Switchable Terahertz Absorber from Single Broadband to Dual Broadband Based on Graphene and Vanadium Dioxide
Abstract
:1. Introduction
2. Structure and Method
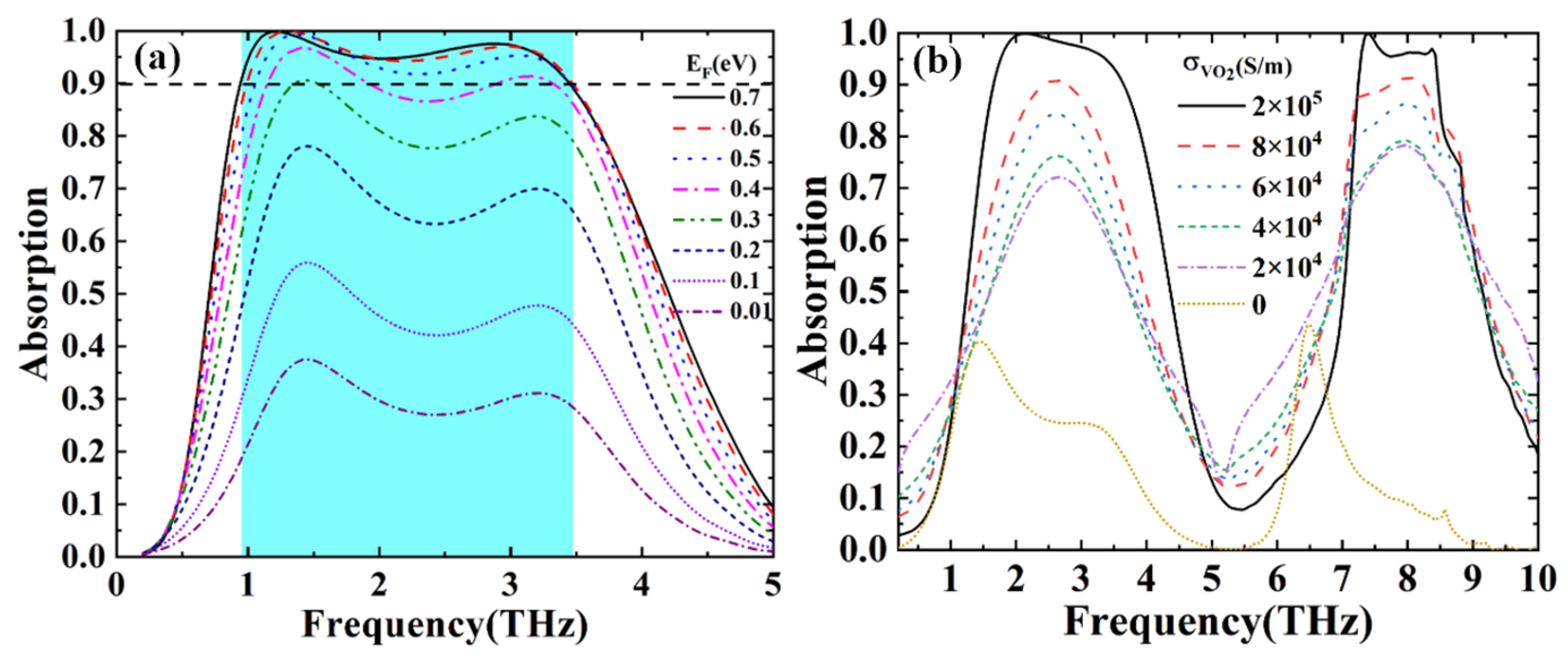
3. Results and Discussion
4. Conclusions
Author Contributions
Funding
Institutional Review Board Statement
Informed Consent Statement
Data Availability Statement
Conflicts of Interest
References
- Tonouchi, M. Cutting-edge terahertz technology. Nat. Photonics 2007, 1, 97–105. [Google Scholar] [CrossRef]
- Akyildiz, I.F.; Jornet, J.M.; Chong, H. Terahertz band: Next frontier for wireless communications. Phys. Commun. 2014, 12, 16–32. [Google Scholar] [CrossRef]
- Zhang, S.; Zhou, J.; Park, Y.S.; Rho, J.; Singh, R.; Nam, S.; Azad, A.K.; Chen, H.T.; Yin, X.; Taylor, A.J. Photoinduced handedness switching in terahertz chiral metamolecules. Nat. Commun. 2012, 3, 942. [Google Scholar] [CrossRef] [Green Version]
- Federici, J.F.; Schulkin, B.; Huang, F.; Gary, D.; Barat, R.; Oliveira, F.; Zimdars, D. THz imaging and sensing for security applications—Explosives, weapons and drugs. Semicond. Sci. Technol. 2005, 20, S266. [Google Scholar] [CrossRef]
- Wad, C.; Šać, N.; Dmo, N.R.; Kondo, J.M.; Adams, C.S.; Wahr, K.J. Real-time near-field terahertz imaging with atomic optical fluorescence. Nat. Photonics 2017, 11, 40–43. [Google Scholar] [CrossRef] [Green Version]
- Dean, P.; Mitrofanov, O.; Keeley, J.; Kundu, I.; Li, L.; Linfield, E.H.; Davies, A.G. Apertureless near-field terahertz imaging using the self-mixing effect in a quantum cascade laser. Appl. Phys. Lett. 2016, 108, 976. [Google Scholar] [CrossRef] [Green Version]
- Cao, W.; Singh, R.; Al-Naib, I.A.I.; He, M.; Zhang, W. Low-loss ultra-high-Q dark mode plasmonic Fano metamaterials. Opt. Lett. 2015, 37, 3366–3368. [Google Scholar] [CrossRef] [Green Version]
- Sui, S.; Yu, J.; Ma, H.; Zhang, J.; Wang, J.; Xu, Z.; Qu, S. Ultra-wideband polarization conversion metasurface based on topology optimal design and geometry tailor. In Proceedings of the IEEE MTT-S International Microwave Workshop Series on Advanced Materials and Processes for RF and THz Applications (IMWS-AMP), Suzhou, China, 1–3 July 2015; Volume 7, pp. 843–846. [Google Scholar]
- Li, X.; Yang, L.; Hu, C.; Luo, X.; Hong, M. Tunable bandwidth of band-stop filter by metamaterial cell coupling in optical frequency. Opt. Express 2011, 19, 5283–5289. [Google Scholar] [CrossRef]
- Asl, A.B.; Rostami, A.; Amiri, I.S. Terahertz band pass filter design using multilayer metamaterials. Opt. Quant. Electron. 2020, 52, 155. [Google Scholar] [CrossRef]
