Tunable Dual-Broadband Terahertz Absorber with Vanadium Dioxide Metamaterial
Abstract
:1. Introduction
2. Materials and Methods
Design and Simulation
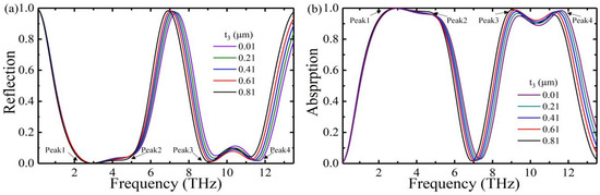
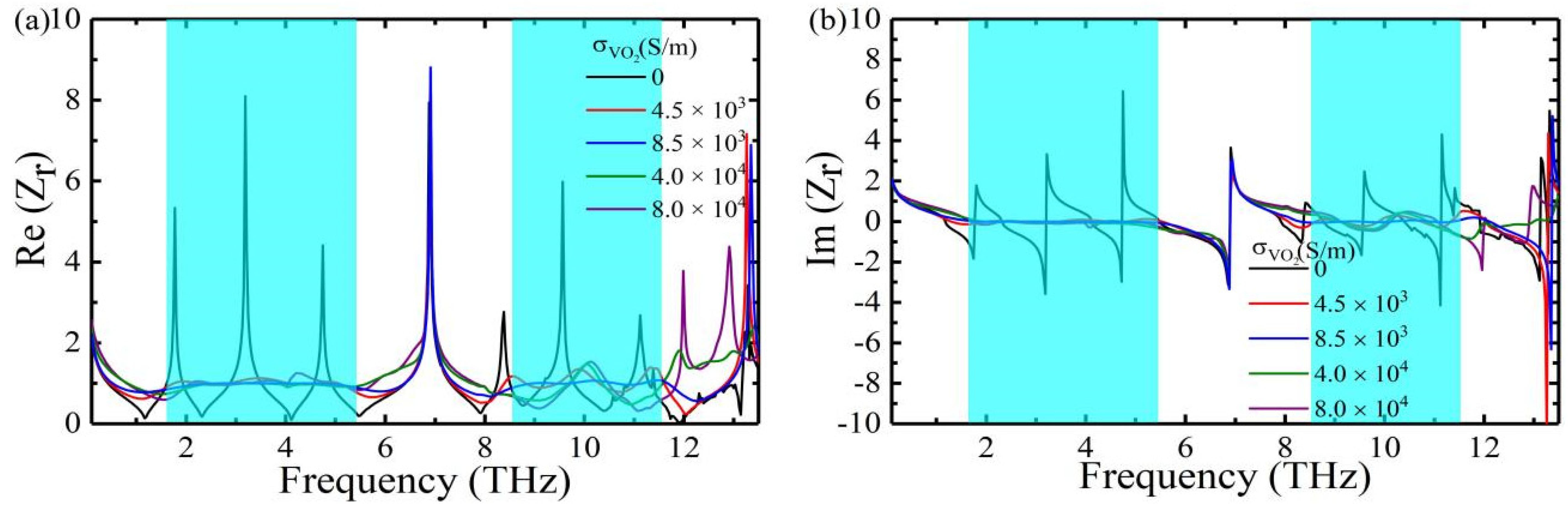
3. Results
4. Conclusions
Author Contributions
Funding
Institutional Review Board Statement
Informed Consent Statement
Data Availability Statement
Conflicts of Interest
References
- Song, J.H.; Nagatsuma, T. Present and Future of Terahertz Communications. IEEE Trans. Terahertz Sci. Technol. 2011, 1, 256–263. [Google Scholar] [CrossRef]
- Federici, J.F.; Schulkin, B.; Huang, F.; Gary, D.; Barat, R.; Oliveira, F.; Zimdars, D. THz imaging and sensing for security applications-explosives, weapons and drugs. Semicond. Sci. Technol. 2005, 20, S266–S280. [Google Scholar] [CrossRef]
- Tonouchi, M. Cutting-edge terahertz technology. Nat. Photonics 2007, 1, 97–105. [Google Scholar] [CrossRef]
- Li, X.; Yang, L.; Hu, C.; Luo, X.; Hong, M. Tunable bandwidth of band-stop filter by metamaterial cell coupling in optical frequency. Opt. Express 2011, 19, 5283–5289. [Google Scholar] [CrossRef] [PubMed]
- Xiong, R.; Li, J. Double layer frequency selective surface for Terahertz bandpass filter. J. Infrared Millim. Terahertz Waves 2018, 39, 1039–1046. [Google Scholar]
- Xu, Z.C.; Gao, R.M.; Ding, C.F.; Zhang, Y.T.; Yao, J.Q. Multiband metamaterial absorber at terahertz frequencies. Chin. Phys. Lett. 2014, 31, 054205. [Google Scholar] [CrossRef]
- Song, Z.; Wang, Z.; Wei, M. Broadband tunable absorber for terahertz waves based on isotropic silicon metasurfaces. Mater. Lett. 2019, 234, 138–141. [Google Scholar] [CrossRef]
- Arik, K.; AbdollahRamezani, S.; Khavasi, A. Polarization insensitive and broadband terahertz absorber using graphene disks. Plasmonics 2017, 12, 393–398. [Google Scholar] [CrossRef]
- Danila, O. Polyvinylidene fluoride-based metasurface for high-quality active switching and spectrum shaping in the terahertz G-band. Polymers 2021, 13, 1860. [Google Scholar] [CrossRef]
- Danila, O.; Manaila-Maximean, D.; Barar, A.; Loiko, V.A. Non-layered Gold-Silicon and All-Silicon Frequency-Selective Metasurfaces for Potential Mid-Infrared Sensing Applications. Sensors 2021, 21, 5600. [Google Scholar] [CrossRef]
- Cong, L.; Cao, W.; Zhang, X.; Tian, Z.; Gu, J.; Singh, R.; Han, J.; Zhang, W. A perfect metamaterial polarization rotator. Appl. Phys. Lett. 2013, 103, 171107. [Google Scholar] [CrossRef]
- Gric, T.; Cada, M.; Pistora, J. Propagation of surface waves formed at the interface between hyperbolic metamaterial and highly doped semiconductor. Opt. Quantum Electron. 2016, 48, 237. [Google Scholar] [CrossRef]
- Liu, X.L.; Starr, T.; Starr, A.F.; Padilla, W.J. Infrared spatial and frequency selective metamaterial with near-unity absorbance. Phys. Rev. Lett. 2010, 104, 207403. [Google Scholar] [CrossRef] [PubMed] [Green Version]
