Salicin and Hederacoside C-Based Extracts and UV-Absorbers Co-Loaded into Bioactive Lipid Nanocarriers with Promoted Skin Antiaging and Hydrating Efficacy
Abstract
:1. Introduction
2. Materials and Methods
2.1. Materials
2.2. Methods
2.2.1. Preparation of Bioactive-Loaded Nanostructured Lipid Carrier
2.2.2. Particle Size, Morphology, and Zeta Potential Analysis
2.2.3. Differential Scanning Calorimetry Analysis
2.2.4. Entrapment Efficiency and Drug Loading
2.2.5. Preparation of Loading Hydrogels with BLN-Wbe/Ile-UV-Filters
2.2.6. In Vitro Release Experiments
2.2.7. In Vitro Permeation Test
2.2.8. The In Vitro SPF and UVA-PF Determinations
2.2.9. Photostability Studies
2.2.10. Rheological Behavior
2.2.11. In Vivo Determination of the Hydration Degree
2.2.12. Statistical Analysis
3. Results
3.1. Size and Physical Stability Features
3.2. Physico-Chemical Characterization of BLN Loaded with the Herbal Extract and UV-Filters
3.3. Comparative Evaluation of the Release Profiles of the Two UV-Filters
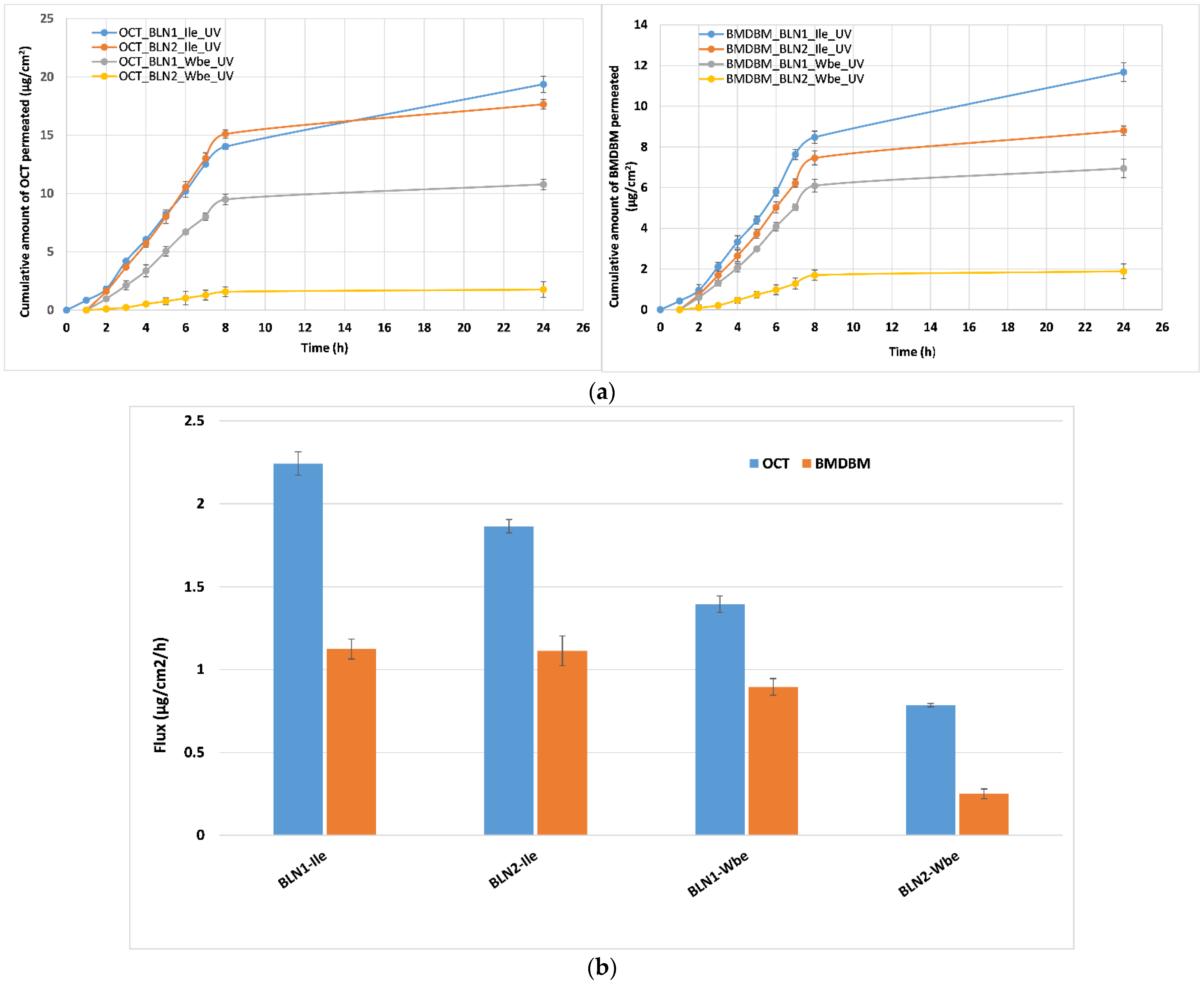
3.4. In Vitro Permeation Study
3.5. In Vitro Determination of the Blocking Effect of UV-A and UV-B Radiation of the Developed Topical Formulations
- (i)
- Different distribution of BMDBM in the lipid network (as reported in the case of in vitro release data). According to the results obtained in the quantitative determinations and the release study, in the hydrogel formulation, BMDBM is better captured in the lipid core of BLNs (higher encapsulation efficiencies, compared to those obtained in the case of OCT), and as such, it is harder to get out to manifest the photoprotective effect (slower release of BMDBM, according to the release data).
- (ii)
- Existence of a BMDBM distortion (known as a high sensitivity UV-A filter). High ω-6 fatty acid content (65% linoleic acid) in carrot oil can prevent BMDBM distortion, compared to pomegranate oil (with low ω-6 fatty acid content, 6% linoleic acid).
3.6. Rheological Behavior and Hydration Effect of Topical Formulations Based on BLN-Wbe/UV-Filters
4. Conclusions
Author Contributions
Funding
Institutional Review Board Statement
Informed Consent Statement
Data Availability Statement
Acknowledgments
Conflicts of Interest
References
- Md, S.; Alhakamy, N.A.; Aldawsari, H.M.; Husain, M.; Khan, N.; Alfaleh, M.A.; Asfour, H.Z.; Riadi, Y.; Bilgrami, A.L.; Akhter, M.H. Plumbagin-loaded glycerosome gel as topical delivery system for skin cancer therapy. Polymers 2021, 13, 923. [Google Scholar] [CrossRef]
