Effect of Liquid Crystalline Host on Structural Changes in Magnetosomes Based Ferronematics
Abstract
:1. Introduction
2. Experimental Details
2.1. Magnetosomes
2.2. LC Sample Preparation for Experiments
2.3. Capacitance Measurements
2.4. SAW Measurements
2.5. Light Transmission Measurements
3. Results and Discussion
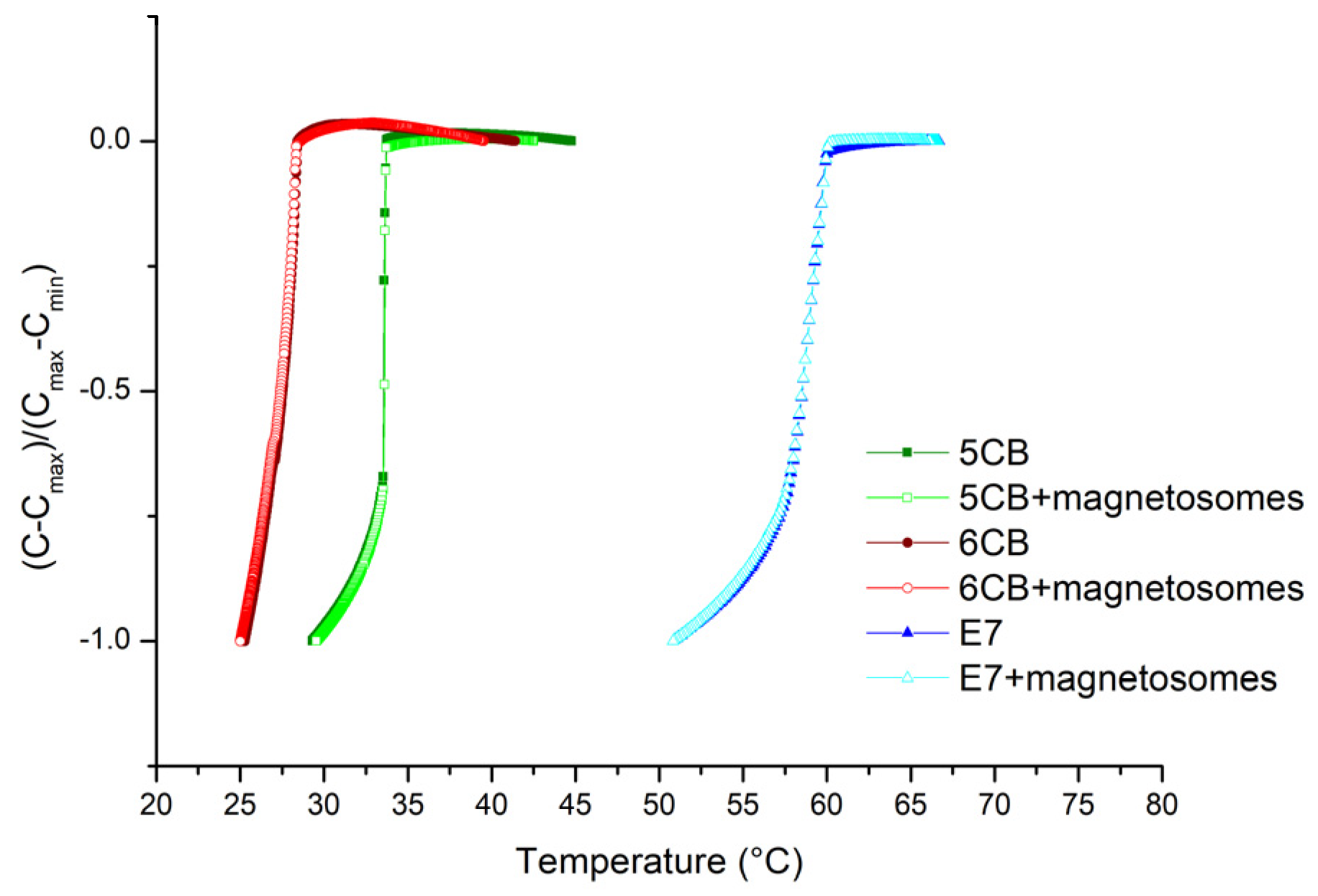
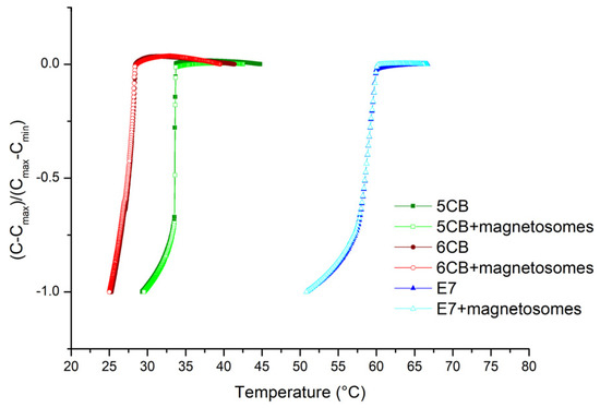
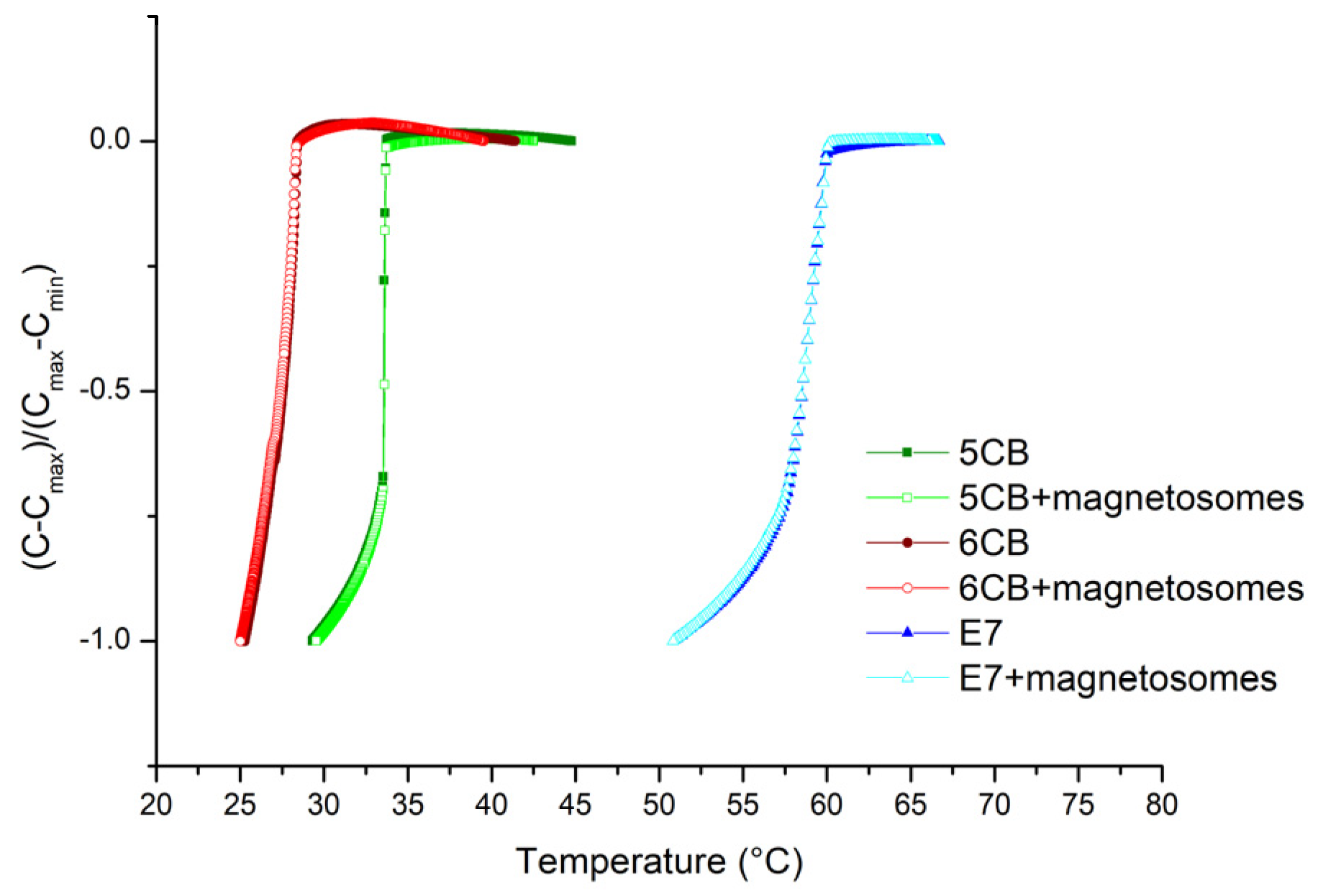
3.1. Capacitance Measurements
3.2. SAW Measurements
3.3. Light Transmission Measurements
4. Conclusions
Author Contributions
Funding
Data Availability Statement
Conflicts of Interest
References
- Kumar, A.; Chen, F.; Mozhi, Y.; Zhang, X.; Xue, X. Inovative pharmaceutical development based on unique properties of nanoscale delivery formulation. Nanoscale 2013, 5, 8307–8325. [Google Scholar] [CrossRef] [Green Version]
- Jeevanandam, J.; Barhoum, A.; Chan, Y.S.; Dufresne, A.; Danquah, M.K. Review on nanoparticles and nanostructured materials: History, sources, toxicity and regulations. Beilstein J. Nanotechnol. 2018, 9, 1050–1074. [Google Scholar] [CrossRef] [Green Version]
- Mukherjee, P.K. Effect of ferroelectric nanoparticles on the dielectric permittivity in the isotropic phase of the isotropic-smectic-A phase transition. J. Mol. Liq. 2017, 225, 462–466. [Google Scholar] [CrossRef]