- Campbell, S.D.; Grobe, S.D.; Goodin, I.L.; Su, Q.; Grobe, R. Limitations of decomposition-based imaging of longitudinal absorber confifigurations. Phys. Rev. A 2008, 77, 023821. [Google Scholar] [CrossRef] [Green Version]
- Ni, X.; Wong, J.Z.; Mrejen, M.; Wang, Y.; Zhang, X. An ultrathin invisibility skin cloak for visible light. Science 2015, 349, 1310–1314. [Google Scholar] [CrossRef]
- Schurig, D.; Mock, J.J.; Justice, B.J.; Cummer, S.A.; Pendry, J.B.; Starr, A.F.; Smith, D.R. Metamaterial electromagnetic cloak at microwave frequencies. Science 2006, 314, 977–980. [Google Scholar] [CrossRef] [Green Version]
- Atwater, H.A.; Polman, A. Erratum: Plasmonics for improved photovoltaic devices. Nat. Mater. 2010, 9, 205–213. [Google Scholar] [CrossRef]
- Wang, Y.; Sun, T.; Paudel, T.; Zhang, Y.; Ren, Z.; Kempa, K. Metamaterial-plasmonic absorber structure for high efficiency amorphous silicon solar cells. Nano Lett. 2012, 12, 440–445. [Google Scholar] [CrossRef]
- Danila, O.; Manaila-Maximean, D. Bifunctional Metamaterials Using Spatial Phase Gradient Architectures: Generalized Reflection and Refraction Considerations. Materials 2021, 14, 2201. [Google Scholar] [CrossRef]
- Landy, N.I.; Sajuyigbe, S.; Mock, J.J.; Smith, D.R.; Padilla, W.J. Perfect Metamaterial Absorber. Phys. Rev. Lett. 2008, 100, 207402. [Google Scholar] [CrossRef]
- Bai, J.; Zhang, S.; Fan, F.; Wang, S.; Sun, X.; Miao, Y.; Chang, S. Tunable broadband THz absorber using vanadium dioxide metamaterials. Opt. Commun. 2019, 452, 292–295. [Google Scholar] [CrossRef]
- Tao, H.; Landy, N.I.; Bingham, C.M.; Zhang, X.; Averitt, R.D.; Padilla, W.J. A metamaterial absorber for the terahertz regime: Design, fabrication and characterization. Opt. Express 2008, 16, 7181–7188. [Google Scholar] [CrossRef] [PubMed]
- Wu, T.; Shao, Y.; Ma, S. Broadband terahertz absorber with tunable frequency and bandwidth by using Dirac semimetal and strontium titanate. Opt. Express 2021, 29, 7713–7723. [Google Scholar] [CrossRef] [PubMed]
- Cen, C.; Liu, L.; Zhang, Y.; Chen, X.; Xiao, S. Tunable absorption enhancement in periodic elliptical hollow graphene arrays. Opt. Mater. Express 2019, 9, 706–716. [Google Scholar] [CrossRef]
- Huang, J.; Li, J.; Yang, Y.; Li, J.; Zhang, Y.; Yao, J. Active controllable dual broadband terahertz absorber based on hybrid metamaterials with vanadium dioxide. Opt. Express 2020, 28, 7018–7027. [Google Scholar] [CrossRef]
- Jiao, X.F.; Zhang, Z.H.; Li, T. Tunable Dual Broadband Terahertz Metamaterial Absorber Based on Vanadium Dioxide. Appl. Sci. 2020, 10, 7259. [Google Scholar] [CrossRef]
- Zhang, J.; Tian, J.; Li, L. A dual-band tunable metamaterial near-unity absorber composed of periodic cross and disk graphene arrays. IEEE Photonics J. 2018, 10, 4800512. [Google Scholar] [CrossRef]
