The Adsorption of Heavy Metal Ions by Poly (Amidoamine) Dendrimer-Functionalized Nanomaterials: A Review
Abstract
:1. Introduction

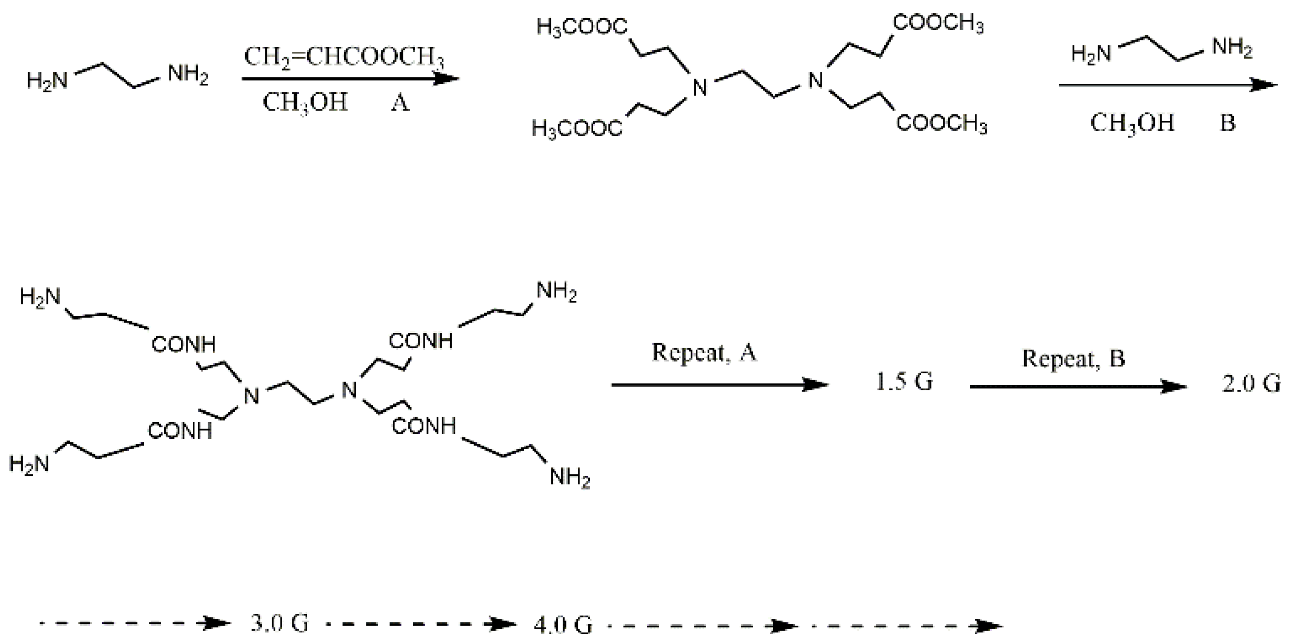
2. Chemical and Physical Properties of PAMAM Dendrimers
3. Adsorbents of Different Substrates
3.1. Adsorbents Based on Inorganic Substrates
3.2. Adsorbents Based on Biopolymers
3.3. Adsorbents Based on Carbon Nanomaterials
3.4. Adsorbents Based on Membrane Materials
3.5. Adsorbents in Gel State
4. Adsorption Studies
4.1. Influence of PAMAM Generations
4.2. Influence of pH
4.3. Influence of Other Parameters
5. Adsorption Mechanisms
6. Further Functionalization of PAMAM-Grafted Adsorbents
7. Conclusions and Outlook
Author Contributions
Funding
Institutional Review Board Statement
Informed Consent Statement
Data Availability Statement
Conflicts of Interest
References
- Wu, Y.H.; Pang, H.W.; Liu, Y.; Wang, X.X.; Yu, S.J.; Fu, D.; Chen, J.R.; Wang, X.K. Environmental remediation of heavy metal ions by novel-nanomaterials: A review. Environ. Pollut. 2019, 246, 608–620. [Google Scholar] [CrossRef] [PubMed]
- Yang, G.L.; Jiang, X.L.; Xu, H.; Zhao, B. Applications of MOFs as luminescent sensors for environmental pollutants. Small 2021, 17, 2005327. [Google Scholar] [CrossRef] [PubMed]
- Zheng, D.; Shi, M.J. Multiple environmental policies and pollution haven hypothesis: Evidence from China’s polluting industries. J. Clean. Prod. 2017, 141, 295–304. [Google Scholar] [CrossRef]
- Chakraborty, R.; Asthana, A.; Singh, A.K.; Jain, B.; Susan, A.B. Adsorption of heavy metal ions by various low-cost adsorbents: A review. Int. J. Environ. Anal. Chem. 2022, 102, 342–379. [Google Scholar] [CrossRef]
- Hasanzadeh, R.; Moghadam, P.N.; Bahri-Laleh, N.; Sillanpaa, M. Effective removal of toxic metal ions from aqueous solutions: 2-Bifunctional magnetic nanocomposite base on novel reactive PGMA-MAn copolymer@Fe3O4 nanoparticles. J. Colloid Interface Sci. 2017, 490, 727–746. [Google Scholar] [CrossRef]
- Hiew, B.Y.Z.; Lee, L.Y.; Lee, X.J.; Thangalazhy-Gopakumar, S.; Gan, S.; Lim, S.S.; Pan, G.T.; Yang, T.C.K.; Chiu, W.S.; Khiew, P.S. Review on synthesis of 3D graphene-based configurations and their adsorption performance for hazardous water pollutants. Process Saf. Environ. 2018, 116, 262–286. [Google Scholar] [CrossRef]
- Razzaz, A.; Ghorban, S.; Hosayni, L.; Irani, M.; Aliabadi, M. Chitosan nanofibers functionalized by TiO2 nanoparticles for the removal of heavy metal ions. J. Taiwan Inst. Chem. Eng. 2016, 58, 333–343. [Google Scholar] [CrossRef]
- Kumar, G.; Malla, K.A.; Yerra, B.; Rao, K.S. Removal of Cu(II) using three low-cost adsorbents and prediction of adsorption using artificial neural networks. Appl. Water Sci. 2019, 9, 44. [Google Scholar] [CrossRef] [Green Version]
- Awual, M.R.; Hasan, M.M.; Eldesoky, G.E.; Khaleque, M.A.; Rahman, M.M.; Naushad, M. Facile mercury detection and removal from aqueous media involving ligand impregnated conjugate nanomaterials. Chem. Eng. J. 2016, 290, 243–251. [Google Scholar] [CrossRef]
- Yang, S.Y.; Xue, Y.C.; Wang, M.Q. Complexed heavy metal wastewater treatment: Decomplexation mechanisms based on advanced oxidation processes. Prog. Chem. 2019, 31, 1187–1198. [Google Scholar] [CrossRef]
- Shi, H.C.; Li, J.J.; Shi, D.W.; Shi, H.J.; Feng, B.; Li, W.; Bai, Y.P.; Zhao, J.; He, A.H. Combined reduction/precipitation, chemical oxidation, and biological aerated filter processes for treatment of electroplating wastewater. Sep. Sci. Technol. 2015, 50, 2303–2310. [Google Scholar] [CrossRef]
- Bashir, A.; Malik, L.A.; Ahad, S.; Manzoor, T.; Bhat, M.A.; Dar, G.N.; Pandith, A.H. Removal of heavy metal ions from aqueous system by ion-exchange and biosorption methods. Environ. Chem. Lett. 2019, 17, 729–754. [Google Scholar] [CrossRef]
- Liu, C.; Wu, T.; Hsu, P.C.; Xie, J.; Zhao, J.; Liu, K.; Sun, J.; Xu, J.W.; Tang, J.; Ye, Z.W.; et al. Direct/alternating current electrochemical method for removing and recovering heavy metal from water using graphene oxide electrode. ACS Nano 2019, 13, 6431–6437. [Google Scholar] [CrossRef] [PubMed]