- Tran, T.; Bolívar, P. Terahertz modulator based on vertically coupled fano metamaterial. IEEE Trans. Terahertz Sci. Technol. 2018, 8, 502–508. [Google Scholar] [CrossRef]
- Ahmadivand, A.; Gerislioglu, B.; Pala, N. Large-modulation-depth polarization-sensitive plasmonic toroidal terahertz metamaterial. IEEE Photonics Technol. Lett. 2017, 29, 1860–1863. [Google Scholar] [CrossRef]
- Wu, T.; Shao, Y.; Ma, S.; Wang, G.; Gao, Y. Broadband terahertz absorber with tunable frequency and bandwidth by using Dirac semimetal and strontium titanate. Opt. Express 2021, 29, 7713–7723. [Google Scholar] [CrossRef] [PubMed]
- Song, Z.; Wang, Z.; Wei, M. Broadband tunable absorber for terahertz waves based on isotropic silicon metasurfaces. Mater. Lett. 2018, 234, 138–141. [Google Scholar] [CrossRef]
- Hu, T.; Strikwerda, A.C.; Fan, K.; Padilla, W.J.; Zhang, X.; Averitt, R.D. Reconfigurable terahertz metamaterials. Phys. Rev. Lett. 2009, 103, 147401–147404. [Google Scholar]
- Alves, F.; Kearney, B.; Grbovic, D.; Karunasiri, G. Narrowband terahertz emitters using metamaterial films. Opt. Express 2012, 20, 21025–21032. [Google Scholar] [CrossRef]
- Nagatsuma, T.; Ducournau, G.; Renaud, C.C. Advances in terahertz communications accelerated by photonics. Nat. Photonics 2016, 10, 371–379. [Google Scholar] [CrossRef]
- Zhang, Y.; Tan, Y.W.; Stormer, H.L.; Kim, P. Experimental observation of quantum hall effect and Berry’s Phase in Graphene. Nature 2005, 438, 201–204. [Google Scholar] [CrossRef] [Green Version]
- Huang, J.; Li, J.; Yang, Y.; Li, J.; Yao, J.Q. Broadband terahertz absorber with flexibly reconfigurable performance based on hybrid-patterned vanadium dioxide metasurfaces. Opt. Express 2020, 28, 17832–17840. [Google Scholar] [CrossRef]
- Wang, T.; Zhang, Y.; Zhang, H.; Cao, M. Dual-controlled switchable broadband terahertz absorber based on graphene-vanadium dioxide metamaterial. Opt. Mater. Express 2019, 10, 369–386. [Google Scholar] [CrossRef]
- Nair, R.R.; Blake, P.; Grigorenko, A.N.; Novoselov, K.S.; Booth, T.J.; Stauber, T.; Peres, N.; Geim, A.K. Fine structure constant defines visual transparency of graphene. Science 2008, 320, 1308. [Google Scholar] [CrossRef] [Green Version]
- Feng, H.; Xu, Z.; Kai, L.I.; Wang, M.; Yun, M. Tunable polarization-independent and angle-insensitive broadband terahertz absorber with graphene metamaterials. Opt. Express 2021, 29, 7158–7167. [Google Scholar] [CrossRef] [PubMed]
- Li, Q.; Liu, S.; Zhang, X.; Wang, S.; Chen, T. Electromagnetically induced transparency in terahertz metasurface composed of meanderline and U-shaped resonators. Opt. Express 2020, 28, 8792–8801. [Google Scholar] [CrossRef] [PubMed]
