The Role of Substrate on Thermal Evolution of Ag/TiO2 Nanogranular Thin Films
Abstract
:1. Introduction
2. Materials and Methods
3. Results and Discussion
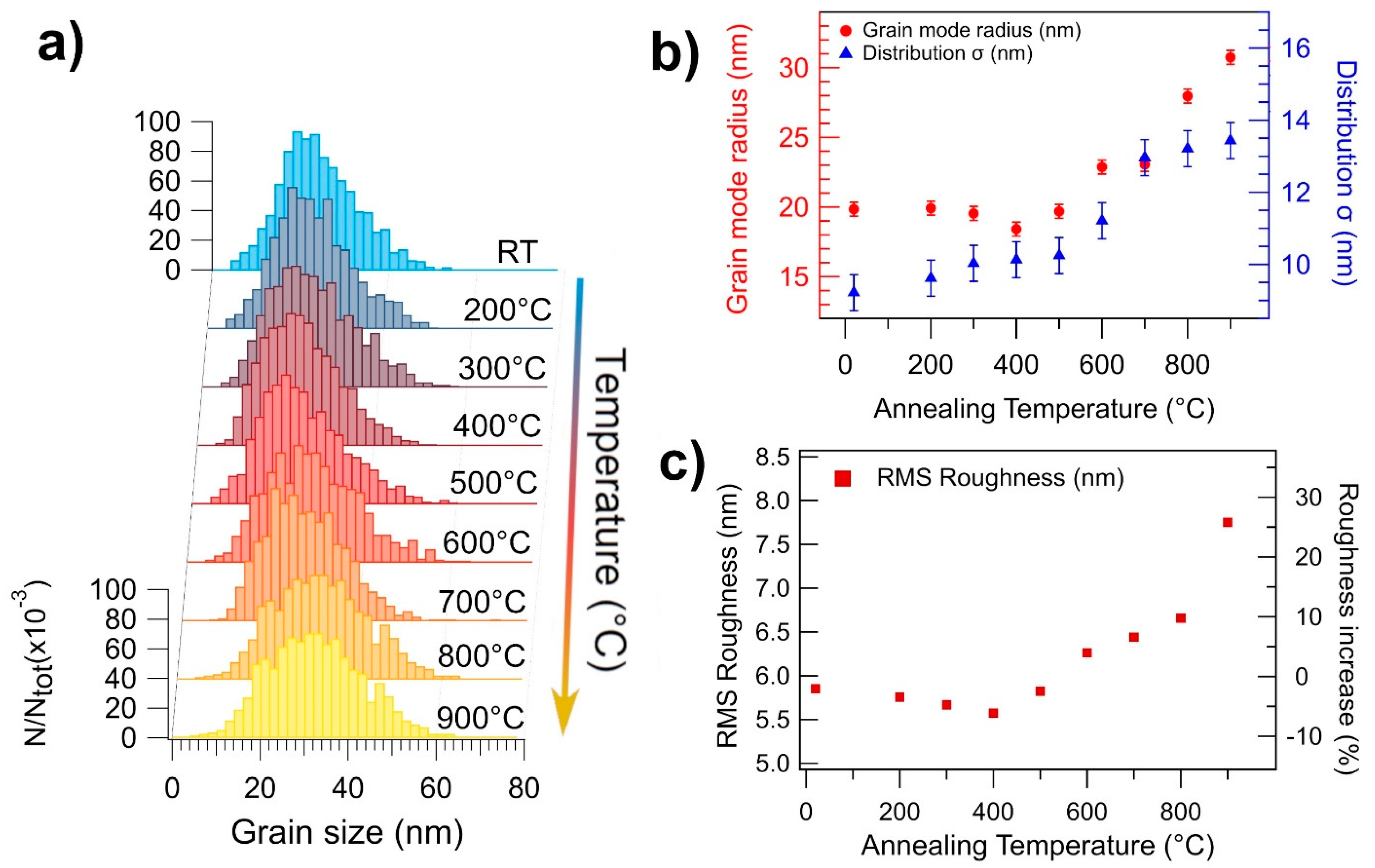
3.1. Morphology of the Ag/TiO2 Films
3.2. Optical Absorption of the Films
3.3. Substrate Effect on Silver Diffusion
3.4. Effect of Silver on the Phase Transitions of TiO2
4. Conclusions
Supplementary Materials
Author Contributions
Funding
Institutional Review Board Statement
Informed Consent Statement
Acknowledgments
Conflicts of Interest
References
- Sun, W.; Tan, A.W.-Y.; Wu, K.; Yin, S.; Yang, X.; Marinescu, I.; Liu, E. Post-Process Treatments on Supersonic Cold Sprayed Coatings: A Review. Coatings 2020, 10, 123. [Google Scholar] [CrossRef] [Green Version]
- Shao, F.; Wan, Q. Recent Progress on Jet Printing of Oxide-Based Thin Film Transistors. J. Phys. D Appl. Phys. 2019, 52, 143002. [Google Scholar] [CrossRef]
- Benetti, G.; Cavaliere, E.; Brescia, R.; Salassi, S.; Ferrando, R.; Vantomme, A.; Pallecchi, L.; Pollini, S.; Boncompagni, S.; Fortuni, B.; et al. Tailored Ag–Cu–Mg Multielemental Nanoparticles for Wide-Spectrum Antibacterial Coating. Nanoscale 2019, 11, 1626–1635. [Google Scholar] [CrossRef]
- Cavaliere, E.; Benetti, G.; Van Bael, M.; Winckelmans, N.; Bals, S.; Gavioli, L. Exploring the Optical and Morphological Properties of Ag and Ag/TiO2 Nanocomposites Grown by Supersonic Cluster Beam Deposition. Nanomaterials 2017, 7, 442. [Google Scholar] [CrossRef] [Green Version]
- García-Serrano, J.; Gómez-Hernández, E.; Ocampo-Fernández, M.; Pal, U. Effect of Ag Doping on the Crystallization and Phase Transition of TiO2 Nanoparticles. Curr. Appl. Phys. 2009, 9, 1097–1105. [Google Scholar] [CrossRef]
- Khan, S.; ul Haq, M.; Ma, Y.; Nisar, M.; Li, Y.; Khan, R.; Han, G.; Liu, Y. Structural and Optical Properties of Macroporous Ag@TiO2 Thin Films Prepared by a Facile One-Step Sol–Gel Method. J. Sol.-Gel. Sci. Technol. 2020, 93, 273–280. [Google Scholar] [CrossRef]
- Mathpal, M.C.; Tripathi, A.K.; Singh, M.K.; Gairola, S.P.; Pandey, S.N.; Agarwal, A. Effect of Annealing Temperature on Raman Spectra of TiO2 Nanoparticles. Chem. Phys. Lett. 2013, 555, 182–186. [Google Scholar] [CrossRef]
- Saidani, T.; Zaabat, M.; Aida, M.S.; Benaboud, A.; Benzitouni, S.; Boudine, A. Influence of Annealing Temperature on the Structural, Morphological and Optical Properties of Cu Doped ZnO Thin Films Deposited by the Sol–Gel Method. Superlattices Microstruct. 2014, 75, 47–53. [Google Scholar] [CrossRef]