- Arsenie, L.V.; Lacatusu, I.; Oprea, O.; Bordei, N.; Bacalum, M.; Badea, N. Azelaic acid-willow bark extract-panthenol—Loaded lipid nanocarriers improve the hydration effect and antioxidant action of cosmetic formulations. Ind. Crops Prod. 2020, 154, 112658. [Google Scholar] [CrossRef]
- Souto, E.B.; Jäger, E.; Jäger, A.; Štěpánek, P.; Cano, A.; Viseras, C.; de Melo Barbosa, R.; Chorilli, M.; Zielińska, A.; Severino, P.; et al. Lipid Nanomaterials for Targeted Delivery of Dermocosmetic Ingredients: Advances in Photoprotection and Skin Anti-Aging. Nanomaterials 2022, 12, 377. [Google Scholar] [CrossRef] [PubMed]
- Lacatusu, I.; Badea, N.; Murariu, A.; Bojin, D.; Meghea, A. Effect of UV sunscreens loaded in solid lipid nanoparticles: A combinated SPF assay and photostability. Mol. Cryst. Liq. 2010, 523, 247–259. [Google Scholar] [CrossRef]
- Puri, A.; Kaur, A.; Raza, K.; Goindi, S.; Katare, O.P. Development and evaluation of topical microemulsion of dibenzoylmethane for treatment of UV induced photoaging. J. Drug Deliv. Sci. Technol. 2016, 37, 1–12. [Google Scholar] [CrossRef]
- Ramos, S.; Homem, V.; Alves, A.; Santos, L. Advances in analytical methods and occurrence of organic UV-filters in the environment—A review. Sci. Total Environ. 2015, 526, 278–311. [Google Scholar] [CrossRef] [Green Version]
- Gaspar, L.R.; Tharmann, J.; Maia Campos, P.M.; Liebsch, M. Skin phototoxicity of cosmetic formulations containing photounstable and photostable UV-filters and vitamin A palmitate. Toxicol. In Vitro 2013, 27, 418–425. [Google Scholar] [CrossRef] [Green Version]
- Durand, L.; Habran, N.; Henschel, V.; Amighi, K. Encapsulation of ethylhexyl methoxycinnamate, a light-sensitive UV filter, in lipid nanoparticles. J. Microencapsul. 2010, 27, 714–725. [Google Scholar] [CrossRef]
- Gilbert, E.; Pirot, F.; Bertholle, V.; Roussel, L.; Falson, F.; Padois, K. Commonly used UV filter toxicity on biological functions: Review of last decade studies. Int. J. Cosmet Sci. 2013, 35, 208–219. [Google Scholar] [CrossRef]
- Akhter, M.H.; Ahsan, M.J.; Rahman, M.; Anwar, S.; Rizwanullah, M. Advancement in nanotheranostics for effective skin cancer therapy: State of the art. Curr. Nanomed. 2020, 10, 90–104. [Google Scholar] [CrossRef]
- González-Munoz, P.; Conde-Salazar, L.; Vanó-Galván, S. Allergic contact dermatitis caused by cosmetic products. Actas Dermo-Sifiliográficas 2014, 105, 822–832. [Google Scholar] [CrossRef] [PubMed]
