Spectral, Morphological and Dynamical Analysis of a Holographic Grating Recorded in a Photo-Mobile Composite Polymer Mixture
Abstract
:1. Introduction
2. Materials and Methods
2.1. Materials
2.2. Holographic Mixture Preparation
2.3. Holographic Set-Up
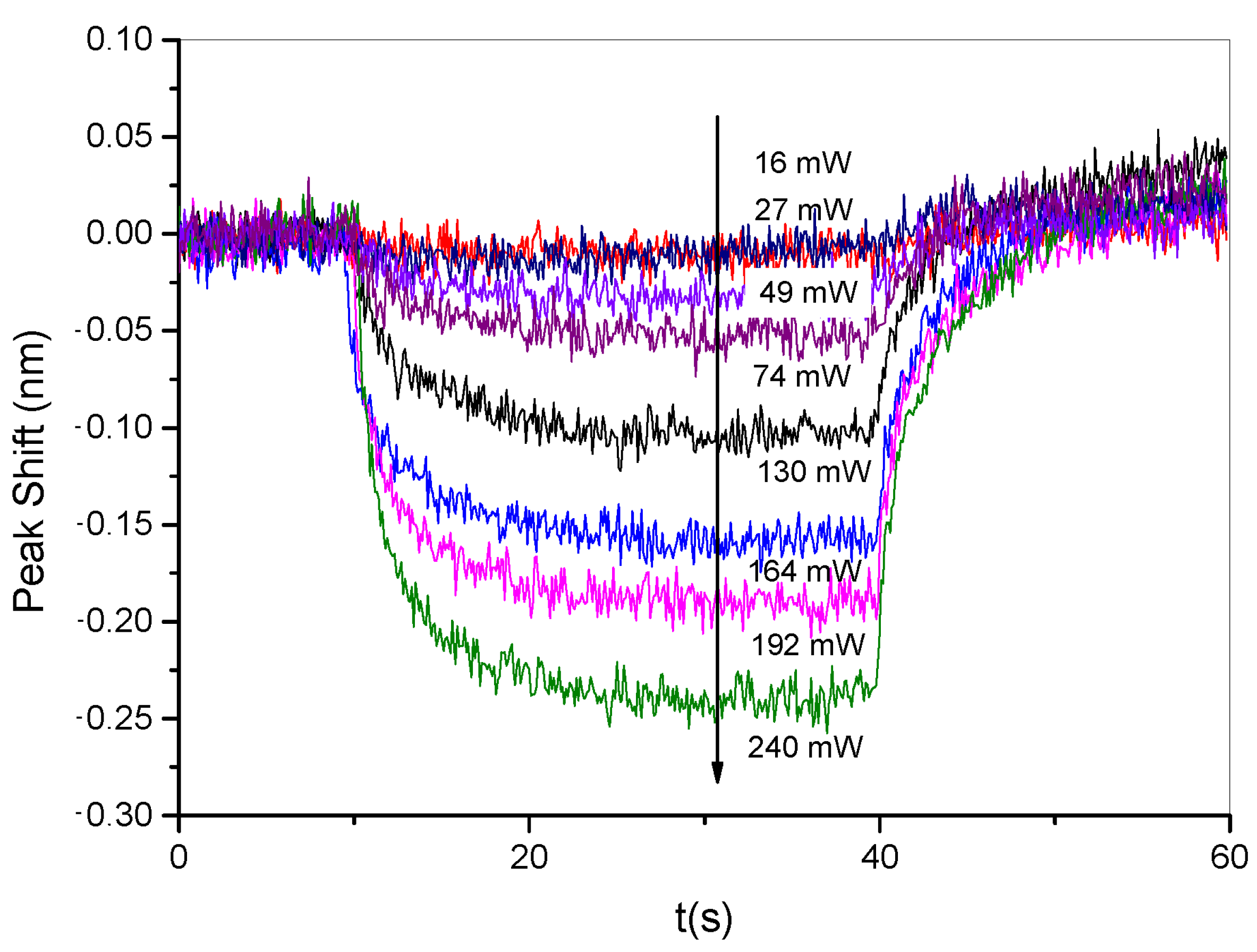
3. Results and Discussions
4. Conclusions
Supplementary Materials
Author Contributions
Funding
Institutional Review Board Statement
Informed Consent Statement
Data Availability Statement
Acknowledgments
Conflicts of Interest
References
- White, T.J.; Tabiryan, N.V.; Serak, S.V.; Hrozhyk, U.A.; Tondiglia, V.P.; Koerner, H.; Vaia, R.A.; Bunning, T.J. A high frequency photodriven polymer oscillator. Soft Matter 2008, 4, 1796–1798. [Google Scholar] [CrossRef]
- Francescangeli, O.; Lucchetta, D.E.; Slussarenko, S.S.; Reznikov, Y.A.; Simoni, F. Light-controlled anchoring energy in nematic liquid crystals. Mol. Cryst. Liq. Cryst. Sci. Technol. Sect. A Mol. Cryst. Liq. Cryst. 2001, 360, 193–201. [Google Scholar] [CrossRef]
- Chang, W.T.; Cheng, C.L.; Li, Y.J.; Wang, T.H.; Kuo, M.Y.; Hsiao, V.K. All-optical switching in holographic polymer dispersed azobenzene liquid-crystal gratings. In Proceedings of the Practical Holography XXIII: Materials and Applications, International Society for Optics and Photonics, San Jose, CA, USA, 24–29 January 2009; Volume 7233, p. 72330X. [Google Scholar]
- De Sio, L.; Veltri, A.; Umeton, C.; Serak, S.; Tabiryan, N. All-optical switching of holographic gratings made of polymer-liquid-crystal-polymer slices containing azo-compounds. Appl. Phys. Lett. 2008, 93, 181115. [Google Scholar] [CrossRef]
- Su, Y.C.; Chu, C.C.; Chang, W.T.; Hsiao, V. Characterization of optically switchable holographic polymer-dispersed liquid crystal transmission gratings. Opt. Mater. 2011, 34, 251–255. [Google Scholar] [CrossRef]
- De Sio, L.; Umeton, C.; Serak, S.; Tabiryan, N. Full Optical Control of Holographic Gratings Realized in Composite Materials Containing Photosensitive Liquid Crystals. Mol. Cryst. Liq. Cryst. 2010, 526, 101–107. [Google Scholar] [CrossRef]