- Adochite, R.C.; Munteanu, D.; Torrell, M.; Cunha, L.; Alves, E.; Barradas, N.P.; Cavaleiro, A.; Riviere, J.P.; Le Bourhis, E.; Eyidi, D.; et al. The Influence of Annealing Treatments on the Properties of Ag:TiO2 Nanocomposite Films Prepared by Magnetron Sputtering. Appl. Surf. Sci. 2012, 258, 4028–4034. [Google Scholar] [CrossRef]
- Bukauskas, V.; Kaciulis, S.; Mezzi, A.; Mironas, A.; Niaura, G.; Rudzikas, M.; Šimkienė, I.; Šetkus, A. Effect of Substrate Temperature on the Arrangement of Ultra-Thin TiO2 Films Grown by a Dc-Magnetron Sputtering Deposition. Thin Solid Film. 2015, 585, 5–12. [Google Scholar] [CrossRef]
- Kulczyk-Malecka, J.; Kelly, P.J.; West, G.; Clarke, G.C.B.; Ridealgh, J.A.; Almtoft, K.P.; Greer, A.L.; Barber, Z.H. Investigation of Silver Diffusion in TiO2/Ag/TiO2 Coatings. Acta Mater. 2014, 66, 396–404. [Google Scholar] [CrossRef]
- Tanemura, S.; Miao, L.; Jin, P.; Kaneko, K.; Terai, A.; Nabatova-Gabain, N. Optical Properties of Polycrystalline and Epitaxial Anatase and Rutile TiO2 Thin Films by Rf Magnetron Sputtering. Appl. Surf. Sci. 2003, 212–213, 654–660. [Google Scholar] [CrossRef]
- Herrmann, J.; Tahiri, H.; Aitichou, Y.; Lassaletta, G.; Gonzalezelipe, A.; Fernandez, A. Characterization and Photocatalytic Activity in Aqueous Medium of TiO2 and Ag-TiO2 Coatings on Quartz. Appl. Catal. B Environ. 1997, 13, 219–228. [Google Scholar] [CrossRef]
- Milani, P.; Iannotta, S. Cluster Beam Synthesis of Nanostructured Materials; Springer Series in Cluster Physics; Springer: Berlin/Heidelberg, Germany, 1999; ISBN 978-3-642-64173-2. [Google Scholar]
- Barborini, E.; Kholmanov, I.N.; Piseri, P.; Ducati, C.; Bottani, C.E.; Milani, P. Engineering the Nanocrystalline Structure of TiO2 Films by Aerodynamically Filtered Cluster Deposition. Appl. Phys. Lett. 2002, 81, 3052–3054. [Google Scholar] [CrossRef]
- Kholmanov, I.N.; Barborini, E.; Vinati, S.; Piseri, P.; Podestà, A.; Ducati, C.; Lenardi, C.; Milani, P. The Influence of the Precursor Clusters on the Structural and Morphological Evolution of Nanostructured TiO2 under Thermal Annealing. Nanotechnology 2003, 14, 1168–1173. [Google Scholar] [CrossRef]
- Milani, P.; Sowwan, M. Cluster Beam Deposition of Functional Nanomaterials and Devices; Elsevier: Amsterdam, The Netherlands, 2020; ISBN 978-0-08-102516-1. [Google Scholar]
- Cavaliere, E.; Benetti, G.; Banfi, F.; Gavioli, L. Antimicrobial nanostructured coating. In Frontiers of Nanoscience; Elsevier: Amsterdam, The Netherlands, 2020; Volume 15, pp. 291–311. ISBN 978-0-08-102515-4. [Google Scholar]
- Sanzone, G.; Zimbone, M.; Cacciato, G.; Ruffino, F.; Carles, R.; Privitera, V.; Grimaldi, M.G. Ag/TiO2 Nanocomposite for Visible Light-Driven Photocatalysis. Superlattices Microstruct. 2018, 123, 394–402. [Google Scholar] [CrossRef]