- Chai, W.S.; Cheun, J.Y.; Kumar, P.S.; Mubashir, M.; Majeed, Z.; Banat, F.; Ho, S.H.; Show, P.L. A review on conventional and novel materials towards heavy metal adsorption in wastewater treatment application. J. Clean. Prod. 2021, 296, 126589. [Google Scholar] [CrossRef]
- Burakov, A.E.; Galunin, E.V.; Burakova, I.V.; Kucherova, A.E.; Agarwal, S.; Tkachev, A.G.; Gupta, V.K. Adsorption of heavy metals on conventional and nanostructured materials for wastewater treatment purposes: A review. Ecotoxicol. Environ. Saf. 2018, 148, 702–712. [Google Scholar] [CrossRef]
- Gao, X.P.; Guo, C.; Hao, J.J.; Zhao, Z.; Long, H.M.; Li, M.Y. Adsorption of heavy metal ions by sodium alginate based adsorbent-a review and new perspectives. Int. J. Biol. Macromol. 2020, 164, 4423–4434. [Google Scholar] [CrossRef]
- Hasanpour, M.; Hatami, M. Application of three dimensional porous aerogels as adsorbent for removal of heavy metal ions from water/wastewater: A review study. Adv. Colloid Interface 2020, 284, 102247. [Google Scholar] [CrossRef]
- Huang, Y.; Zeng, X.F.; Guo, L.L.; Lan, J.H.; Zhang, L.L.; Cao, D.P. Heavy metal ion removal of wastewater by zeolite-imidazolate frameworks. Sep. Purif. Technol. 2018, 194, 462–469. [Google Scholar] [CrossRef]
- Pavithra, S.; Thandapani, G.; Sugashini, S.; Sudha, P.N.; Alkhamis, H.H.; Alrefaei, A.F.; Almutairi, M.H. Batch adsorption studies on surface tailored chitosan/orange peel hydrogel composite for the removal of Cr(VI) and Cu(II) ions from synthetic wastewater. Chemosphere 2021, 271, 129415. [Google Scholar] [CrossRef]
- Xu, J.; Cao, Z.; Zhang, Y.L.; Yuan, Z.L.; Lou, Z.M.; Xu, X.H.; Wang, X.K. A review of functionalized carbon nanotubes and graphene for heavy metal adsorption from water: Preparation, application, and mechanism. Chemosphere 2018, 195, 351–364. [Google Scholar] [CrossRef]
- Pei, X.P.; Gan, L.; Tong, Z.H.; Gao, H.P.; Meng, S.Y.; Zhang, W.L.; Wang, P.X.; Chen, Y.S. Robust cellulose-based composite adsorption membrane for heavy metal removal. J. Hazard. Mater. 2021, 406, 124746. [Google Scholar] [CrossRef] [PubMed]
- Kolluru, S.S.; Agarwal, S.; Sireesha, S.; Sreedhar, I.; Kale, S.R. Heavy metal removal from wastewater using nanomaterials-process and engineering aspects. Process Saf. Environ. 2021, 150, 323–355. [Google Scholar] [CrossRef]
- Chen, D.H. Special issue on nanomaterials for adsorptive removal of contaminants from aqueous solutions (Nano-adsorbents). J. Taiwan Inst. Chem. Eng. 2020, 112, 1–3. [Google Scholar] [CrossRef]
- Chu, Z.Z.; Zheng, P.T.; Yang, Y.; Wang, C.Y.; Yang, Z.H. Compressible nanowood/polymer composite adsorbents for wastewater purification applications. Compos. Sci. Technol. 2020, 198, 108320. [Google Scholar] [CrossRef]
- Zhou, H.; Zhu, H.X.; Xue, F.; He, H.; Wang, S.F. Cellulose-based amphoteric adsorbent for the complete removal of low-level heavy metal ions via a specialization and cooperation mechanism. Chem. Eng. J. 2020, 385, 123879. [Google Scholar] [CrossRef]
- Vieira, C.L.; Neto, F.O.S.; Carvalho-Silva, V.H.; Signini, R. Design of apolar chitosan-type adsorbent for removal of Cu(II) and Pb(II): An experimental and DFT viewpoint of the complexation process. J. Environ. Chem. Eng. 2019, 7, 103070. [Google Scholar] [CrossRef]
- Wang, W.; Yu, F.; Ba, Z.; Qian, H.; Zhao, S.; Liu, J.; Jiang, W.; Li, J.; Liang, D. In-depth sulfhydryl-modified cellulose fibers for efficient and rapid adsorption of Cr(VI). Polymers 2022, 14, 1482. [Google Scholar] [CrossRef]
- Hoang, A.T.; Nizetic, S.; Cheng, C.K.; Luque, R.; Thomas, S.; Banh, T.L.; Pham, V.; Nguyen, X.P. Heavy metal removal by biomass-derived carbon nanotubes as a greener environmental remediation: A comprehensive review. Chemosphere 2022, 287, 131959. [Google Scholar] [CrossRef]