- Rzoska, S.; Starzonek, S.; Drozd-Rzoska, A.; Czupryński, K.; Chmiel, K.; Gaura, G.; Michulec, A.; Szczypek, B.; Walas, W. Impact of BaTiO3 nanoparticles on pretransitional effects in liquid crystalline dodecylcyanobiphenyl. Phys. Rev. E 2016, 93, 020701. [Google Scholar] [CrossRef] [Green Version]
- Hegmann, T.; Qi, H.; Marx, V.M. Nanoparticles in Liquid Crystals: Synthesis, Self-Assembly, Defect Formation and Potential Applications. J. Inorg. Organomet. Polym. Mater. 2007, 17, 483–508. [Google Scholar] [CrossRef]
- Brochard, F.; De Gennes, P.G. Theory of magnetic suspensions in liquid crystals. J. Phys. 1970, 31, 691–708. [Google Scholar] [CrossRef] [Green Version]
- Liebert, L.; Martinet, A. Coupling between nematic lyomesophases and ferrofluids. J. Phys. Lett. 1979, 40, 363–368. [Google Scholar] [CrossRef]
- Burylov, S.; Raikher, Y. Macroscopic Properties of Ferronematics Caused by Orientational Interactions on the Particle Surfaces. I. Extended Continuum Model. Mol. Cryst. Liq. Cryst. Sci. Technol. Sect. A Mol. Cryst. Liq. Cryst. 1995, 258, 107–122. [Google Scholar] [CrossRef]
- Zakhlevnykh, A.; Lubnin, M.; Petrov, D. A simple model of liquid-crystalline magnetic suspension of anisometric particles. J. Magn. Magn. Mater. 2016, 431, 62–65. [Google Scholar] [CrossRef]
- Podoliak, N.; Buchnev, O.; Buluy, O.; D’Alessandro, G.; Kaczmarek, M.; Reznikov, Y.; Sluckin, T.J. Macroscopic optical effects in low concentration ferronematics. Soft Matter 2011, 7, 4742–4749. [Google Scholar] [CrossRef]