- Yang, J.-K.; Davis, A.P. Photocatalytic Oxidation of Cu(II)−EDTA with Illuminated TiO2: Kinetics. Environ. Sci. Technol. 2000, 34, 3789–3795. [Google Scholar] [CrossRef]
- Fujishima, A.; Zhang, X.; Tryk, D. TiO2 Photocatalysis and Related Surface Phenomena. Surf. Sci. Rep. 2008, 63, 515–582. [Google Scholar] [CrossRef]
- Anpo, M.; Takeuchi, M. The Design and Development of Highly Reactive Titanium Oxide Photocatalysts Operating under Visible Light Irradiation. J. Catal. 2003, 216, 505–516. [Google Scholar] [CrossRef]
- Fraters, B.D.; Cavaliere, E.; Mul, G.; Gavioli, L. Synthesis of Photocatalytic TiO2 Nano-Coatings by Supersonic Cluster Beam Deposition. J. Alloys Compd. 2014, 615, S467–S471. [Google Scholar] [CrossRef]
- Benetti, G.; Cavaliere, E.; Canteri, A.; Landini, G.; Rossolini, G.M.; Pallecchi, L.; Chiodi, M.; Van Bael, M.J.; Winckelmans, N.; Bals, S.; et al. Direct Synthesis of Antimicrobial Coatings Based on Tailored Bi-Elemental Nanoparticles. Appl. Mater. 2017, 5, 036105. [Google Scholar] [CrossRef] [Green Version]
- Benetti, G.; Cavaliere, E.; Banfi, F.; Gavioli, L. Antimicrobial Nanostructured Coatings: A Gas Phase Deposition and Magnetron Sputtering Perspective. Materials 2020, 13, 784. [Google Scholar] [CrossRef] [Green Version]
- Hayakawa, I.; Iwamoto, Y.; Kikuta, K.; Hirano, S. Gas Sensing Properties of Platinum Dispersed-TiO2 Thin Film Derived from Precursor. Sens. Actuators B Chem. 2000, 62, 55–60. [Google Scholar] [CrossRef]
- Zhu, Z.; Kao, C.-T.; Wu, R.-J. A Highly Sensitive Ethanol Sensor Based on Ag@TiO2 Nanoparticles at Room Temperature. Appl. Surf. Sci. 2014, 320, 348–355. [Google Scholar] [CrossRef]
- Zhu, Y.; Shi, J.; Zhang, Z.; Zhang, C.; Zhang, X. Development of a Gas Sensor Utilizing Chemiluminescence on Nanosized Titanium Dioxide. Anal. Chem. 2002, 74, 120–124. [Google Scholar] [CrossRef] [PubMed]
- Tanahashi, I.; Yamazaki, F.; Hamada, K. Localized Surface Plasmon Resonance Sensing Properties of Ag/TiO2 Films. Chem. Lett. 2006, 35, 454–455. [Google Scholar] [CrossRef]
- Bach, U.; Lupo, D.; Comte, P.; Moser, J.E.; Weissörtel, F.; Salbeck, J.; Spreitzer, H.; Grätzel, M. Solid-State Dye-Sensitized Mesoporous TiO2 Solar Cells with High Photon-to-Electron Conversion Efficiencies. Nature 1998, 395, 583–585. [Google Scholar] [CrossRef]
- Grätzel, M. Photoelectrochemical Cells. Nature 2001, 414, 338–344. [Google Scholar] [CrossRef]
- Kawamura, G.; Ohmi, H.; Tan, W.K.; Lockman, Z.; Muto, H.; Matsuda, A. Ag Nanoparticle-Deposited TiO2 Nanotube Arrays for Electrodes of Dye-Sensitized Solar Cells. Nanoscale Res. Lett. 2015, 10, 219. [Google Scholar] [CrossRef] [Green Version]
- Zhang, S.; Peng, L.-M.; Chen, Q.; Du, G.H.; Dawson, G.; Zhou, W.Z. Formation Mechanism of H2Ti3O7 Nanotubes. Phys. Rev. Lett. 2003, 91, 256103. [Google Scholar] [CrossRef]