- Abbasi, E.; Aval, S.F.; Akbarzadeh, A.; Milani, M.; Nasrabadi, H.T.; Joo, S.W.; Hanifehpour, Y.; Nejati-Koshki, K.; Pashaei-Asl, R. Dendrimers: Synthesis, applications, and properties. Nanoscale Res. Lett. 2014, 9, 247. [Google Scholar] [CrossRef] [Green Version]
- Mendes, L.P.; Pan, J.Y.; Torchilin, V.P. Dendrimers as nanocarriers for nucleic acid and drug delivery in cancer therapy. Molecules 2017, 22, 1401. [Google Scholar] [CrossRef] [Green Version]
- Santos, A.; Veiga, F.; Figueiras, A. Dendrimers as pharmaceutical excipients: Synthesis, properties, toxicity and biomedical applications. Materials 2020, 13, 65. [Google Scholar] [CrossRef] [PubMed] [Green Version]
- Mintzer, M.A.; Grinstaff, M.W. Biomedical applications of dendrimers: A tutorial. Chem. Soc. Rev. 2011, 40, 173–190. [Google Scholar] [CrossRef] [PubMed]
- Guo, D.; Zhou, X.; Muhammad, N.; Huang, S.; Zhu, Y. An overview of poly (amide-amine) dendrimers functionalized chromatographic separation materials. J. Chromatogr. A 2022, 1669, 462960. [Google Scholar] [CrossRef] [PubMed]
- Astruc, D.; Boisselier, E.; Ornelas, C. Dendrimers designed for functions: From physical, photophysical, and supramolecular properties to applications in sensing, catalysis, molecular electronics, photonics, and nanomedicine. Chem. Rev. 2010, 110, 1857–1959. [Google Scholar] [CrossRef] [PubMed]
- Geng, X.; Qu, R.; Kong, X.; Geng, S.; Zhang, Y.; Sun, C.; Ji, C. Facile synthesis of cross-linked hyperbranched polyamidoamines dendrimers for efficient Hg(II) removal from water. Front. Chem. 2021, 9, 743429. [Google Scholar] [CrossRef]
- Yuan, Y.; Wu, Y.; Wang, H.; Tong, Y.; Sheng, X.; Sun, Y.; Zhou, X.; Zhou, Q. Simultaneous enrichment and determination of cadmium and mercury ions using magnetic PAMAM dendrimers as the adsorbents for magnetic solid phase extraction coupled with high performance liquid chromatography. J. Hazard. Mater. 2020, 386, 121658. [Google Scholar] [CrossRef]
- Pawlaczyk, M.; Schroeder, G. Adsorption studies of Cu(II) ions on dendrimer-grafted silica-based materials. J. Mol. Liq. 2019, 281, 176–185. [Google Scholar] [CrossRef]
- Ren, B.; Wang, K.; Zhang, B.S.; Li, H.Y.; Niu, Y.Z.; Chen, H.; Yang, Z.L.; Li, X.Z.; Zhang, H.Q. Adsorption behavior of PAMAM dendrimers functionalized silica for Cd(II) from aqueous solution: Experimental and theoretical calculation. J. Taiwan Inst. Chem. Eng. 2019, 101, 80–91. [Google Scholar] [CrossRef]
- Priyadarshini, N.; Ilaiyaraja, P. Adsorption of U(VI) and Th(IV) from simulated nuclear waste using PAMAM and DGA functionalized PAMAM dendron grafted styrene divinylbenzene chelating resins. Chem. Pap. 2019, 73, 2879–2884. [Google Scholar] [CrossRef]
- Tomalia, D.A.; Baker, H.; Dewald, J.; Hall, M.; Kallos, G.; Martin, S.; Roeck, J.; Ryder, J.; Smith, P. A new class of polymers-starburst-dendritic macromolecules. Polym. J. 1985, 17, 117–132. [Google Scholar] [CrossRef] [Green Version]
- Tomalia, D.A.; Naylor, A.M.; Goddard, W.A. Starburst dendrimers-molecular-level control of size, shape, surface-chemistry, topology, and flexibility from atoms to macroscopic matter. Angew. Chem. Int. Ed. Engl. 1990, 29, 138–175. [Google Scholar] [CrossRef]
- Guo, D.; Lou, C.; Zhang, P.; Zhang, J.; Wang, N.; Wu, S.; Zhu, Y. Polystyrene-divinylbenzene-glycidyl methacrylate stationary phase grafted with poly (amidoamine) dendrimers for ion chromatography. J. Chromatogr. A 2016, 1456, 113–122. [Google Scholar] [CrossRef] [PubMed]
- Qu, R.J.; Niu, Y.; Sun, C.; Ji, C.; Wang, C.; Cheng, G. Syntheses, characterization, and adsorption properties for metal ions of silica-gel functionalized by ester- and amino-terminated dendrimer-like polyamidoamine polymer. Microporous Mesoporous Mater. 2006, 97, 58–65. [Google Scholar] [CrossRef]
- Aristov, Y.I. Challenging offers of material science for adsorption heat transformation: A review. Appl. Therm. Eng. 2013, 50, 1610–1618. [Google Scholar] [CrossRef]
