, D.; Asensi, J.M.; Bertomeu, J.; Andreu, J. PEN as substrate for new solar cell technologies. Sol. Energy Mater. Sol. Cells 2005, 89, 37–47. [Google Scholar] [CrossRef] [Green Version]
- Ding, J.M.; de la Fuente Vornbrock, A.; Ting, C.; Subramanian, V. Patternable polymer bulk heterojunction photovoltaic cells on plastic by rotogravure printing. Sol. Energy Mater. Sol. Cells 2009, 93, 459–464. [Google Scholar] [CrossRef]
- Li, X.; Li, P.; Wu, Z.; Luo, D.; Yu, H.-Y.; Lu, Z.-H. Review and perspective of materials for flexible solar cells. Mater. Rep. Energy 2021, 1, 100001. [Google Scholar] [CrossRef]
- Petrov, M.; Lovchinov, K.; Mews, M.; Leendertz, C.; Dimova-Malinovska, D. Optical and structural properties of electrochemically deposited ZnO nanorod arrays suitable for improvement of the light harvesting in thin film solar cells. J. Phys. Conf. Ser. 2014, 559, 012018. [Google Scholar] [CrossRef] [Green Version]
- Zhai, S.; Zhao, Y.; Zhao, H. High-Efficiency Omnidirectional Broadband Light-Management Coating Using the Hierarchical Ordered–Disordered Nanostructures with Ultra-Mechanochemical Resistance. ACS Appl. Mater. Interfaces 2019, 11, 12978–12985. [Google Scholar] [CrossRef]
- Malinowski, C.; He, F.; Zhao, Y.; Chang, I.; Hatchett, D.W.; Zhai, S.; Zhao, H. Nanopatterned silk fibroin films with high transparency and high haze for optical applications. RSC Adv. 2019, 9, 40792–40799. [Google Scholar] [CrossRef] [PubMed] [Green Version]
- Yang, W.; Jiao, L.; Liu, W.; Dai, H. Manufacture of Highly Transparent and Hazy Cellulose Nanofibril Films via Coating TEMPO-Oxidized Wood Fibers. Nanomaterials 2019, 9, 107. [Google Scholar] [CrossRef] [PubMed] [Green Version]
- Lin, C.; Wang, Q.; Deng, Q.; Huang, H.; Huang, F.; Huang, L.; Ni, Y.; Chen, L.; Cao, S.; Ma, X. Preparation of highly hazy transparent cellulose film from dissolving pulp. Cellulose 2019, 26, 4061–4069. [Google Scholar] [CrossRef]
- Hu, W.; Chen, G.; Liu, Y.; Liu, Y.; Li, B.; Fang, Z. Transparent and Hazy All-Cellulose Composite Films with Superior Mechanical Properties. ACS Sustain. Chem. Eng. 2018, 6, 6974–6980. [Google Scholar] [CrossRef]
- Zhu, H.; Parvinian, S.; Preston, C.; Vaaland, O.; Ruan, Z.; Hu, L. Transparent nanopaper with tailored optical properties. Nanoscale 2013, 5, 3787–3792. [Google Scholar] [CrossRef] [PubMed] [Green Version]
- Fang, Z.; Zhu, H.; Yuan, Y.; Ha, D.; Zhu, S.; Preston, C.; Chen, Q.; Li, Y.; Han, X.; Lee, S.; et al. Novel Nanostructured Paper with Ultrahigh Transparency and Ultrahigh Haze for Solar Cells. Nano Lett. 2014, 14, 765–773. [Google Scholar] [CrossRef]
- Hou, G.; Liu, Y.; Zhang, D.; Li, G.; Xie, H.; Fang, Z. Approaching Theoretical Haze of Highly Transparent All-Cellulose Composite Films. ACS Appl. Mater. Interfaces 2020, 12, 31998–32005. [Google Scholar] [CrossRef]
- Kim, J.Y.; Lee, J.-W.; Jung, H.S.; Shin, H.; Park, N.-G. High-Efficiency Perovskite Solar Cells. Chem. Rev. 2020, 120, 7867–7918. [Google Scholar] [CrossRef]
- Kim, M.; Alfano, A.; Perotto, G.; Serri, M.; Dengo, N.; Mezzetti, A.; Gross, S.; Prato, M.; Salerno, M.; Rizzo, A.; et al. Moisture resistance in perovskite solar cells attributed to a water-splitting layer. Commun. Mater. 2021, 2, 6. [Google Scholar] [CrossRef]
- Hu, W.; Fang, Z.; Liu, Y.; Zhou, Y.; Kuang, Y.; Ning, H.; Li, B.; Chen, G.; Liu, Y. Protonation Process to Enhance the Water Resistance of Transparent and Hazy Paper. ACS Sustain. Chem. Eng. 2018, 6, 12385–12392. [Google Scholar] [CrossRef]
- Chen, S.; Song, Y.; Xu, F. Highly Transparent and Hazy Cellulose Nanopaper Simultaneously with a Self-Cleaning Superhydrophobic Surface. ACS Sustain. Chem. Eng. 2018, 6, 5173–5181. [Google Scholar] [CrossRef]