- Jeong, Y.G.; Han, S.; Rhie, J.; Kyoung, J.S.; Kim, D.S. A vanadium dioxide metamaterial disengaged from insulator-to-metal transition. Nano Lett. 2015, 15, 6318–6323. [Google Scholar] [CrossRef] [PubMed]
- Liu, J.; Guozhang, W.U.; Jiao, X.; Wang, Y.; Wang, Y. An ultra-wideband tunable metamaterial perfect absorber based on vanadium dioxide. Opt. Express 2021, 29, 2703–2711. [Google Scholar]
- Zhang, M.; Song, Z. Terahertz bifunctional absorber based on a graphene-spacer-vanadium dioxide-spacer-metal configuration. Opt. Express 2020, 28, 23331–23340. [Google Scholar] [CrossRef]
- Liu, W.; Song, Z. Terahertz absorption modulator with largely tunable bandwidth and intensity. Carbon 2020, 174, 617–624. [Google Scholar] [CrossRef]
- Liu, Y.; Huang, R.; Ouyang, Z. Terahertz absorber with dynamically switchable dual-broadband based on hybrid metamaterial with vanadium dioxide and graphene. Opt. Express 2021, 29, 20839–20850. [Google Scholar] [CrossRef]
- Cui, Z.; Zhu, D.; Yue, L.; Hu, H.; Chen, S.; Wang, X.; Wang, Y. Development of frequency-tunable multiple-band terahertz absorber based on control of polarization angles. Opt. Express 2019, 27, 22190–22197. [Google Scholar] [CrossRef]
- Gao, Y. Dual-spectral plasmon-induced transparent terahertz metamaterial with independently tunable amplitude and frequency. Nanomaterials 2021, 11, 2876. [Google Scholar]
- Lee, S.H.; Choi, M.; Kim, T.T.; Lee, S.; Liu, M.; Yin, X.; Choi, H.K.; Lee, S.S.; Choi, C.G.; Choi, S.Y. Switching teraherz waves with gate-controlled active graphene metamaterials. Nat. Mater. 2012, 11, 936–941. [Google Scholar] [CrossRef] [Green Version]
- Jablan, M.; Buljan, H.; Soljacic, M. Plasmonics in graphene at infrared frequencies. Phys. Rev. 2009, 80, 245431–245435. [Google Scholar] [CrossRef] [Green Version]
- Liu, M.K.; Hwang, H.Y.; Tao, H.; Strikwerda, A.C.; Fan, K.B.; Keiser, G.R.; Sternbach, A.J.; West, K.G.; Kittiwatanakul, S.; Lu, J.W. Terahertz-field-induced insulator-to-metal transition in vanadium dioxide metamaterial. Nature 2012, 487, 345–348. [Google Scholar] [CrossRef] [PubMed]
- Zhu, Y.; Zhao, Y.; Holtz, M.; Fan, Z.; Bernussi, A.A. Effect of substrate orientation on terahertz optical transmission through VO2 thin films and application to functional antireflection coatings. J. Opt. Soc. Am. B 2012, 29, 2373–2378. [Google Scholar] [CrossRef]
- Wang, S.; Kang, L.; Werner, D.H. Hybrid resonators and highly tunable terahertz metamaterials enabled by Vanadium Dioxide (VO2). Sci. Rep. 2017, 7, 4326. [Google Scholar] [CrossRef] [PubMed]
- Ding, F.; Zhong, S.; Bozhevolnyi, S.I. Vanadium dioxide integrated metasurfaces with switchable functionalities at terahertz frequencies. Adv. Opt. Mater. 2018, 6, 1701204. [Google Scholar] [CrossRef]