- Pham, T.D.; Bui, V.P.; Pham, T.N.; Le, T.M.D.; Nguyen, K.T.; Bui, V.H.; Nguyen, T.D. Adsorptive removal of anionic azo dye new coccine using silica and silica-gel with surface modification by polycation. Polymers 2021, 13, 1536. [Google Scholar] [CrossRef]
- Zhang, Y.; Qu, R.J.; Xu, T.; Zhang, Y.; Sun, C.M.; Ji, C.N.; Wang, Y. Fabrication of triethylenetetramine terminal hyperbranched dendrimer-like polymer modified silica gel and its prominent recovery toward Au (III). Front. Chem. 2019, 7, 577. [Google Scholar] [CrossRef] [Green Version]
- Qu, R.; Niu, Y.; Liu, J.; Sun, C.; Zhang, Y.; Chen, H.; Ji, C. Adsorption and desorption behaviors of Pd(II) on silica-gel functionalized with ester- and amino-terminated dendrimer-like polyamidoamine polymers. React. Funct. Polym. 2008, 68, 1272–1280. [Google Scholar] [CrossRef]
- Qu, R.; Sun, C.; Ma, F.; Cui, Z.; Zhang, Y.; Sun, X.; Ji, C.; Wang, C.; Yin, P. Adsorption kinetics and equilibrium of copper from ethanol fuel on silica-gel functionalized with amino-terminated dendrimer-like polyamidoamine polymers. Fuel 2012, 92, 204–210. [Google Scholar] [CrossRef]
- Niu, Y.; Yang, J.; Qu, R.; Gao, Y.; Du, N.; Chen, H.; Sun, C.; Wang, W. Synthesis of silica-gel-supported sulfur-capped PAMAM dendrimers for efficient Hg(II) adsorption: Experimental and DFT study. Ind. Eng. Chem. Res. 2016, 55, 3679–3688. [Google Scholar] [CrossRef]
- Song, X.; Niu, Y.; Zhang, P.; Zhang, C.; Zhang, Z.; Zhu, Y.; Qu, R. Removal of Co(II) from fuel ethanol by silica-gel supported PAMAM dendrimers: Combined experimental and theoretical study. Fuel 2017, 199, 91–101. [Google Scholar] [CrossRef]
- Zhu, Y.; Niu, Y.; Li, H.; Ren, B.; Qu, R.; Chen, H.; Zhang, Y. Removal of Cd(II) and Fe(III) from DMSO by silica gel supported PAMAM dendrimers: Equilibrium, thermodynamics, kinetics and mechanism. Ecotox. Environ. Saf. 2018, 162, 253–260. [Google Scholar] [CrossRef] [PubMed]
- Li, H.Y.; Niu, Y.Z.; Xue, Z.X.; Mu, Q.H.; Wang, K.; Qu, R.J.; Chen, H.; Bai, L.J.; Yang, H.W.; Wei, D.L. Adsorption property and mechanism of PAMAM dendrimer/silica gel hybrids for Fe(III) and Ag(I) from N,N-dimethylformamide. J. Mol. Liq. 2019, 273, 305–313. [Google Scholar] [CrossRef]
- Barakat, M.A.; Ramadan, M.H.; Kuhn, J.N.; Woodcock, H.L. Equilibrium and kinetics of Pb2+ adsorption from aqueous solution by dendrimer/titania composites. Desalin. Water Treat. 2013, 52, 5869–5875. [Google Scholar] [CrossRef]
- Qin, W.; Qian, G.Y.; Tao, H.B.; Wang, J.W.; Sun, J.Y.; Cui, X.F.; Zhang, Y.G.; Zhang, X.L. Adsorption of Hg(II) ions by PAMAM dendrimers modified attapulgite composites. Funct. Polym. 2019, 136, 75–85. [Google Scholar] [CrossRef]
- Joye, I.J.; McClements, D.J. Biopolymer-based nanoparticles and microparticles: Fabrication, characterization, and application. Curr. Opin. Colloid Interface Sci. 2014, 19, 417–427. [Google Scholar] [CrossRef]
- Wang, C.Y.; Yokota, T.; Someya, T. Natural biopolymer-based biocompatible conductors for stretchable bioelectronics. Chem. Rev. 2021, 121, 2109–2146. [Google Scholar] [CrossRef]
- Martau, G.A.; Mihai, M.; Vodnar, D.C. The use of chitosan, alginate, and pectin in the biomedical and food sector-biocompatibility, bioadhesiveness, and biodegradability. Polymers 2019, 11, 1837. [Google Scholar] [CrossRef] [Green Version]
- Musarurwa, H.; Tavengwa, N.T. Application of carboxymethyl polysaccharides as bio-sorbents for the sequestration of heavy metals in aquatic environments. Carbohyd. Polym. 2020, 237, 116142. [Google Scholar] [CrossRef]
- Zhao, J.Q.; Zhang, X.F.; He, X.; Xiao, M.J.; Zhang, W.; Lu, C.H. A super biosorbent from dendrimer poly(amidoamine)-grafted cellulose nanofibril aerogels for effective removal of Cr(VI). J. Mater. Chem. A 2015, 3, 14703–14711. [Google Scholar] [CrossRef]
- Ma, F.; Qu, R.; Sun, C.; Wang, C.; Ji, C.; Zhang, Y.; Yin, P. Adsorption behaviors of Hg(II) on chitosan functionalized by amino-terminated hyperbranched polyamidoamine polymers. J. Hazard. Mater. 2009, 172, 792–801. [Google Scholar] [CrossRef]