- Hashaikeh, R.; Abushammala, H. Acid mediated networked cellulose: Preparation and characterization. Carbohydr. Polym. 2011, 83, 1088–1094. [Google Scholar] [CrossRef]
- Samad, Y.A.; Asghar, A.; Lalia, B.S.; Hashaikeh, R. Networked cellulose entrapped and reinforced PEO-based solid polymer electrolyte for moderate temperature applications. J. Appl. Polym. Sci. 2013, 129, 2998–3006. [Google Scholar] [CrossRef]
- Aburabie, J.; Lalia, B.; Hashaikeh, R. Proton Conductive, Low Methanol Crossover Cellulose-Based Membranes. Membranes 2021, 11, 539. [Google Scholar] [CrossRef]
- Geometries, B.; Abrasion, S. Standard test method for haze and luminous transmittance of transparent plastics. ASTM Int. 2012, 1, 1–7. [Google Scholar]
- Testing, A.S.f. Materials. In Standard Test Method for Tensile Properties of Plastics; ASTM International: West Conshohocken, PA, USA, 2010. [Google Scholar]
- Testing, A.S.f. Materials. In Standard Test Methods for Water Vapor Transmission of Materials; ASTM International: West Conshohocken, PA, USA, 2013. [Google Scholar]
- Revol, J.-F.; Godbout, L.; Dong, X.-M.; Gray, D.G.; Chanzy, H.; Maret, G. Chiral nematic suspensions of cellulose crystallites; phase separation and magnetic field orientation. Liq. Cryst. 1994, 16, 127–134. [Google Scholar] [CrossRef]
- Jeon, J.G.; Kim, H.C.; Palem, R.R.; Kim, J.; Kang, T.J. Cross-linking of cellulose nanofiber films with glutaraldehyde for improved mechanical properties. Mater. Lett. 2019, 250, 99–102. [Google Scholar] [CrossRef]
- Shao, L.-L.; An, Q.-F.; Ji, Y.-L.; Zhao, Q.; Wang, X.-S.; Zhu, B.-K.; Gao, C.-J. Preparation and characterization of sulfated carboxymethyl cellulose nanofiltration membranes with improved water permeability. Desalination 2014, 338, 74–83. [Google Scholar] [CrossRef]
- Staggs, J.E.J. Discrete bond-weighted random scission of linear polymers. Polymer 2006, 47, 897–906. [Google Scholar] [CrossRef]
- Guo, B.; Chen, W.; Yan, L. Preparation of Flexible, Highly Transparent, Cross-Linked Cellulose Thin Film with High Mechanical Strength and Low Coefficient of Thermal Expansion. ACS Sustain. Chem. Eng. 2013, 1, 1474–1479. [Google Scholar] [CrossRef]
- Dong, X.M.; Revol, J.-F.; Gray, D.G. Effect of microcrystallite preparation conditions on the formation of colloid crystals of cellulose. Cellulose 1998, 5, 19–32. [Google Scholar] [CrossRef]
- Caixeiro, S.; Peruzzo, M.; Onelli, O.D.; Vignolini, S.; Sapienza, R. Disordered Cellulose-Based Nanostructures for Enhanced Light Scattering. ACS Appl. Mater. Interfaces 2017, 9, 7885–7890. [Google Scholar] [CrossRef] [PubMed] [Green Version]
- Xu, G.G.; Yang, C.Q.; Deng, Y. Combination of bifunctional aldehydes and poly(vinyl alcohol) as the crosslinking systems to improve paper wet strength. J. Appl. Polym. Sci. 2004, 93, 1673–1680. [Google Scholar] [CrossRef]
- Migneault, I.; Dartiguenave, C.; Bertrand, M.J.; Waldron, K.C. Glutaraldehyde: Behavior in aqueous solution, reaction with proteins, and application to enzyme crosslinking. BioTechniques 2004, 37, 790–802. [Google Scholar] [CrossRef]
- Rojas, J.; Azevedo, E. Functionalization and crosslinking of microcrystalline cellulose in aqueous media: A safe and economic approach. Int. J. Pharm. Sci. Rev. Res. 2011, 8, 28–36. [Google Scholar]
- Zhou, P.; Zhu, P.; Chen, G.; Liu, Y.; Kuang, Y.; Liu, Y.; Fang, Z. A study on the transmission haze and mechanical properties of highly transparent paper with different fiber species. Cellulose 2018, 25, 2051–2061. [Google Scholar] [CrossRef]
- Zhu, M.; Wang, Y.; Zhu, S.; Xu, L.; Jia, C.; Dai, J.; Song, J.; Yao, Y.; Wang, Y.; Li, Y.; et al. Anisotropic, Transparent Films with Aligned Cellulose Nanofibers. Adv. Mater. 2017, 29, 1606284. [Google Scholar] [CrossRef] [PubMed]
