Control of Structural and Magnetic Properties of Polycrystalline Co2FeGe Films via Deposition and Annealing Temperatures
Abstract
1. Introduction
2. Materials and Methods
3. Results and Discussion
3.1. Structural Properties
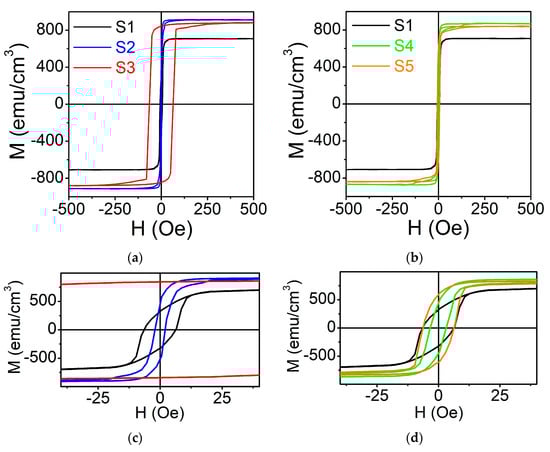
3.2. Magnetostatic Properties
3.3. Magnetodynamic Properties
4. Conclusions
Author Contributions
Funding
Data Availability Statement
Conflicts of Interest
References
- Felser, C.; Hirohata, A. (Eds.) Heusler Alloys Properties, Growth, Applications; Springer International Publishing: Basel, Switzerland, 2016; pp. 1–486. [Google Scholar]
- Balke, B.; Wurmehl, S.; Fecher, G.H.; Felser, C.; Kübler, J. Rational design of new materials for spintronics: Co2FeZ (Z = Al, Ga, Si, Ge). Sci. Technol. Adv. Mater. 2008, 9, 014102. [Google Scholar] [CrossRef]
- Locatelli, N.; Cros, V.; Grollier, J. Spin-torque building blocks. Nat. Mater. 2014, 13, 11–20. [Google Scholar] [CrossRef] [PubMed]
- Trudel, S.; Gaier, O.; Hamrle, J.; Hillebrands, B. Magnetic anisotropy, exchange and damping in cobalt-based full-Heusler compounds: An experimental review. J. Phys. D Appl. Phys. 2010, 43, 193001. [Google Scholar] [CrossRef]
- Lee, H.; Wang, Y.-H.A.; Mewes, C.K.A.; Butler, W.H.; Mewes, T.; Maat, S.; York, B.; Carey, M.J.; Childress, J.R. Magnetization relaxation and structure of CoFeGe alloys. Appl. Phys. Lett. 2009, 95, 082502. [Google Scholar] [CrossRef]
- Uvarov, N.V.; Kudryavtsev, Y.V.; Kravets, A.F.; Vovk, A.Y.; Borges, R.P.; Godinho, M.; Korenivski, V. Electronic structure, optical and magnetic properties of Co2FeGe Heusler alloy films. J. Appl. Phys. 2012, 112, 063909. [Google Scholar] [CrossRef]
- Gercsi, Z.; Hono, K. Ab initio predictions for the effect of disorder and quarternary alloying on the half-metallic properties of selected Co2Fe-based Heusler alloys. J. Phys. Condens. Matter 2007, 19, 326216. [Google Scholar] [CrossRef]
- Wurmehl, S.; Fecher, G.H.; Kandpal, H.C.; Ksenofontov, V.; Felser, C.; Lin, H.-J.; Morais, J. Geometric, electronic, and magnetic structure of Co2FeSi: Curie temperature and magnetic moment measurements and calculations. Phys. Rev. B 2005, 72, 184434. [Google Scholar] [CrossRef]
- Kruglyak, V.V.; Demokritov, S.O.; Grundler, D. Magnonics. J. Phys. D Appl. Phys. 2010, 43, 264001. [Google Scholar] [CrossRef]
- Gilbert, T.L. A phenomenological theory of damping in ferromagnetic materials. IEEE Trans. Magn. 2004, 40, 3443–3449. [Google Scholar] [CrossRef]
- Mizukami, S.; Watanabe, D.; Oogane, M.; Ando, Y.; Miura, Y.; Shirai, M.; Miyazaki, T. Low damping constant for Co2FeAl Heusler alloy films and its correlation with density of states. J. Appl. Phys. 2009, 105, 07D306. [Google Scholar] [CrossRef]
- Yilgin, R.; Sakuraba, Y.; Oogane, M.; Mizukami, S.; Ando, Y.; Miyazaki, T. Anisotropic intrinsic damping constant of epitaxial Co2MnSi Heusler alloy films. Jpn. J. Appl. Phys. 2007, 46, L205–L208. [Google Scholar] [CrossRef]