- Qu, R.; Sun, C.; Ji, C.; Wang, C.; Chen, H.; Niu, Y.; Liang, C.; Song, Q. Preparation and metal-binding behaviour of chitosan functionalized by ester- and amino-terminated hyperbranched polyamidoamine polymers. Carbohyd. Res. 2008, 343, 267–273. [Google Scholar] [CrossRef] [PubMed]
- Wang, Y.C.; Lu, Q.Y. Dendrimer functionalized nanocrystalline cellulose for Cu(II) removal. Cellulose 2020, 27, 2173–2187. [Google Scholar] [CrossRef]
- Zarghami, Z.; Akbari, A.; Latifi, A.M.; Amani, M.A. Design of a new integrated chitosan-PAMAM dendrimer biosorbent for heavy metals removing and study of its adsorption kinetics and thermodynamics. Bioresource Technol. 2016, 205, 230–238. [Google Scholar] [CrossRef] [PubMed]
- Yin, Z.H.; Zhu, L.D.; Mo, F.; Li, S.X.; Hu, D.; Chu, R.Y.; Liu, C.C.; Hu, C.Z. Preparation of biochar grafted with amino-riched dendrimer by carbonization, magnetization and functional modification for enhanced copper removal. J. Taiwan Inst. Chem. Eng. 2021, 121, 349–359. [Google Scholar] [CrossRef]
- Xie, P.; Yuan, W.; Liu, X.B.; Peng, Y.M.; Yin, Y.H.; Li, Y.S.; Wu, Z.P. Advanced carbon nanomaterials for state-of-the-art flexible supercapacitors. Energy Storage Mater. 2021, 36, 56–76. [Google Scholar] [CrossRef]
- Nasrollahzadeh, M.; Sajjadi, M.; Iravani, S.; Varma, R.S. Carbon-based sustainable nanomaterials for water treatment: State-of-art and future perspectives. Chemosphere 2021, 263, 128005. [Google Scholar] [CrossRef]
- Ni, J.F.; Li, Y. Carbon nanomaterials in different dimensions for electrochemical energy storage. Adv. Energy Mater. 2016, 6, 1600278. [Google Scholar] [CrossRef]
- Shen, K.; Chen, X.D.; Chen, J.Y.; Li, Y.W. Development of MOF-derived carbon-based nanomaterials for efficient catalysis. ACS Catal. 2016, 6, 5887–5903. [Google Scholar] [CrossRef]
- Jon, C.S.; Meng, L.Y.; Li, D.H. Recent review on carbon nanomaterials functionalized with ionic liquids in sample pretreatment application. TrAC-Trends Anal. Chem. 2019, 120, 115641. [Google Scholar] [CrossRef]
- Cai, Y.Q.; Cai, Y.E.; Mou, S.F.; Lu, Y.Q. Multi-walled carbon nanotubes as a solid-phase extraction adsorbent for the determination of chlorophenols in environmental water samples. J. Chromatogr. A 2005, 1081, 245–247. [Google Scholar] [CrossRef]
- Hayati, B.; Maleki, A.; Najafi, F.; Daraei, H.; Gharibi, F.; McKay, G. Synthesis and characterization of PAMAM/CNT nanocomposite as a super-capacity adsorbent for heavy metal (Ni2+, Zn2+, As3+, Co2+) removal from wastewater. J. Mol. Liq. 2016, 224, 1032–1040. [Google Scholar] [CrossRef]
- Peer, F.E.; Bahramifar, N.; Younesi, H. Removal of Cd (II), Pb (II) and Cu (II) ions from aqueous solution by polyamidoamine dendrimer grafted magnetic graphene oxide nanosheets. J. Taiwan Inst. Chem. Eng. 2018, 87, 225–240. [Google Scholar] [CrossRef]
- Kommu, A.; Velachi, V.; Cordeiro, M.; Singh, J.K. Removal of Pb(II) Ion Using PAMAM Dendrimer Grafted Graphene and Graphene Oxide Surfaces: A Molecular Dynamics Study. J. Phys. Chem. A 2017, 121, 9320–9329. [Google Scholar] [CrossRef] [PubMed]
- Liu, G.P.; Jin, W.Q.; Xu, N.P. Two-dimensional-material membranes: A new family of high-performance separation membranes. Angew. Chem. Int. Ed. 2016, 55, 13384–13397. [Google Scholar] [CrossRef]
- Tao, M.M.; Xue, L.X.; Liu, F.; Jiang, L. An intelligent superwetting PVDF membrane showing switchable transport performance for oil/water separation. Adv. Mater. 2014, 26, 2943–2948. [Google Scholar] [CrossRef]
- Yong, W.F.; Zhang, H. Recent advances in polymer blend membranes for gas separation and pervaporation. Prog. Mater. 2021, 116, 100713. [Google Scholar] [CrossRef]
- Wang, C.Z.; Shen, J.W.; Zhu, J.T.; Bo, C.M.; Wei, Y.M. Tetrazole-functionalized cation-exchange membrane adsorbers with high binding capacity and unique separation feature for protein. J. Chromatogr. B 2018, 1097, 18–26. [Google Scholar] [CrossRef]