- Wang, J.; Polleux, J.; Lim, J.; Dunn, B. Pseudocapacitive Contributions to Electrochemical Energy Storage in TiO2 (Anatase) Nanoparticles. J. Phys. Chem. C 2007, 111, 14925–14931. [Google Scholar] [CrossRef]
- Nes, E.; Ryum, N.; Hunderi, O. On the Zener Drag. Acta Metall. 1985, 33, 11–22. [Google Scholar] [CrossRef]
- Andrievski, R.A. Review of Thermal Stability of Nanomaterials. J. Mater. Sci. 2014, 49, 1449–1460. [Google Scholar] [CrossRef]
- O’Dell, L.A.; Savin; Chadwick, A.V.; Smith, M.E. Structural Characterization of SiO2 and Al2O 3 Zener-Pinned Nanocrystalline TiO2 by NMR, XRD and Electron Microscopy. J. Phys. Chem. C 2007, 111, 13740–13746. [Google Scholar] [CrossRef]
- Mosquera, A.A.; Albella, J.M.; Navarro, V.; Bhattacharyya, D.; Endrino, J.L. Effect of Silver on the Phase Transition and Wettability of Titanium Oxide Films. Sci. Rep. 2016, 6, 32171. [Google Scholar] [CrossRef] [PubMed] [Green Version]
- Viana, M.M.; Mohallem, N.D.S.; Miquita, D.R.; Balzuweit, K.; Silva-Pinto, E. Preparation of Amorphous and Crystalline Ag/TiO2 Nanocomposite Thin Films. Appl. Surf. Sci. 2013, 265, 130–136. [Google Scholar] [CrossRef]
- Borges, J.; Rodrigues, M.S.; Lopes, C.; Costa, D.; Couto, F.M.; Kubart, T.; Martins, B.; Duarte, N.; Dias, J.P.; Cavaleiro, A.; et al. Thin Films Composed of Ag Nanoclusters Dispersed in TiO2: Influence of Composition and Thermal Annealing on the Microstructure and Physical Responses. Appl. Surf. Sci. 2015, 358, 595–604. [Google Scholar] [CrossRef] [Green Version]
- Singh, J.; Sahu, K.; Mohapatra, S. Thermal Annealing Induced Evolution of Morphological, Structural, Optical and Photocatalytic Properties of Ag-TiO2 Nanocomposite Thin Films. J. Phys. Chem. Solids 2019, 129, 317–323. [Google Scholar] [CrossRef]
- Chuang, H.-Y.; Chen, D.-H. Fabrication and Photoelectrochemical Study of Ag@TiO2 Nanoparticle Thin Film Electrode. Int. J. Hydrogen Energy 2011, 36, 9487–9495. [Google Scholar] [CrossRef]
- Akhavan, O. Lasting Antibacterial Activities of Ag–TiO2/Ag/a-TiO2 Nanocomposite Thin Film Photocatalysts under Solar Light Irradiation. J. Colloid Interface Sci. 2009, 336, 117–124. [Google Scholar] [CrossRef]
- Oh, J.-H.; Lee, H.; Kim, D.; Seong, T.-Y. Effect of Ag Nanoparticle Size on the Plasmonic Photocatalytic Properties of TiO2 Thin Films. Surf. Coat. Technol. 2011, 206, 185–189. [Google Scholar] [CrossRef]
- Naoi, K.; Ohko, Y.; Tatsuma, T. TiO2 Films Loaded with Silver Nanoparticles: Control of Multicolor Photochromic Behavior. J. Am. Chem. Soc. 2004, 126, 3664–3668. [Google Scholar] [CrossRef] [PubMed]