- Tomašovičová, N.; Timko, M.; Mitroova, Z.; Koneracka, M.; Rajňak, M.; Éber, N.; Tóth-Katona, T.; Chaud, X.; Jadżyn, J.; Kopcansky, P. Capacitance changes in ferronematic liquid crystals induced by low magnetic fields. Phys. Rev. E 2013, 87, 014501. [Google Scholar] [CrossRef] [Green Version]
- Mertelj, A.; Lisjak, D. Ferromagnetic nematic liquid crystals. Liq. Cryst. Rev. 2017, 5, 1–33. [Google Scholar] [CrossRef]
- Zadorozhnii, V.; Vasilev, A.; Reshetnyak, V.Y.; Thomas, K.S.; Sluckin, T.J. Nematic director response in ferronematic cells. EPL Europhys. Lett. 2006, 73, 408–414. [Google Scholar] [CrossRef]
- Zakhlevnykh, A.; Petrov, D. Orientational bistability and magneto-optical response in compensated ferronematic liquid crystals. J. Magn. Magn. Mater. 2016, 401, 188–195. [Google Scholar] [CrossRef]
- Faivre, D.; Schüler, D. Magnetotactic Bacteria and Magnetosomes. Chem. Rev. 2008, 108, 4875–4898. [Google Scholar] [CrossRef]
- Bazylinski, D.A.; Schübbe, S. Controlled Biomineralization by and Applications of Magnetotactic Bacteria. Adv. Appl. Microbiol. 2007, 62, 21–62. [Google Scholar] [CrossRef]
- Alphandéry, E.; Faure, S.; Seksek, O.; Guyot, F.; Chebbi, I. Chains of Magnetosomes Extracted from AMB-1 Magnetotactic Bacteria for Application in Alternative Magnetic Field Cancer Therapy. ACS Nano 2011, 5, 6279–6296. [Google Scholar] [CrossRef]