- Boysen, R.I.; Schwarz, L.J.; Nicolau, D.V.; Hearn, M.T.W. Molecularly imprinted polymer membranes and thin films for the separation and sensing of biomacromolecules. J. Sep. Sci. 2017, 40, 314–335. [Google Scholar] [CrossRef]
- Ren, L.F.; Adeel, M.; Li, J.; Xu, C.; Xu, Z.; Zhang, X.F.; Shao, J.H.; He, Y.L. Phenol separation from phenol-laden saline wastewater by membrane aromatic recovery system-like membrane contactor using Olutok for superhydrophobic/organophilic electrospun PDMS/PMMA membrane. Water Res. 2018, 135, 31–43. [Google Scholar] [CrossRef]
- Wang, X.J.; Li, Y.; Lu, X.J.; Xu, W.Y.; Zhao, W.; Wang, L.G. Fabrication and characterization of novel polyvinylidene fluoride ultrafiltration membranes for separation of Cr(VI) from wastewater. Adsorpt. Sci. Technol. 2016, 34, 526–537. [Google Scholar] [CrossRef]
- Zhang, J.G.; Xu, Z.W.; Mai, W.; Min, C.Y.; Zhou, B.M.; Shan, M.J.; Li, Y.L.; Yang, C.Y.; Wang, Z.; Qian, X.M. Improved hydrophilicity, permeability, antifouling and mechanical performance of PVDF composite ultrafiltration membranes tailored by oxidized low-dimensional carbon nanomaterials. J. Mater. Chem. A 2013, 1, 3101–3111. [Google Scholar] [CrossRef]
- Zhang, X.; Qin, Y.; Zhang, G.; Zhao, Y.; Lv, C.; Liu, X.; Chen, L. Preparation of PVDF/hyperbranched-nano-palygorskite composite membrane for efficient removal of heavy metal ions. Polymers 2019, 11, 156. [Google Scholar] [CrossRef] [PubMed] [Green Version]
- Kotte, M.R.; Kuvarega, A.T.; Cho, M.; Mamba, B.B.; Diallo, M.S. Mixed matrix PVDF membranes with in situ synthesized PAMAM dendrimer-like particles: A new class of sorbents for Cu(II) recovery from aqueous solutions by ultrafiltration. Environ. Sci. Technol. 2015, 49, 9431–9442. [Google Scholar] [CrossRef] [PubMed] [Green Version]
- Sun, H.Y.; Zhang, X.Y.; He, Y.; Zhang, D.D.; Feng, X.; Zhao, Y.P.; Chen, L. Preparation of PVDF-g-PAA-PAMAM membrane for efficient removal of copper ions. Chem. Eng. Sci. 2019, 209, 115186. [Google Scholar] [CrossRef]
- Yoo, H.; Kwak, S.Y. Surface functionalization of PTFE membranes with hyperbranched poly(amidoamine) for the removal of Cu2+ ions from aqueous solution. J. Membr. Sci. 2013, 448, 125–134. [Google Scholar] [CrossRef]
- Zhou, L.; Duan, Y.X.; Xu, X. Facile preparation of amine-rich polyamidoamine (PAMAM) gel for highly efficient removal of Cr(VI) ions. Colloid. Surf. A 2019, 579, 123685. [Google Scholar] [CrossRef]
- Abdellatif, F.H.H.; Abdellatif, M.M. Bio-based i-carrageenan aerogels as efficient adsorbents for heavy metal ions and acid dye from aqueous solution. Cellulose 2020, 27, 441–453. [Google Scholar] [CrossRef]
- Abdellatif, M.M.; Abdellatif, F.H.H.; Ibrahim, S. The utilization of cross-linked gelatin/PAMAM aerogels as heavy metal ions bio-adsorbents from aqueous solutions. Polym. Bull. 2022. [Google Scholar] [CrossRef]
- Fu, T.T.; Niu, Y.Z.; Zhou, Y.Z.; Wang, K.; Mu, Q.H.; Qu, R.J.; Chen, H.; Yuan, B.Q.; Yang, H.W. Adsorption of Mn(II) from aqueous solution by silica-gel supported polyamidoamine dendrimers: Experimental and DFT study. J. Taiwan Inst. Chem. Eng. 2019, 97, 189–199. [Google Scholar] [CrossRef]
- Wu, K.Y.; Luan, L.P.; Xing, J.X.; Ma, S.M.; Xue, Z.X.; Xu, W.L.; Niu, Y.Z. Removal of Zn(II) and Co(II) from N,N-dimethylformamide by polyamidoamine dendrimers decorated silica: Performance and mechanism. J. Mol. Liq. 2020, 308, 113073. [Google Scholar] [CrossRef]
- Sun, C.; Ma, F.; Zhang, G.; Qu, R.; Zhang, Y. Removal of mercury ions from ethanol solution using silica gel functionalized with amino-terminated dendrimer-like polyamidoamine polymers: Kinetics and equilibrium studies. J. Chem. Eng. Data 2011, 56, 4407–4415. [Google Scholar] [CrossRef]
- Hayati, B.; Maleki, A.; Najafi, F.; Gharibi, F.; McKay, G.; Gupta, V.K.; Puttaiah, S.H.; Marzban, N. Heavy metal adsorption using PAMAM/CNT nanocomposite from aqueous solution in batch and continuous fixed bed systems. Chem. Eng. J. 2018, 346, 258–270. [Google Scholar] [CrossRef]