- Guillemard, C.; Petit-Watelot, S.; Pasquier, L.; Pierre, D.; Ghanbaja, J.; Rojas-Sánchez, J.-C.; Bataille, A.; Rault, J.; Le Fèvre, P.; Bertran, F.; et al. Ultralow magnetic damping in Co2Mn-based Heusler compounds: Promising materials for spintronics. Phys. Rev. Appl. 2019, 11, 064009. [Google Scholar] [CrossRef]
- Kambersky, V. On the Landau–Lifshitz relaxation in ferromagnetic metals. Can. J. Phys. 1970, 48, 2906–2911. [Google Scholar] [CrossRef]
- Galanakis, I. Orbital magnetism in the half-metallic Heusler alloys. Phys. Rev. B 2005, 71, 012413. [Google Scholar] [CrossRef]
- Slonczewski, J.C. Excitation of spin waves by an electric current. J. Magn. Magn. Mater. 1999, 195, L261–L268. [Google Scholar] [CrossRef]
- Hazra, B.K.; Kaul, S.N.; Srinath, S.; Raja, M.M. Uniaxial anisotropy, intrinsic and extrinsic damping in Co2FeSi Heusler alloy thin films. J. Phys. D Appl. Phys. 2019, 52, 325002. [Google Scholar] [CrossRef]
- Koehler, A.; Wollmann, L.; Ebke, D.; Chadov, S.; Kaiser, C.; Diao, Z.; Zheng, Y.; Leng, Q.; Felser, C. Tunable damping in the Heusler compound Co2−xIrxMnSi. Phys. Rev. B 2016, 93, 094410. [Google Scholar] [CrossRef]
- Conca, A.; Niesen, A.; Reiss, G.; Hillebrands, B. Low damping magnetic properties and perpendicular magnetic anisotropy in the Heusler alloy Fe1.5CoGe. AIP Adv. 2019, 9, 085205. [Google Scholar] [CrossRef]
- Ryabchenko, S.M.; Kalita, V.M.; Kulik, M.M.; Lozenko, A.F.; Nevdacha, V.V.; Pogorily, A.N.; Kravets, A.F.; Podyalovskiy, D.Y.; Vovk, A.Y.; Borges, R.P.; et al. Rotatable magnetic anisotropy in Si/SiO2/(Co2Fe)xGe1−x Heusler alloy films. J. Phys. Condens. Matter 2013, 25, 416003. [Google Scholar] [CrossRef] [PubMed]
- Pogorily, A.N.; Kravets, A.F.; Nevdacha, V.V.; Podyalovskiy, D.Y.; Ryabchenko, S.M.; Kalita, V.M.; Kulik, M.M.; Lozenko, A.F.; Vovk, A.Y.; Godinho, M.; et al. Magnetic anisotropy of epitaxial Co2Fe-Ge Heusler alloy films on MgO (100) substrates. AIP Adv. 2017, 7, 055831. [Google Scholar] [CrossRef]
- Neggache, A.; Hauet, T.; Bertran, F.; Le Fevre, P.; Petit-Watelot, S.; Devolder, T.; Ohresser, P.; Boulet, P.; Mewes, C.; Maat, S.; et al. Testing epitaxial Co1.5Fe1.5Ge(001) electrodes in MgO-based magnetic tunnel junctions. Appl. Phys. Lett. 2014, 104, 252412. [Google Scholar] [CrossRef]
- Nakatani, N.; Imai, S.; Tanaka, M.A.; Kubota, T.; Takanashi, K.; Mibu, K. Deposition temperature dependence of interface magnetism of Co2FeGe-Heusler-alloy/Ag films studied with 57Fe Mössbauer spectroscopy. J. Magn. Magn. Mater. 2018, 464, 71–75. [Google Scholar] [CrossRef]
- Kakazei, G.N.; Kravetz, A.F.; Lesnik, N.A.; Pereira de Azevedo, M.M.; Bondarkova, Y.G.; Silantiev, V.I.; Sousa, J.B. Influence of co-evaporation technique on the structural and magnetic properties of CoCu granular films. J. Magn. Magn. Mater. 1999, 196–197, 29–30. [Google Scholar] [CrossRef]
- García-García, A.; Pardo, J.A.; Navarro, E.; Štrichovanec, P.; Vovk, A.; Morellón, L.; Algarabel, P.A.; Ibarra, M.R. Combinatorial pulsed laser deposition of Fe/MgO granular multilayers. Appl. Phys. A 2012, 107, 871–876. [Google Scholar] [CrossRef]