- Ohko, Y.; Tatsuma, T.; Fujii, T.; Naoi, K.; Niwa, C.; Kubota, Y.; Fujishima, A. Multicolour Photochromism of TiO2 Films Loaded with Silver Nanoparticles. Nat. Mater. 2003, 2, 29–31. [Google Scholar] [CrossRef]
- Roguska, A.; Kudelski, A.; Pisarek, M.; Lewandowska, M.; Kurzydłowski, K.J.; Janik-Czachor, M. In Situ Spectroelectrochemical Surface-Enhanced Raman Scattering (SERS) Investigations on Composite Ag/TiO2-Nanotubes/Ti Substrates. Surf. Sci. 2009, 603, 2820–2824. [Google Scholar] [CrossRef]
- Yang, L.; Jiang, X.; Ruan, W.; Yang, J.; Zhao, B.; Xu, W.; Lombardi, J.R. Charge-Transfer-Induced Surface-Enhanced Raman Scattering on Ag−TiO2 Nanocomposites. J. Phys. Chem. C 2009, 113, 16226–16231. [Google Scholar] [CrossRef]
- Bowker, M.; James, D.; Stone, P.; Bennett, R.; Perkins, N.; Millard, L.; Greaves, J.; Dickinson, A. Catalysis at the Metal-Support Interface: Exemplified by the Photocatalytic Reforming of Methanol on Pd/TiO2. J. Catal. 2003, 217, 427–433. [Google Scholar] [CrossRef]
- Zhang, H.; Wang, G.; Chen, D.; Lv, X.; Li, J. Tuning Photoelectrochemical Performances of Ag−TiO2 Nanocomposites via Reduction/Oxidation of Ag. Chem. Mater. 2008, 20, 6543–6549. [Google Scholar] [CrossRef]
- Zhang, F.; Pi, Y.; Cui, J.; Yang, Y.; Zhang, X.; Guan, N. Unexpected Selective Photocatalytic Reduction of Nitrite to Nitrogen on Silver-Doped Titanium Dioxide. J. Phys. Chem. C 2007, 111, 3756–3761. [Google Scholar] [CrossRef]
- Kumar, M.; Kumar, T.; Avasthi, D.K. Study of Thermal Annealing Induced Plasmonic Bleaching in Ag:TiO2 Nanocomposite Thin Films. Scr. Mater. 2015, 105, 46–49. [Google Scholar] [CrossRef]
- Piseri, P.; Podestà, A.; Barborini, E.; Milani, P. Production and Characterization of Highly Intense and Collimated Cluster Beams by Inertial Focusing in Supersonic Expansions. Rev. Sci. Instrum. 2001, 72, 2261–2267. [Google Scholar] [CrossRef] [Green Version]
- Perez, A.; Melinon, P.; Dupuis, V.; Jensen, P.; Prevel, B.; Tuaillon, J.; Bardotti, L.; Martet, C.; Treilleux, M.; Broyer, M.; et al. Cluster Assembled Materials: A Novel Class of Nanostructured Solids with Original Structures and Properties. J. Phys. D Appl. Phys. 1997, 30, 709–721. [Google Scholar] [CrossRef]
- Haberland, H.; Insepov, Z.; Moseler, M. Molecular-Dynamics Simulation of Thin-Film Growth by Energetic Cluster Impact. Phys. Rev. B 1995, 51, 11061–11067. [Google Scholar] [CrossRef] [PubMed]
- Malitson, I.H. Interspecimen Comparison of the Refractive Index of Fused Silica. J. Opt. Soc. Am. 1965, 55, 1205. [Google Scholar] [CrossRef]
- Chiodi, M.; Cheney, C.P.; Vilmercati, P.; Cavaliere, E.; Mannella, N.; Weitering, H.H.; Gavioli, L. Enhanced Dopant Solubility and Visible-Light Absorption in Cr–N Codoped TiO2 Nanoclusters. J. Phys. Chem. C 2012, 116, 311–318. [Google Scholar] [CrossRef]