- Montenegro, L.; Turnaturi, R.; Parenti, C.; Pasquinucci, L. In vitro evaluation of sunscreen safety: Effects of the vehicle and repeated applications on skin permeation from topical formulations. Pharmaceutics 2018, 10, 27. [Google Scholar] [CrossRef] [PubMed] [Green Version]
- Kerr, A.; Ferguson, J. Photoallergic contact dermatitis. Photodermatol. Photoimmunol. Photomed. 2010, 26, 56–65. [Google Scholar] [CrossRef]
- Loden, M.; Beitner, H.; Gonzalez, H.; Edstrom, D.W.; Akerstrom, U.J.; Buraczewska-Norin, A.I.; Matsson, M.; Wulf, H.C. Sunscreen use: Controversies, challenges, and regulatory aspects. Br. J. Dermatol. Suppl. 2011, 165, 255–262. [Google Scholar] [CrossRef] [PubMed]
- Klammer, H.; Schlecht, C.; Wuttke, W.; Jarry, H. Multi-organic risk assessment of estrogenic properties of octyl-methoxycinnamate in vivo. A 5-day sub-acute pharmacodynamic study with ovariectomized rats. Toxicology 2005, 215, 90–96. [Google Scholar] [CrossRef]
- Kunz, P.Y.; Fent, K. Estrogenic activity of UV filter mixtures. Toxicol. Appl. Pharmacol. 2006, 217, 86–99. [Google Scholar] [CrossRef]
- Radice, M.; Manfredini, S.; Ziosi, P.; Dissettem, V.; Buso, P.; Fallacara, A.; Vertuani, S. Herbal extracts, lichens and biomolecules as natural photo-protection alternatives to synthetic UV filters. Fitoterapia 2016, 114, 144–162. [Google Scholar] [CrossRef]
- Ott, C.; Lacatusu, I.; Badea, G.; Grafu, I.A.; Istrati, D.; Babeanu, N.; Stan, R.; Badea, N.; Meghea, A. Exploitation of amaranth oil fractions enriched in squalene for dual delivery of hydrophilic and lipophilic actives. Ind. Crops Prod. 2015, 77, 342–352. [Google Scholar] [CrossRef]
- Lacatusu, I.; Badea, N.; Nita, R.; Giurginca, M.; Bojin, D.; Iosub, I.; Meghea, A. Synthesis of high fluorescent silica hybrid nanomaterials by immobilization of orange peel extract in silica-silsesquioxane matrix. J. Phys. Org. Chem. 2009, 22, 1015–1021. [Google Scholar] [CrossRef] [Green Version]
- Lacatusu, I.; Badea, N.; Bojin, D.; Iosub, S.; Meghea, A. Novel fluorescence nano-structured materials obtained by entrapment of an ornamental bush extract in hybrid silica glass. J. Sol-Gel Sci. Tech. 2009, 51, 84–91. [Google Scholar] [CrossRef]
- Lacatusu, I.; Badea, N.; Badea, G.; Brasoveanu, L.; Stan, R.; Ott, C.; Oprea, O.; Meghea, A. Ivy leaves extract based—Lipid nanocarriers and their bioefficacy on antioxidant and antitumor activities. RSC Adv. 2016, 6, 77243–77255. [Google Scholar] [CrossRef]
- Barbinta-Patrascu, M.E. Liquid crystal biomimetic nanosystems loaded with vegetal extracts. Mol. Cryst. Liq. 2019, 694, 32–39. [Google Scholar] [CrossRef]