- Garcia, M.A.; Fernandez Pinel, E.; de la Venta, J.; Quesada, A.; Bouzas, V.; Fernández, J.F.; Romero, J.J.; Martín González, M.S.; Costa-Krämer, J.L. Sources of experimental errors in the observation of nanoscale magnetism. J. Appl. Phys. 2009, 105, 013925. [Google Scholar] [CrossRef]
- Pereira, L.M.C.; Araujo, J.P.; VanBael, M.J.; Temst, K.; Vantomme, A. Practical limits for detection of ferromagnetism using highly sensitive magnetometry techniques. J. Phys D Appl. Phys. 2011, 44, 215001. [Google Scholar] [CrossRef]
- Kalarickal, S.S.; Krivosik, P.; Wu, M.; Patton, C.E.; Schneider, M.L.; Kabos, P.; Silva, T.J.; Nibarger, J.P. Ferromagnetic resonance linewidth in metallic thin films: Comparison of measurement methods. J. Appl. Phys. 2006, 99, 093909. [Google Scholar] [CrossRef]
- Tokaç, M.; Bunyaev, S.A.; Kakazei, G.N.; Schmool, D.S.; Atkinson, D.; Hindmarch, A.T. Interfacial structure dependent spin mixing conductance in cobalt thin films. Phys. Rev. Lett. 2015, 115, 056601. [Google Scholar] [CrossRef]
- Sakuraba, Y.; Nakata, J.; Oogane, M.; Ando, Y.; Kato, H.; Sakuma, A.; Miyazaki, T.; Kubota, H. Magnetic tunnel junctions using B2-ordered Co2MnAl Heusler alloy epitaxial electrode. Appl. Phys. Lett. 2006, 88, 022503. [Google Scholar] [CrossRef]
- Heusler, O. Kristallstruktur und ferromagnetismus der Mangan-Aluminium-Kupferlegierungen. Ann. Phys. 1934, 411, 155–201. [Google Scholar] [CrossRef]
- Balke, B.; Wurmehl, S.; Fecher, G.H.; Felser, C.; Alves, M.C.M.; Bernardi, F.; Morais, J. Structural characterization of the Co2FeZ (Z=Al, Si, Ga, and Ge) Heusler compounds by x-ray diffraction and extended x-ray absorption fine structure spectroscopy. Appl. Phys. Lett. 2007, 90, 172501. [Google Scholar] [CrossRef]
- Inorganic Crystal Structure Database, 01-082-8750. Available online: https://icsd.products.fiz-karlsruhe.de/en (accessed on 1 September 2015).
- Wurmehl, S.; Wójcik, M. Structural Order in Heusler Compounds. In Heusler Alloys Properties, Growth, Applications; Felser, C., Hirohata, A., Eds.; Springer International Publishing: Basel, Switzerland, 2016; pp. 87–110. [Google Scholar]
- Graf, T.; Casper, F.; Winterlik, J.; Balke, B.; Fecher, G.H.; Felser, C. Crystal structure of new Heusler compounds. Z. Anorg. Allg. Chem. 2009, 635, 976–981. [Google Scholar] [CrossRef]
- Patterson, A.L. The Scherrer formula for X-Ray particle size determination. Phys. Rev. 1939, 56, 978–982. [Google Scholar] [CrossRef]
- Buschow, K.H.J.; van Engen, P.G.; Jongebreur, R. Magneto-optical properties of metallic ferromagnetic materials. J. Magn. Magn. Matter. 1983, 38, 1–22. [Google Scholar] [CrossRef]
- Kandpal, H.C.; Fecher, G.H.; Felser, C. Calculated electronic and magnetic properties of the half-metallic, transition metal based Heusler compounds. J. Phys. D Appl. Phys. 2007, 40, 1507–1523. [Google Scholar] [CrossRef]
- Maat, S.; Carey, M.J.; Childress, J.R. Current perpendicular to the plane spin-valves with CoFeGe magnetic layers. Appl. Phys. Lett. 2008, 93, 143505. [Google Scholar] [CrossRef]
- Kumar, K.R.; Bharathi, K.K.; Chelvane, J.A.; Venkatesh, S.; Markandeyulu, G.; Harishkumar, N. First-Principles Calculation and Experimental Investigations on Full-Heusler Alloy Co2FeGe. IEEE Trans. Magn. 2009, 45, 3997–3999. [Google Scholar] [CrossRef]