- Zheng, Z.; Zheng, Y.; Luo, Y.; Yi, Z.; Zhang, J.; Liu, L.; Song, Q.; Wu, P.; Yu, Y.; Zhang, J. Terahertz perfect absorber based on flexible active switching of ultra-broadband and ultra-narrowband. Opt. Express 2021, 29, 42787–42799. [Google Scholar] [CrossRef]
- Smith, D.R.; Schultz, S.; Markos, P.; Soukoulis, C.M. Determination of effective permittivity and permeability of metamaterials from reflection and transmission coefficients. Phys. Rev. B 2001, 65, 195104. [Google Scholar] [CrossRef] [Green Version]
- Smith, D.R.; Vier, D.C.; Koschny, T.; Soukoulis, C.M. Electromagnetic parameter retrieval from inhomogeneous metamaterials. Phys. Rev. E 2005, 71, 036617. [Google Scholar] [CrossRef] [Green Version]







| Reference | Adjustable Material | Absorption Band | Function |
|---|---|---|---|
| [26] | VO2 & Graphene | Narrow & Broad | Narrowband and broadband switching & Tuned absorptance |
| [27] | VO2 & Graphene | Dual narrow & Broad | Dual narrowband and single-broadband switching & Tuned absorptance |
| [28] | VO2 & Graphene | High frequency broad & Low frequency broad | High-frequency broadband and low-frequency broadband switching & Tuned absorptance |
| This work | VO2 & Graphene | Single broad & Dual broad | Single-broadband and dual-broadband switching & Tuned absorptance |
Publisher’s Note: MDPI stays neutral with regard to jurisdictional claims in published maps and institutional affiliations. |
© 2022 by the authors. Licensee MDPI, Basel, Switzerland. This article is an open access article distributed under the terms and conditions of the Creative Commons Attribution (CC BY) license (https://creativecommons.org/licenses/by/4.0/).
Share and Cite
Wang, G.; Wu, T.; Jia, Y.; Gao, Y.; Gao, Y. Switchable Terahertz Absorber from Single Broadband to Dual Broadband Based on Graphene and Vanadium Dioxide. Nanomaterials 2022, 12, 2172. https://doi.org/10.3390/nano12132172
Wang G, Wu T, Jia Y, Gao Y, Gao Y. Switchable Terahertz Absorber from Single Broadband to Dual Broadband Based on Graphene and Vanadium Dioxide. Nanomaterials. 2022; 12(13):2172. https://doi.org/10.3390/nano12132172
Chicago/Turabian StyleWang, Guan, Tong Wu, Yang Jia, Yang Gao, and Yachen Gao. 2022. "Switchable Terahertz Absorber from Single Broadband to Dual Broadband Based on Graphene and Vanadium Dioxide" Nanomaterials 12, no. 13: 2172. https://doi.org/10.3390/nano12132172
APA StyleWang, G., Wu, T., Jia, Y., Gao, Y., & Gao, Y. (2022). Switchable Terahertz Absorber from Single Broadband to Dual Broadband Based on Graphene and Vanadium Dioxide. Nanomaterials, 12(13), 2172. https://doi.org/10.3390/nano12132172