- Barbinta-Patrascu, M.E.; Badea, N.; Pirvu, C.; Bacalum, M.; Ungureanu, C.; Nadejde, P.L.; Ion, C.; Rau, I. Multifunctional soft hybrid bio-platforms based on nano-silver and natural compounds. Mater. Sci. Eng. C 2016, 69, 922–932. [Google Scholar] [CrossRef]
- Dunaway, S.; Odin, R.; Zhou, L.; Ji, L.; Zhang, Y.; Kadekaro, A.L. Natural antioxidants: Multiple mechanisms to protect skin from solar radiation. Front. Pharmacol. 2018, 9, 392. [Google Scholar] [CrossRef] [PubMed] [Green Version]
- Saraf, S.; Kaur, C.D. Phytoconstituents as photoprotective novel cosmetic formulations. Pharmacogn. Rev. 2010, 4, 1–11. [Google Scholar] [CrossRef] [Green Version]
- Lacatusu, I.; Badea, N.; Niculae, G.; Bordei, N.; Stan, R.; Meghea, A. Lipid nanocarriers based on natural compounds: An evolving role in plant extract delivery. Eur. J. Lipid Sci. Tech. 2014, 116, 1708–1717. [Google Scholar] [CrossRef]
- Khezri, K.; Saeedi, M.; Dizaj, S.M. Application of nanoparticles in percutaneous delivery of active ingredients in cosmetic preparations. Biomed. Pharmacoth. 2018, 106, 1499–1505. [Google Scholar] [CrossRef] [PubMed]
- Khurana, S.; Jainb, N.K.; Bedi, P.M.S. Development and characterization of a novel controlled release drug delivery system based on nanostructured lipid carriers gel for meloxicam. Life Sci. 2013, 93, 763–772. [Google Scholar] [CrossRef]
- Lacatusu, I.; Badea, N.; Udeanu, D.; Coc, L.; Pop, A.; Cioates Negut, C.; Tanase, C.; Stan, R.; Meghe, A. Improved anti-obesity effect of herbal active and endogenous lipids co-loaded lipid nanocarriers: Preparation, in vitro and in vivo evaluation. Mater. Sci. Eng. C. 2019, 99, 12–24. [Google Scholar] [CrossRef]
- Lacatusu, I.; Arsene, L.V.; Badea, G.; Popa, O.; Oprea, O.; Badea, N. New cosmetic formulations with broad photoprotective and antioxidative activities designed by amaranth and pumpkin seed oils nanocarriers. Ind. Crops Prod. 2018, 123, 424–433. [Google Scholar] [CrossRef]
- Diffrey, B.L.; Robson, J. A new substrate to measure sunscreen protection factors throughout the ultraviolet spectrum. J. Soc. Cosmet. Chem. 1998, 40, 127–133. [Google Scholar]
- Caldas, A.R.; Faria, M.J.; Ribeiro, A.; Machado, R.; Gonçalves, H.; Gomes, A.C.; Soares, G.M.B.; Lopes, C.M.; Lúcio, M. Avobenzone-loaded and omega-3-enriched lipid formulations for production of UV blocking sunscreen gels and textiles. J. Mol. Liq. 2021, 342, 116965. [Google Scholar] [CrossRef]