- De Sio, L.; Cuennet, J.G.; Vasdekis, A.E.; Psaltis, D. All-optical switching in an optofluidic polydimethylsiloxane: Liquid crystal grating defined by cast-molding. Appl. Phys. Lett. 2010, 96, 131112. [Google Scholar] [CrossRef] [Green Version]
- Tong, X.; Wang, G.; Yavrian, A.; Galstian, T.; Zhao, Y. Dual-Mode Switching of Diffraction Gratings Based on Azobenzene-Polymer-Stabilized Liquid Crystals. Adv. Mater. 2005, 17, 370–374. [Google Scholar] [CrossRef]
- Bang, C.U.; Shishido, A.; Ikeda, T. Azobenzene Liquid-Crystalline Polymer for Optical Switching of Grating Waveguide Couplers with a Flat Surface. Macromol. Rapid Commun. 2007, 28, 1040–1044. [Google Scholar] [CrossRef]
- De Sio, L.; Serak, S.; Tabiryan, N.; Ferjani, S.; Veltri, A.; Umeton, C. Composite Holographic Gratings Containing Light-Responsive Liquid Crystals for Visible Bichromatic Switching. Adv. Mater. 2010, 22, 2316–2319. [Google Scholar] [CrossRef] [PubMed]
- Lucchetta, D.; Vita, F.; Simoni, F. All-optical switching of diffraction gratings infiltrated with dye-doped liquid crystals. Appl. Phys. Lett. 2010, 97, 231112. [Google Scholar] [CrossRef]
- Castagna, R.; Lucchetta, D.E.; Rippa, M.; Xu, J.H.; Di Donato, A. Near-frequency photons Y-splitter. Appl. Mater. Today 2020, 19, 100636. [Google Scholar] [CrossRef]
- Koskela, J.E.; Vapaavuori, J.; Ras, R.H.; Priimagi, A. Light-driven surface patterning of supramolecular polymers with extremely low concentration of photoactive molecules. ACS Macro Lett. 2014, 3, 1196–1200. [Google Scholar] [CrossRef]
- Gabor, D. A new microscopic principle. Nature 1948, 161, 777–778. [Google Scholar] [CrossRef] [PubMed]
- Lucchetta, D.; Di Donato, A.; Singh, G.; Tombesi, A.; Castagna, R. Optically tunable diffraction efficiency by photo-mobile holographic composite polymer material. Opt. Mater. 2021, 121, 111612. [Google Scholar] [CrossRef]
- Castagna, R.; Nucara, L.; Simoni, F.; Greci, L.; Rippa, M.; Petti, L.; Lucchetta, D.E. An Unconventional Approach to Photomobile Composite Polymer Films. Adv. Mater. 2017, 29, 1604800. [Google Scholar] [CrossRef] [PubMed]
- Castagna, R.; Vita, F.; Lucchetta, D.E.; Criante, L.; Simoni, F. Superior-Performance Polymeric Composite Materials for High-Density Optical Data Storage. Adv. Mater. 2009, 21, 589–592. [Google Scholar] [CrossRef] [PubMed]