- Tao, H.; Bingham, C.M.; Pilon, D.; Fan, K.; Strikwerda, A.C.; Shrekenhamer, D.; Padilla, W.J.; Zhang, X.; Averitt, R.D. A dual band terahertz metamaterial absorber. J. Phys. D Appl. Phys. 2010, 43, 225102. [Google Scholar] [CrossRef]
- Bao, Z.; Wang, J.; Hu, Z.D.; Balmakou, A.; Zhang, C. Coordinated multi-band angle insensitive selection absorber based on graphene metamaterials. Opt. Express 2019, 27, 31435–31445. [Google Scholar] [CrossRef]
- Xu, K.D.; Li, J.; Zhang, A.; Chen, Q. Tunable multi-band terahertz absorber using single-layer square graphene ring structure with T-shaped graphene strips. Opt. Express 2020, 28, 11482–11492. [Google Scholar] [CrossRef]
- Hu, F.; Wang, H.; Zhang, X.; Xu, X.; Jiang, W.; Rong, Q.; Zhao, S.; Jiang, M.; Zhang, W.; Han, J. Electrically triggered tunable terahertz band-pass filter based on VO2 hybrid metamaterial. IEEE J. Sel. Top. Quantum Electron. 2019, 25, 4700207. [Google Scholar] [CrossRef]
- Li, Q.; Liu, S.; Zhang, X.; Wang, S.; Chen, T. Electromagnetically induced transparency in terahertz metasurface composed of meanderline and U-shaped resonators. Opt. Express 2020, 28, 8792–8801. [Google Scholar] [CrossRef] [PubMed]
- Liu, L.; Kang, L.; Mayer, T.S.; Werner, D.H. Hybrid metamaterials for electrically triggered multifunctional control. Nat. Commun. 2016, 7, 13236. [Google Scholar] [CrossRef] [PubMed]
- Wen, Q.; Zhang, H.; Yang, Q.; Xie, Y.; Chen, K.; Liu, Y. Terahertz metamaterials with VO2 cut-wires for thermal tunability. Appl. Phys. Lett. 2010, 97, 021111. [Google Scholar] [CrossRef]
- Liu, J.; Fan, L. Development of a tunable terahertz absorber based on temperature control. Microw. Opt. Technol. Lett. 2020, 62, 1681–1685. [Google Scholar]
- Choi, S.B.; Kyoung, J.S.; Kim, H.S.; Park, H.R.; Park, D.J.; Kim, B.J.; Ahn, Y.H.; Rotermund, F.; Kim, H.T.; Ahn, K.J.; et al. Nanopattern enabled terahertz all-optical switching on vanadium dioxide thin film. Appl. Phys. Lett. 2011, 98, 071105. [Google Scholar] [CrossRef]
- Zhang, Y.; Qiao, S.; Sun, L.; Shi, Q.; Huang, W.; Li, L.; Yang, Z. Photoinduced active terahertz metamaterials with nanostructured vanadium dioxide film deposited by sol-gel method. Opt. Express 2014, 22, 11070–11078. [Google Scholar] [CrossRef]
- Zheng, Z.P.; Zheng, Y.; Luo, Y.; Yi, Z.; Liu, L.; Song, Q.J.; Wu, P.H.; Yu, Y.; Zhang, J.F. Terahertz perfect absorber based on flexible active switching of ultra-broadband and ultra-narrowband. Opt. Express 2021, 29, 42787–42799. [Google Scholar] [CrossRef]
- Zhang, M.; Song, Z. Switchable terahertz metamaterial absorber with broadband absorption and multiband absorption. Opt. Express 2021, 29, 21551–21561. [Google Scholar] [CrossRef]