- Puglia, C.; Damiani, E.; Offerta, A.; Rizza, L.; Tirendi, G.G.; Tarico, M.S.; Curreri, S.; Bonina, F.; Perrotta, R.E. Evaluation of nanostructured lipid carriers (NLC) and nanoemulsions as carriers for UV-filters: Characterization, in vitro penetration and photostability studies. Eur. J. Pharm. Sci. 2014, 51, 211–217. [Google Scholar] [CrossRef] [PubMed]
- Niculae, G.; Lacatusu, I.; Badea, N.; Stan, R.; Vasile, B.S.; Meghea, A. Rice bran and raspberry seed oil-based nanocarriers with self-antioxidative properties as safe photoprotective formulations. Photochem. Photobiol. Sci. 2014, 13, 703–716. [Google Scholar] [CrossRef]
- Tampucci, S.; Burgalassi, S.; Chetoni, P.; Monti, D. Cutaneous permeation, and penetration of sunscreens: Formulation strategies and in vitro methods. Cosmetics 2018, 5, 1. [Google Scholar] [CrossRef] [Green Version]
- Romanhole, R.C.; Masquetti Fava, A.L.; Tundisi, L.L.; Malvezzi de Macedo, L.; Mendes dos Santos, E.; Ataide, J.A.; Mazzola, P.G. Unplanned absorption of sunscreen ingredients: Impact of formulation and evaluation methods. Int. J. Pharm. 2020, 591, 120013. [Google Scholar] [CrossRef] [PubMed]
- Hailuna, H.; Anqi, L.; Shiqina, L.; Jiea, T.; Li, L.; Lidan, X. Natural components in sunscreens: Topical formulations with sun protection factor (SPF). Biomed. Pharmacoth. 2021, 134, 111161. [Google Scholar] [CrossRef]
- Nikolic, S.; Kecka, C.M.; Anselmi, C.; Müller, R.H. Skin photoprotection improvement: Synergistic interaction between lipid nanoparticles and organic UV filters International. J. Pharm. 2011, 414, 276–284. [Google Scholar] [CrossRef]
- Adejokun, D.A.; Dodou, K. Quantitative sensory interpretation of rheological parameters of a cream formulation. Cosmetics 2020, 7, 2. [Google Scholar] [CrossRef] [Green Version]
- Cassagnau, P. Melt rheology of organoclay and fumed silica nanocomposites. Polymer 2008, 49, 2183–2196. [Google Scholar] [CrossRef] [Green Version]
- Stokes, J.R.; Telford, J.H. Measuring the yield behaviour of structured fluids. J. Non-Newton. Fluid Mech. 2004, 124, 137–146. [Google Scholar] [CrossRef]







| BLN Formulations | Surf. Mixture (g) | GM (g) | CP (g) | Vegetable Oil (g) | Herbal Extract (g) | UV-Filters * (g) |
|---|---|---|---|---|---|---|
| BLN1 | 2 | 3.5 | 3.5 | 3 Co | - | - |
| BLN1-Ile-UV-filters | 2 | 3.5 | 3.5 | 3 Co | 0.8 | 1.2 |
| BLN1-Wbe-UV-filters | 2 | 3.5 | 3.5 | 3 Co | 0.8 | 1.2 |
| BLN2 | 2 | 3.5 | 3.5 | 3 Po | - | - |
| BLN2-Ile-UV-filters | 2 | 3.5 | 3.5 | 3 Po | 0.8 | 1.2 |
| BLN2-Wbe-UV-filters | 2 | 3.5 | 3.5 | 3 Po | 0.8 | 1.2 |
| Type of (BLN) ** | Zave [nm] | PdI | ξ [mV] | EE%, w/w | DL%, w/w | ||||