- Cavaliere, E.; De Cesari, S.; Landini, G.; Riccobono, E.; Pallecchi, L.; Rossolini, G.M.; Gavioli, L. Highly Bactericidal Ag Nanoparticle Films Obtained by Cluster Beam Deposition. Nanomed. Nanotechnol. Biol. Med. 2015, 11, 1417–1423. [Google Scholar] [CrossRef]
- Peli, S.; Cavaliere, E.; Benetti, G.; Gandolfi, M.; Chiodi, M.; Cancellieri, C.; Giannetti, C.; Ferrini, G.; Gavioli, L.; Banfi, F. Mechanical Properties of Ag Nanoparticle Thin Films Synthesized by Supersonic Cluster Beam Deposition. J. Phys. Chem. C 2016, 120, 4673–4681. [Google Scholar] [CrossRef]
- Benetti, G.; Caddeo, C.; Melis, C.; Ferrini, G.; Giannetti, C.; Winckelmans, N.; Bals, S.; Van Bael, M.J.; Cavaliere, E.; Gavioli, L.; et al. Bottom-Up Mechanical Nanometrology of Granular Ag Nanoparticles Thin Films. J. Phys. Chem. C 2017, 121, 22434–22441. [Google Scholar] [CrossRef]
- Benetti, G.; Gandolfi, M.; Van Bael, M.J.; Gavioli, L.; Giannetti, C.; Caddeo, C.; Banfi, F. Photoacoustic Sensing of Trapped Fluids in Nanoporous Thin Films: Device Engineering and Sensing Scheme. ACS Appl. Mater. Interfaces 2018, 10, 27947–27954. [Google Scholar] [CrossRef] [Green Version]
- Doghmane, H.E.; Touam, T.; Chelouche, A.; Challali, F.; Bordji, B. Investigation of the Influences of Post-Thermal Annealing on Physical Properties of TiO2 Thin Films Deposited by RF Sputtering. Semiconductors 2020, 54, 268–273. [Google Scholar] [CrossRef]
- Hou, Y.-Q.; Zhuang, D.-M.; Zhang, G.; Zhao, M.; Wu, M.-S. Influence of Annealing Temperature on the Properties of Titanium Oxide Thin Film. Appl. Surf. Sci. 2003, 218, 98–106. [Google Scholar] [CrossRef]
- Mathews, N.R.; Morales, E.R.; Cortés-Jacome, M.A.; Toledo Antonio, J.A. TiO2 Thin Films—Influence of Annealing Temperature on Structural, Optical and Photocatalytic Properties. Sol. Energy 2009, 83, 1499–1508. [Google Scholar] [CrossRef]
- Lin, C.-P.; Chen, H.; Nakaruk, A.; Koshy, P.; Sorrell, C.C. Effect of Annealing Temperature on the Photocatalytic Activity of TiO2 Thin Films. Energy Procedia 2013, 34, 627–636. [Google Scholar] [CrossRef] [Green Version]
- Doherty, R.D.; Hughes, D.A.; Humphreys, F.J.; Jonas, J.J.; Jensen, D.J.; Kassner, M.E.; King, W.E.; McNelley, T.R.; McQueen, H.J.; Rollett, A.D. Current Issues in Recrystallization: A Review. Mater. Sci. Eng. A 1997, 238, 219–274. [Google Scholar] [CrossRef] [Green Version]
- Manohar, P.A.; Ferry, M.; Chandra, T. Five Decades of the Zener Equation. ISIJ Int. 1998, 38, 913–924. [Google Scholar] [CrossRef] [Green Version]
- Wörner, C.H.; Hazzledine, P.M. Grain Growth Stagnation by Inclusions or Pores. JOM 1992, 44, 16–20. [Google Scholar] [CrossRef]