- Preston, C.; Fang, Z.; Murray, J.; Zhu, H.; Dai, J.; Munday, J.N.; Hu, L. Silver nanowire transparent conducting paper-based electrode with high optical haze. J. Mater. Chem. C 2014, 2, 1248–1254. [Google Scholar] [CrossRef]
- Wang, S.; Li, T.; Chen, C.; Kong, W.; Zhu, S.; Dai, J.; Diaz, A.J.; Hitz, E.; Solares, S.D.; Li, T.; et al. Transparent, Anisotropic Biofilm with Aligned Bacterial Cellulose Nanofibers. Adv. Funct. Mater. 2018, 28, 1707491. [Google Scholar] [CrossRef]
- Li, X.; Zhang, X.; Yao, S.; Chang, H.; Wang, Y.; Zhang, Z. UV-blocking, transparent and hazy cellulose nanopaper with superior strength based on varied components of poplar mechanical pulp. Cellulose 2020, 27, 6563–6576. [Google Scholar] [CrossRef]
- Ye, D.; Lei, X.; Li, T.; Cheng, Q.; Chang, C.; Hu, L.; Zhang, L. Ultrahigh Tough, Super Clear, and Highly Anisotropic Nanofiber-Structured Regenerated Cellulose Films. ACS Nano 2019, 13, 4843–4853. [Google Scholar] [CrossRef]
- Zhu, H.; Fang, Z.; Wang, Z.; Dai, J.; Yao, Y.; Shen, F.; Preston, C.; Wu, W.; Peng, P.; Jang, N.; et al. Extreme Light Management in Mesoporous Wood Cellulose Paper for Optoelectronics. ACS Nano 2016, 10, 1369–1377. [Google Scholar] [CrossRef] [PubMed]
- Yang, W.; Jiao, L.; Min, D.; Liu, Z.; Dai, H. Effects of preparation approaches on optical properties of self-assembled cellulose nanopapers. RSC Adv. 2017, 7, 10463–10468. [Google Scholar] [CrossRef] [Green Version]
- Parthasarathi, R.; Bellesia, G.; Chundawat, S.P.S.; Dale, B.E.; Langan, P.; Gnanakaran, S. Insights into Hydrogen Bonding and Stacking Interactions in Cellulose. J. Phys. Chem. A 2011, 115, 14191–14202. [Google Scholar] [CrossRef] [PubMed]
- Medronho, B.; Duarte, H.; Alves, L.; Antunes, F.; Romano, A.; Lindman, B. Probing cellulose amphiphilicity. Nord. Pulp Pap. Res. J. 2015, 30, 58–66. [Google Scholar] [CrossRef] [Green Version]
- Tam, H.W.; Chen, W.; Liu, F.; He, Y.; Leung, T.L.; Wang, Y.; Wong, M.K.; Djurišić, A.; Ng, A.M.C.; He, Z.; et al. Stability of perovskite solar cells on flexible substrates. In Proceedings of the SPIE OPTO, San Francisco, CA, USA, 23 February 2018; Volume 10533, p. 105332P. [Google Scholar]









Publisher’s Note: MDPI stays neutral with regard to jurisdictional claims in published maps and institutional affiliations. |
© 2022 by the authors. Licensee MDPI, Basel, Switzerland. This article is an open access article distributed under the terms and conditions of the Creative Commons Attribution (CC BY) license (https://creativecommons.org/licenses/by/4.0/).
Share and Cite
Aburabie, J.; Hashaikeh, R. Breaking and Connecting: Highly Hazy and Transparent Regenerated Networked-Nanofibrous Cellulose Films via Combination of Hydrolysis and Crosslinking. Nanomaterials 2022, 12, 2729. https://doi.org/10.3390/nano12152729
Aburabie J, Hashaikeh R. Breaking and Connecting: Highly Hazy and Transparent Regenerated Networked-Nanofibrous Cellulose Films via Combination of Hydrolysis and Crosslinking. Nanomaterials. 2022; 12(15):2729. https://doi.org/10.3390/nano12152729
Chicago/Turabian StyleAburabie, Jamaliah, and Raed Hashaikeh. 2022. "Breaking and Connecting: Highly Hazy and Transparent Regenerated Networked-Nanofibrous Cellulose Films via Combination of Hydrolysis and Crosslinking" Nanomaterials 12, no. 15: 2729. https://doi.org/10.3390/nano12152729
APA StyleAburabie, J., & Hashaikeh, R. (2022). Breaking and Connecting: Highly Hazy and Transparent Regenerated Networked-Nanofibrous Cellulose Films via Combination of Hydrolysis and Crosslinking. Nanomaterials, 12(15), 2729. https://doi.org/10.3390/nano12152729