- Hayati, B.; Maleki, A.; Najafi, F.; Daraei, H.; Gharibi, F.; McKay, G. Super high removal capacities of heavy metals (Pb2+ and Cu2+) using CNT dendrimer. J. Hazard. Mater. 2017, 336, 146–157. [Google Scholar] [CrossRef] [PubMed]
- Pawlaczyk, M.; Schroeder, G. Efficient removal of Ni(II) and Co(II) ions from aqueous solutions using silica-based hybrid materials functionalized with PAMAM dendrimers. Solvent Extr. Ion Exc. 2020, 38, 496–521. [Google Scholar] [CrossRef]
- Niu, Y.; Qu, R.; Sun, C.; Wang, C.; Chen, H.; Ji, C.; Zhang, Y.; Shao, X.; Bu, F. Adsorption of Pb(II) from aqueous solution by silica-gel supported hyperbranched polyamidoamine dendrimers. J. Hazard. Mater. 2013, 244–245, 276–286. [Google Scholar] [CrossRef] [PubMed]
- Yin, R.; Niu, Y.; Zhang, B.; Chen, H.; Yang, Z.; Yang, L.; Cu, Y. Removal of Cr(III) from aqueous solution by silica-gel/PAMAM dendrimer hybrid materials. Environ. Sci. Pollut. Res. 2019, 26, 18098–18112. [Google Scholar] [CrossRef] [PubMed]
- Liu, D.; Niu, L.; Dai, Y.; Zou, J.; Chen, T.; Zhou, Y. Synthesis of poly(amidoamine) dendrimer-based dithiocarbamate magnetic composite for the adsorption of Co2+ from aqueous solution. J. Mater. Sci. Mater. Electron. 2019, 30, 1161–1174. [Google Scholar] [CrossRef]
- Qu, R.J.; Sun, C.M.; Ma, F.; Zhang, Y.; Ji, C.N.; Yin, P. Removal of Fe(III) from ethanol solution by silica-gel supported dendrimer-like polyamidoamine polymers. Fuel 2018, 219, 205–213. [Google Scholar] [CrossRef]
- He, N.N.; Li, H.; Cheng, C.; Dong, H.; Lu, X.R.; Wen, J.; Wang, X.L. Enhanced marine applicability of adsorbent for uranium via synergy of hyperbranched poly(amido amine) and amidoxime groups. Chem. Eng. J. 2020, 395, 125162. [Google Scholar] [CrossRef]
- Luan, L.; Tang, B.; Liu, Y.; Xu, W.; Liu, Y.; Wang, A.; Niu, Y. Direct synthesis of sulfur-decorating PAMAM dendrimer/mesoporous silica for enhanced Hg(II) and Cd(II) adsorption. Langmuir 2022, 38, 698–710. [Google Scholar] [CrossRef]
- Qiao, W.Z.; Zhang, P.X.; Sun, L.X.; Ma, S.M.; Xu, W.L.; Xu, S.G.; Niu, Y.Z. Adsorption performance and mechanism of Schiff base functionalized polyamidoamine dendrimer/silica for aqueous Mn(II) and Co(II). Chin. Chem. Lett. 2020, 31, 2742–2746. [Google Scholar] [CrossRef]
- Kim, H.R.; Boukhvalov, D.W.; Lee, S.J.; Park, J.W. Computational calculation identified optimal binding sites in nano-sized magnetic-cored dendrimer. Chemosphere 2018, 210, 287–295. [Google Scholar] [CrossRef] [PubMed]
- Ji, Z.; Sun, H.; Zhu, Y.; Zhang, D.; Wang, L.; Dai, F.; Zhao, Y.; Chen, L. Enhanced selective removal of lead ions using a functionalized PAMAM@UiO-66-NH2 nanocomposite: Experiment and mechanism. Microporous Mesoporous Mater. 2021, 328, 111433. [Google Scholar] [CrossRef]
- Pan, S.D.; Shen, H.Y.; Xu, Q.H.; Luo, J.; Hu, M.Q. Surface mercapto engineered magnetic Fe3O4 nanoadsorbent for the removal of mercury from aqueous solutions. J. Colloid Interf. Sci. 2012, 365, 204–212. [Google Scholar] [CrossRef] [PubMed]
- Ghodsi, S.; Behbahani, M.; Badi, M.Y.; Ghambarian, M.; Sobhi, H.R.; Esrafili, A. A new dendrimer-functionalized magnetic nanosorbent for the efficient adsorption and subsequent trace measurement of Hg (II) ions in wastewater samples. J. Mol. Liq. 2021, 323, 114472. [Google Scholar] [CrossRef]
- Jiang, Y.; Gao, Q.; Yu, H.; Chen, Y.; Deng, F. Intensively competitive adsorption for heavy metal ions by PAMAM-SBA-15 and EDTA-PAMAM-SBA-15 inorganic–organic hybrid materials. Microporous Mesoporous Mater. 2007, 103, 316–324. [Google Scholar] [CrossRef]
- Cao, Q.; Liu, Y.; Wang, C.; Cheng, J. Phosphorus-modified poly(styrene-co-divinylbenzene)-PAMAM chelating resin for the adsorption of uranium(VI) in aqueous. J. Hazard. Mater. 2013, 263, 311–321. [Google Scholar] [CrossRef]
- Liu, Y.C.; Li, X.N.; Wang, C.Z.; Kong, X.; Zhoug, L.Z. Poly(styrene-co-divinylbenzene)-PAMAM-IDA chelating resin: Synthesis, characterization and application for Ni(II) removal in aqueous. J. Cent. South Univ. 2014, 21, 3479–3484. [Google Scholar] [CrossRef]