|---|---|---|---|---|---|---|---|---|---|
| Ile/Wbe | BMDBM | OCT | Ile/Wbe | BMDBM | OCT | ||||
| BLN1 | 73.5 ± 0.72 | 0.138 ± 0.005 | −32.9 ± 0.50 | - | - | - | - | - | - |
| BLN1-Ile-UV-filters | 120.2 ± 0.76 | 0.138 ± 0.010 | −43.2 ± 2.17 | 80.1 ± 1.42 | 76.44 ± 0.53 | 57.83 ± 0.83 | 3.02 ± 0.08 | 3.70 ± 0.04 | 3.87 ± 0.05 |
| BLN1-Wbe-UV-filters | 110.8 ± 0.82 | 0.14 ± 0.005 | −39.2 ± 0.61 | 82.3 ± 2.20 | 86.05 ± 1.76 | 74.79 ± 0.39 | 3.18 ± 0.12 | 4.18 ± 0.13 | 4.97 ± 0.09 |
| BLN2 | 143.4 ± 1.82 | 0.232 ± 0.002 | −34.8 ± 0.31 | - | - | - | - | - | - |
| BLN2-Ile-UV-filters | 171.3 ± 0.76 | 0.203 ± 0.008 | −51.0 ± 0.82 | 89.2 ± 0.70 | 83.58 ± 0.79 | 71.80 ± 0.64 | 3.66 ± 0.03 | 4.06 ± 0.03 | 4.77 ± 0.06 |
| BLN2-Wbe-UV-filters | 155.6 ± 2.17 | 0.163 ± 0.004 | −51.2 ± 1.56 | 90.8 ± 1.18 | 89.50 ± 0.45 | 84.38 ± 0.75 | 3.77 ± 0.08 | 4.34 ± 0.02 | 5.56 ± 0.07 |
Publisher’s Note: MDPI stays neutral with regard to jurisdictional claims in published maps and institutional affiliations. |
© 2022 by the authors. Licensee MDPI, Basel, Switzerland. This article is an open access article distributed under the terms and conditions of the Creative Commons Attribution (CC BY) license (https://creativecommons.org/licenses/by/4.0/).
Share and Cite
Lacatusu, I.; Balanuca, B.; Serafim, A.; Ott, C.; Prodana, M.; Badea, N. Salicin and Hederacoside C-Based Extracts and UV-Absorbers Co-Loaded into Bioactive Lipid Nanocarriers with Promoted Skin Antiaging and Hydrating Efficacy. Nanomaterials 2022, 12, 2362. https://doi.org/10.3390/nano12142362
Lacatusu I, Balanuca B, Serafim A, Ott C, Prodana M, Badea N. Salicin and Hederacoside C-Based Extracts and UV-Absorbers Co-Loaded into Bioactive Lipid Nanocarriers with Promoted Skin Antiaging and Hydrating Efficacy. Nanomaterials. 2022; 12(14):2362. https://doi.org/10.3390/nano12142362
Chicago/Turabian StyleLacatusu, Ioana, Brindusa Balanuca, Andrada Serafim, Cristina Ott, Mariana Prodana, and Nicoleta Badea. 2022. "Salicin and Hederacoside C-Based Extracts and UV-Absorbers Co-Loaded into Bioactive Lipid Nanocarriers with Promoted Skin Antiaging and Hydrating Efficacy" Nanomaterials 12, no. 14: 2362. https://doi.org/10.3390/nano12142362
APA StyleLacatusu, I., Balanuca, B., Serafim, A., Ott, C., Prodana, M., & Badea, N. (2022). Salicin and Hederacoside C-Based Extracts and UV-Absorbers Co-Loaded into Bioactive Lipid Nanocarriers with Promoted Skin Antiaging and Hydrating Efficacy. Nanomaterials, 12(14), 2362. https://doi.org/10.3390/nano12142362