- Lv, T.; Dong, G.; Qin, C.; Qu, J.; Shi, J.H. Switchable dual-band to broadband terahertz metamaterial absorber incorporating VO2 phase transition. Opt. Express 2021, 29, 5437–5447. [Google Scholar] [CrossRef]
- Zhu, H.; Zhang, Y.; Ye, L. Switchable and tunable terahertz metamaterial absorber with broadband and multi-band absorption. Opt. Express 2020, 28, 38626–38637. [Google Scholar] [CrossRef] [PubMed]
- Gric, T.; Eldlio, M.; Cada, M.; Pistora, J. Analytic solution to field distribution in two-dimensional inhomogeneous waveguides. J. Electromagn. Waves Appl. 2015, 29, 1068–1081. [Google Scholar] [CrossRef]
- Song, Z.; Deng, Y.; Zhou, Y.; Liu, Z. Terahertz toroidal metamaterial with tunable properties. Opt. Express 2019, 27, 5792–5797. [Google Scholar] [CrossRef] [PubMed]
- Wang, S.; Kang, L.; Werner, D.H. Hybrid resonators and highly tunable terahertz metamaterials enabled by vanadium dioxide (VO2). Sci. Rep. 2017, 7, 4326. [Google Scholar] [CrossRef]







| Reference | Absorption Bandwidth (THz) | Adjustable Material | Tunable Function | Oblique Incidence (TE) | Oblique Incidence (TM) |
|---|---|---|---|---|---|
| [17] | 1.25 | VO2 | Absorptance | 40° | 60° |
| [19] | 0.70 | BDS, STO | Absorptance, frequency | 40° | 40° |
| [21] | 0.88, 0.77 | VO2 | Absorptance | 50°, 20° | 60°, 20° |
| [22] | 2.32, 2.03 | VO2 | Absorptance | Not given | Not given |
| This work | 3.40, 3.06 | VO2 | Absorptance, bandwidth | 70°, 60° | 70°, 60° |
Publisher’s Note: MDPI stays neutral with regard to jurisdictional claims in published maps and institutional affiliations. |
© 2022 by the authors. Licensee MDPI, Basel, Switzerland. This article is an open access article distributed under the terms and conditions of the Creative Commons Attribution (CC BY) license (https://creativecommons.org/licenses/by/4.0/).
Share and Cite
Feng, H.; Zhang, Z.; Zhang, J.; Fang, D.; Wang, J.; Liu, C.; Wu, T.; Wang, G.; Wang, L.; Ran, L.; et al. Tunable Dual-Broadband Terahertz Absorber with Vanadium Dioxide Metamaterial. Nanomaterials 2022, 12, 1731. https://doi.org/10.3390/nano12101731
Feng H, Zhang Z, Zhang J, Fang D, Wang J, Liu C, Wu T, Wang G, Wang L, Ran L, et al. Tunable Dual-Broadband Terahertz Absorber with Vanadium Dioxide Metamaterial. Nanomaterials. 2022; 12(10):1731. https://doi.org/10.3390/nano12101731
Chicago/Turabian StyleFeng, Hengli, Zuoxin Zhang, Jingyu Zhang, Dongchao Fang, Jincheng Wang, Chang Liu, Tong Wu, Guan Wang, Lehui Wang, Lingling Ran, and et al. 2022. "Tunable Dual-Broadband Terahertz Absorber with Vanadium Dioxide Metamaterial" Nanomaterials 12, no. 10: 1731. https://doi.org/10.3390/nano12101731
APA StyleFeng, H., Zhang, Z., Zhang, J., Fang, D., Wang, J., Liu, C., Wu, T., Wang, G., Wang, L., Ran, L., & Gao, Y. (2022). Tunable Dual-Broadband Terahertz Absorber with Vanadium Dioxide Metamaterial. Nanomaterials, 12(10), 1731. https://doi.org/10.3390/nano12101731