- Zarei, A.; Saedi, S.; Seidi, F. Synthesis and application of Fe3O4@SiO2@carboxyl-terminated PAMAM dendrimer nanocomposite for heavy metal removal. J. Inorg. Organomet. Polym. Mater. 2018, 28, 2835–2843. [Google Scholar] [CrossRef]
- Ilaiyaraja, P.; Deb, A.K.S.; Ponraju, D.; Ali, S.M.; Venkatraman, B. Surface engineering of PAMAM-SDB chelating resin with diglycolamic acid (DGA) functional group for efficient sorption of U(VI) and Th(IV) from aqueous medium. J. Hazard. Mater. 2017, 328, 1–11. [Google Scholar] [CrossRef]
- Luan, L.; Tang, B.; Ma, S.; Sun, L.; Xu, W.; Wang, A.; Niu, Y. Removal of aqueous Zn(II) and Ni(II) by Schiff base functionalized PAMAM dendrimer/silica hybrid materials. J. Mol. Liq. 2021, 330, 115634. [Google Scholar] [CrossRef]








| Adsorbents | T (K) | ΔG (kJ mol−1) | ΔH (kJ mol−1) | ΔS (J mol−1 K−1) |
|---|---|---|---|---|
| SiO2-G1.0 | 288 | −11.45 | 89.83 | 351.65 |
| 298 | −14.96 | |||
| 308 | −18.48 | |||
| SiO2-G2.0 | 288 | −12.65 | 59.96 | 252.12 |
| 298 | −15.17 | |||
| 308 | −17.69 | |||
| SiO2-G3.0 | 288 | −15.62 | 6.13 | 75.56 |
| 298 | −16.38 | |||
| 308 | −17.13 | |||
| SiO2-G4.0 | 288 | −13.98 | 40.36 | 188.68 |
| 298 | −15.87 | |||
| 308 | −17.75 |
| Substrates | Target Ions | Optimal Parameters | Maximum Sorption Capacity | Adsorption Kinetics | Adsorption Isotherms | Ref. |
|---|---|---|---|---|---|---|
| Silical gel | Fe3+ | Dosage: 0.05 g/20 mL Time: 24 h Temperature: 278 K | 0.58 mmol/g | Pseudo-second-order | Langmuir | [98] |
| Titania | Pb2+ | Dosage: 0.5 g/L pH: 7 Time: 60 min Temperature: 298 K | 400 mg/g | Pseudo-second-order | Langmuir | [53] |
| Cellulose | Cu2+ | Dosage: 200 mg/L pH: 5.5 Time: 24 h Temperature: 29 8K | 92.07 mg/g | N.D. | Langmuir | [62] |
| Chitosan | Pb2+ | Dosage: 0.01 g/mL pH: 6 Time: 24 h Temperature: 298 k | 58.5 mg/g | Pseudo-second-order | Langmuir | [63] |
| Biochar | Cu2+ | pH: 2.0–8.0 Time: 24 h Temperature: 318 K | 251.81 mg/g | Pseudo-second-order | Langmuir | [64] |
| Carbon nanotubes | Ni2+ Zn2+ As3+ Co2+ | Dosage: 0.03 g/L pH = 8 Time: 30 min Temperature: 298 K | 3350–3900 mg/g | Pseudo-second-order | Langmuir | [71] |
| magnetic graphene oxide | Cd2+ Pb2+ Cu2+ | Dosage:5–6 mg/100 mL pH: 6–7 Time: 90–120 min Temperature: 298 K | 326.729–435.85 mg/g | Pseudo-second-order | Freundlich | [72] |
| PVDF-g-PAA-PAMAM membrane | Cu2+ | Time: 110 min Temperature: 298 K | 100.98 mg/g | Lagergren second-order | N.D. 1 | [84] |
| PAMAM gel | Cr (VI) | Dosage: 50 mg/10 mL pH: 2 Time: 60 min Temperature: 293 K | 267.4 mg/g | Pseudo-second-order | Langmuir | [86] |
Publisher’s Note: MDPI stays neutral with regard to jurisdictional claims in published maps and institutional affiliations. |
© 2022 by the authors. Licensee MDPI, Basel, Switzerland. This article is an open access article distributed under the terms and conditions of the Creative Commons Attribution (CC BY) license (https://creativecommons.org/licenses/by/4.0/).
Share and Cite
Guo, D.; Huang, S.; Zhu, Y. The Adsorption of Heavy Metal Ions by Poly (Amidoamine) Dendrimer-Functionalized Nanomaterials: A Review. Nanomaterials 2022, 12, 1831. https://doi.org/10.3390/nano12111831
Guo D, Huang S, Zhu Y. The Adsorption of Heavy Metal Ions by Poly (Amidoamine) Dendrimer-Functionalized Nanomaterials: A Review. Nanomaterials. 2022; 12(11):1831. https://doi.org/10.3390/nano12111831
Chicago/Turabian StyleGuo, Dandan, Shaohua Huang, and Yan Zhu. 2022. "The Adsorption of Heavy Metal Ions by Poly (Amidoamine) Dendrimer-Functionalized Nanomaterials: A Review" Nanomaterials 12, no. 11: 1831. https://doi.org/10.3390/nano12111831
APA StyleGuo, D., Huang, S., & Zhu, Y. (2022). The Adsorption of Heavy Metal Ions by Poly (Amidoamine) Dendrimer-Functionalized Nanomaterials: A Review. Nanomaterials, 12(11), 1831. https://doi.org/10.3390/nano12111831