- Hillert, M. Inhibition of Grain Growth by Second-Phase Particles. Acta Metall. 1988, 36, 3177–3181. [Google Scholar] [CrossRef]
- Wang, G.; Xu, D.S.; Payton, E.J.; Ma, N.; Yang, R.; Mills, M.J.; Wang, Y. Mean-Field Statistical Simulation of Grain Coarsening in the Presence of Stable and Unstable Pinning Particles. Acta Mater. 2011, 59, 4587–4594. [Google Scholar] [CrossRef]
- Hirakawa, T.; Kamat, P.V. Charge Separation and Catalytic Activity of Ag@TiO2 Core−Shell Composite Clusters under UV−Irradiation. J. Am. Chem. Soc. 2005, 127, 3928–3934. [Google Scholar] [CrossRef]
- Kelly, K.L.; Coronado, E.; Zhao, L.L.; Schatz, G.C. The Optical Properties of Metal Nanoparticles: The Influence of Size, Shape, and Dielectric Environment. J. Phys. Chem. B 2003, 107, 668–677. [Google Scholar] [CrossRef]
- Pietrobon, B.; McEachran, M.; Kitaev, V. Synthesis of Size-Controlled Faceted Pentagonal Silver Nanorods with Tunable Plasmonic Properties and Self-Assembly of These Nanorods. ACS Nano 2009, 3, 21–26. [Google Scholar] [CrossRef]
- Battiston, G.A.; Gerbasi, R.; Porchia, M.; Marigo, A. Influence of Substrate on Structural Properties of TiO2 Thin Films Obtained via MOCVD. Thin Solid Film. 1994, 239, 186–191. [Google Scholar] [CrossRef]
- Singh, P.; Kumar, A.; Kaur, D. Substrate Effect on Texture Properties of Nanocrystalline TiO2 Thin Films. Phys. B Condens. Matter 2008, 403, 3769–3773. [Google Scholar] [CrossRef]
- Schuler, L.P.; Valanoor, N.; Miller, P.; Guy, I.; Reeves, R.J.; Alkaisi, M.M. The Effect of Substrate Material and Postannealing on the Photoluminescence and Piezo Properties of DC-Sputtered ZnO. J. Elect. Mater. 2007, 36, 507–518. [Google Scholar] [CrossRef]
- Lin, X.; Zhang, C.; Yang, S.; Guo, W.; Zhang, Y.; Yang, Z.; Ding, G. The Impact of Thermal Annealing on the Temperature Dependent Resistance Behavior of Pt Thin Films Sputtered on Si and Al2O3 Substrates. Thin Solid Film. 2019, 685, 372–378. [Google Scholar] [CrossRef]
- McBrayer, J.D.; Swanson, R.M.; Sigmon, T.W.; Bravman, J. Observation of Rapid Field Aided Diffusion of Silver in Metal-oxide-semiconductor Structures. Appl. Phys. Lett. 1983, 43, 653–654. [Google Scholar] [CrossRef]
- Nason, T.C.; Yang, G.-R.; Park, K.-H.; Lu, T.-M. Study of Silver Diffusion into Si(111) and SiO2 at Moderate Temperatures. J. Appl. Phys. 1991, 70, 1392–1396. [Google Scholar] [CrossRef]
- Jiménez, J.A.; Sendova, M. Unfolding Diffusion-Based Ag Nanoparticle Growth in SiO2 Nanofilms Heat-Treated in Air via in Situ Optical Microspectroscopy. Opt. Mater. 2013, 35, 968–972. [Google Scholar] [CrossRef]