- Takamura, Y.; Nishijima, A.; Nagahama, Y.; Nakane, R.; Sugahara, S. Formation of Si- and Ge-based Full-Heusler Alloy thin tilms using SOI and GOI substrates for the Half-metallic source and drain of spin transistors. ECS Trans. 2008, 16, 945–952. [Google Scholar] [CrossRef]
- Sterwerf, C.; Paul, S.; Khodadadi, B.; Meinert, M.; Schmalhorst, J.-M.; Buchmeier, M.; Mewes, C.K.A.; Mewes, T.; Reiss, G. Low Gilbert damping in Co2FeSi and Fe2CoSi films. J. Appl. Phys. 2016, 120, 083904. [Google Scholar] [CrossRef]
- Kittel, C. On the theory of ferromagnetic resonance absorption. Phys. Rev. 1948, 73, 155–161. [Google Scholar] [CrossRef]
- Kakazei, G.N.; Wigen, P.E.; Guslienko, K.Y.; Chantrell, R.W.; Lesnik, N.A.; Metlushko, V.; Shima, H.; Fukamichi, K.; Otani, Y.; Novosad, V. In-plane and out-of-plane uniaxial anisotropies in rectangular arrays of circular dots studied by ferromagnetic resonance. J. Appl. Phys. 2003, 93, 8418–8420. [Google Scholar] [CrossRef]
- Demokritov, S.O.; Hillebrands, B. Spinwaves in Laterally Confined Magnetic Structures. In Spin Dynamics in Confined Magnetic Structures I; Hillebrands, B., Ounatjela, K., Eds.; Springer International Publishing: Basel, Switzerland, 2002; pp. 65–93. [Google Scholar]
- Kittel, C. Introduction to Solid State Physics, 7th ed.; John Wiley & Sons: New York, NY, USA, 1996; pp. 1–675. [Google Scholar]
- Dobrovolskiy, O.V.; Bunyaev, S.A.; Vovk, N.R.; Navas, D.; Gruszecki, P.; Krawczyk, M.; Sachser, R.; Huth, M.; Chumak, A.V.; Guslienko, K.Y.; et al. Spin-wave spectroscopy of individual ferromagnetic nanodisks. Nanoscale 2020, 12, 21207. [Google Scholar] [CrossRef]
- McMichael, R.D.; Krivosik, P. Classical model of extrinsic ferromagnetic resonance linewidth in ultrathin films. IEEE Trans. Magn. 2004, 40, 2–10. [Google Scholar] [CrossRef]
- Arias, R.; Mills, D.L. Extrinsic contributions to the ferromagnetic resonance response of ultrathin films. Phys. Rev. B 1999, 60, 7395–7409. [Google Scholar] [CrossRef]
- Yilgin, R.; Oogane, M.; Ando, Y.; Miyazaki, T. Gilbert damping constant in polycrystalline Co2MnSi Heusler alloy films. J. Magn. Magn. Mater. 2007, 310, 2322–2323. [Google Scholar] [CrossRef]
- Varaprasad, B.S.D.C.S.; Srinivasan, A.; Takahashi, Y.K.; Hayashi, M.; Rajanikanth, A.; Hono, K. Spin polarization and Gilbert damping of Co2Fe(GaxGe1-x) Heusler alloys. Acta Mater. 2012, 60, 6257–6265. [Google Scholar] [CrossRef]
- Conca, A.; Papaioannou, E.T.; Klingler, S.; Greser, J.; Sebastian, T.; Leven, B.; Lösch, J.; Hillebrands, B. Annealing influence on the Gilbert damping parameter and the exchange constant of CoFeB thin films. Appl. Phys. Lett. 2014, 104, 182407. [Google Scholar] [CrossRef]
- Oogane, M.; Yilgin, R.; Shinano, M.; Yakata, S.; Sakuraba, Y.; Ando, Y.; Miyazaki, T. Magnetic damping constant of Co2FeSi Heusler alloy thin film. J. Appl. Phys. 2007, 101, 09J501. [Google Scholar] [CrossRef]
- Kasatani, Y.; Yamada, S.; Itoh, H.; Miyao, M.; Hamaya, K.; Nozaki, Y. Large anisotropy of Gilbert damping constant in L21-ordered Co2FeSi film. Appl. Phys. Express 2014, 7, 123001. [Google Scholar] [CrossRef]