- Lucchetta, D.; Criante, L.; Simoni, F. Optical characterization of polymer dispersed liquid crystals for holographic recording. J. Appl. Phys. 2003, 93, 9669–9674. [Google Scholar] [CrossRef]
- Lucchetta, D.; Criante, L.; Simoni, F. Determination of small anisotropy of holographic phase gratings. Opt. Lett. 2003, 28, 725–727. [Google Scholar] [CrossRef] [PubMed]
- Kogelnik, H. Coupled wave theory for thick hologram gratings. In Landmark Papers on Photorefractive Nonlinear Optics; World Scientific: Singapore, 1995; pp. 133–171. [Google Scholar]




Publisher’s Note: MDPI stays neutral with regard to jurisdictional claims in published maps and institutional affiliations. |
© 2021 by the authors. Licensee MDPI, Basel, Switzerland. This article is an open access article distributed under the terms and conditions of the Creative Commons Attribution (CC BY) license (https://creativecommons.org/licenses/by/4.0/).
Share and Cite
Lucchetta, D.E.; Castagna, R.; Singh, G.; Riminesi, C.; Di Donato, A. Spectral, Morphological and Dynamical Analysis of a Holographic Grating Recorded in a Photo-Mobile Composite Polymer Mixture. Nanomaterials 2021, 11, 2925. https://doi.org/10.3390/nano11112925
Lucchetta DE, Castagna R, Singh G, Riminesi C, Di Donato A. Spectral, Morphological and Dynamical Analysis of a Holographic Grating Recorded in a Photo-Mobile Composite Polymer Mixture. Nanomaterials. 2021; 11(11):2925. https://doi.org/10.3390/nano11112925
Chicago/Turabian StyleLucchetta, Daniele Eugenio, Riccardo Castagna, Gautam Singh, Cristiano Riminesi, and Andrea Di Donato. 2021. "Spectral, Morphological and Dynamical Analysis of a Holographic Grating Recorded in a Photo-Mobile Composite Polymer Mixture" Nanomaterials 11, no. 11: 2925. https://doi.org/10.3390/nano11112925
APA StyleLucchetta, D. E., Castagna, R., Singh, G., Riminesi, C., & Di Donato, A. (2021). Spectral, Morphological and Dynamical Analysis of a Holographic Grating Recorded in a Photo-Mobile Composite Polymer Mixture. Nanomaterials, 11(11), 2925. https://doi.org/10.3390/nano11112925