- Dobrovinskaya, E.R.; Lytvynov, L.A.; Pishchik, V. Properties of Sapphire. In Sapphire; Springer: Boston, MA, USA, 2009; pp. 55–176. ISBN 978-0-387-85694-0. [Google Scholar]
- Wray, K.L.; Connolly, T.J. Thermal Conductivity of Clear Fused Silica at High Temperatures. J. Appl. Phys. 1959, 30, 1702–1705. [Google Scholar] [CrossRef]
- Li, X.; Lin, S.; Liang, J.; Zhang, Y.; Oigawa, H.; Ueda, T. Fiber-Optic Temperature Sensor Based on Difference of Thermal Expansion Coefficient Between Fused Silica and Metallic Materials. IEEE Photonics J. 2012, 4, 155–162. [Google Scholar] [CrossRef]
- Sugapriya, S.; Sriram, R.; Lakshmi, S. Effect of Annealing on TiO2 Nanoparticles. Optik 2013, 124, 4971–4975. [Google Scholar] [CrossRef]
- Bontempi, N.; Cavaliere, E.; Cappello, V.; Pingue, P.; Gavioli, L. Ag@TiO2 Nanogranular Films by Gas Phase Synthesis as Hybrid SERS Platforms. Phys. Chem. Chem. Phys. 2019, 21, 25090–25097. [Google Scholar] [CrossRef] [PubMed]
- Waterhouse, G.I.N.; Bowmaker, G.A.; Metson, J.B. The Thermal Decomposition of Silver (I, III) Oxide: A Combined XRD, FT-IR and Raman Spectroscopic Study. Phys. Chem. Chem. Phys. 2001, 3, 3838–3845. [Google Scholar] [CrossRef]
- Wang, C.-B.; Deo, G.; Wachs, I.E. Interaction of Polycrystalline Silver with Oxygen, Water, Carbon Dioxide, Ethylene, and Methanol: In Situ Raman and Catalytic Studies. J. Phys. Chem. B 1999, 103, 5645–5656. [Google Scholar] [CrossRef]





Publisher’s Note: MDPI stays neutral with regard to jurisdictional claims in published maps and institutional affiliations. |
© 2021 by the authors. Licensee MDPI, Basel, Switzerland. This article is an open access article distributed under the terms and conditions of the Creative Commons Attribution (CC BY) license (https://creativecommons.org/licenses/by/4.0/).
Share and Cite
Balzano, V.; Cavaliere, E.; Fanetti, M.; Gardonio, S.; Gavioli, L. The Role of Substrate on Thermal Evolution of Ag/TiO2 Nanogranular Thin Films. Nanomaterials 2021, 11, 2253. https://doi.org/10.3390/nano11092253
Balzano V, Cavaliere E, Fanetti M, Gardonio S, Gavioli L. The Role of Substrate on Thermal Evolution of Ag/TiO2 Nanogranular Thin Films. Nanomaterials. 2021; 11(9):2253. https://doi.org/10.3390/nano11092253
Chicago/Turabian StyleBalzano, Vincenzo, Emanuele Cavaliere, Mattia Fanetti, Sandra Gardonio, and Luca Gavioli. 2021. "The Role of Substrate on Thermal Evolution of Ag/TiO2 Nanogranular Thin Films" Nanomaterials 11, no. 9: 2253. https://doi.org/10.3390/nano11092253
APA StyleBalzano, V., Cavaliere, E., Fanetti, M., Gardonio, S., & Gavioli, L. (2021). The Role of Substrate on Thermal Evolution of Ag/TiO2 Nanogranular Thin Films. Nanomaterials, 11(9), 2253. https://doi.org/10.3390/nano11092253