- Abo, G.S.; Hong, Y.-K.; Park, J.; Lee, J.; Lee, W.; Choi, B.-C. Definition of magnetic exchange length. IEEE Trans. Magn. 2013, 49, 4937–4939. [Google Scholar] [CrossRef]
- McHenry, M.E.; Laughlin, D.E. Nano-scale materials development for future magnetic applications. Acta Mater. 2000, 48, 223–238. [Google Scholar] [CrossRef]






| TS, K | Ta, K | From XRR | From GIXRD | |||
|---|---|---|---|---|---|---|
| t, nm | Δt, nm | ρ, gr/cm3 | a, Å | d, nm | ||
| RT | --- | 57 | 0.63 | 8.3 | 5.732 | 10 |
| 573 | --- | 61 | 0.47 | 8.64 | 5.734 | 14 |
| 773 | --- | 61 | 2.1 | 8.66 | 5.715 | 15 |
| RT | 573 | 59 | 0.63 | 8.31 | 5.732 | 11 |
| RT | 773 | 57 | 0.63 | 8.69 | 5.713 | 13 |
| TS, K | Ta, K | From SQUID | From FMR | |||
|---|---|---|---|---|---|---|
| MS, Emu/cm3 | HC, Oe | Meff, Emu/cm3 | A, pJ/m | α | ||
| RT | --- | 710 ± 35 | 6 ± 1 | 738 ± 10 | 6.8 ± 0.2 | 0.007 ± 1.5 × 10−4 |
| 573 | --- | 920 ± 50 | 2 ± 0.5 | 895 ± 10 | 9.2 ± 0.3 | 0.004 ± 1.1 × 10−4 |
| 773 | --- | 880 ± 45 | 65 ± 1 | 930 ± 180 | 9.3 ± 1.2 | 0.06 ± 6 × 10−3 |
| RT | 573 | 870 ± 45 | 3 ± 0.5 | 906 ± 10 | 9.8 ± 0.3 | 0.005 ± 1.7 × 10−4 |
| RT | 773 | 840 ± 45 | 6 ± 1 | 882 ± 40 | 9.4 ± 0.3 | 0.009 ± 6 × 10−4 |
Publisher’s Note: MDPI stays neutral with regard to jurisdictional claims in published maps and institutional affiliations. |
© 2021 by the authors. Licensee MDPI, Basel, Switzerland. This article is an open access article distributed under the terms and conditions of the Creative Commons Attribution (CC BY) license (https://creativecommons.org/licenses/by/4.0/).
Share and Cite
Vovk, A.; Bunyaev, S.A.; Štrichovanec, P.; Vovk, N.R.; Postolnyi, B.; Apolinario, A.; Pardo, J.Á.; Algarabel, P.A.; Kakazei, G.N.; Araujo, J.P. Control of Structural and Magnetic Properties of Polycrystalline Co2FeGe Films via Deposition and Annealing Temperatures. Nanomaterials 2021, 11, 1229. https://doi.org/10.3390/nano11051229
Vovk A, Bunyaev SA, Štrichovanec P, Vovk NR, Postolnyi B, Apolinario A, Pardo JÁ, Algarabel PA, Kakazei GN, Araujo JP. Control of Structural and Magnetic Properties of Polycrystalline Co2FeGe Films via Deposition and Annealing Temperatures. Nanomaterials. 2021; 11(5):1229. https://doi.org/10.3390/nano11051229
Chicago/Turabian StyleVovk, Andrii, Sergey A. Bunyaev, Pavel Štrichovanec, Nikolay R. Vovk, Bogdan Postolnyi, Arlete Apolinario, José Ángel Pardo, Pedro Antonio Algarabel, Gleb N. Kakazei, and João Pedro Araujo. 2021. "Control of Structural and Magnetic Properties of Polycrystalline Co2FeGe Films via Deposition and Annealing Temperatures" Nanomaterials 11, no. 5: 1229. https://doi.org/10.3390/nano11051229
APA StyleVovk, A., Bunyaev, S. A., Štrichovanec, P., Vovk, N. R., Postolnyi, B., Apolinario, A., Pardo, J. Á., Algarabel, P. A., Kakazei, G. N., & Araujo, J. P. (2021). Control of Structural and Magnetic Properties of Polycrystalline Co2FeGe Films via Deposition and Annealing Temperatures. Nanomaterials, 11(5), 1229. https://doi.org/10.3390/nano11051229