- Alphandéry, E.; Guyot, F.; Chebbi, I. Preparation of chains of magnetosomes, isolated from Magnetospirillum magneticum strain AMB-1 magnetotactic bacteria, yielding efficient treatment of tumors using magnetic hyperthermia. Int. J. Pharm. 2012, 434, 444–452. [Google Scholar] [CrossRef] [Green Version]
- Bazylinski, D.A.; Frankel, R.B. Magnetosome formation in prokaryotes. Nat. Rev. Genet. 2004, 2, 217–230. [Google Scholar] [CrossRef] [Green Version]
- Frankel, R.B.; Williams, T.J.; Bazylinski, D.A. Magnetoreception and Magnetosomes in Bacteria; Springer: Berlin/Heidelberg, Germany, 2007; Volume 3. [Google Scholar]
- Timko, M.; Dzarova, A.; Kovac, J.; Skumiel, A.; Józefczak, A.; Hornowski, T.; Gojzewski, H.; Zavisova, V.; Koneracka, M.; Sprincova, A.; et al. Magnetic properties and heating effect in bacterial magnetic nanoparticles. J. Magn. Magn. Mater. 2009, 321, 1521–1524. [Google Scholar] [CrossRef]
- Fischer, A.; Schmitz, M.; Aichmayer, B.; Fratzl, P.; Faivre, D. Structural purity of magnetite nanoparticles in magnetotactic bacteria. J. R. Soc. Interface 2011, 8, 1011–1018. [Google Scholar] [CrossRef]
- Körnig, A.; Winklhofer, M.; Baumgartner, J.; Gonzalez, T.P.; Fratzl, P.; Faivre, D. Magnetite Crystal Orientation in Magnetosome Chains. Adv. Funct. Mater. 2014, 24, 3926–3932. [Google Scholar] [CrossRef] [Green Version]
- Bury, P.; Veveričík, M.; Kopcansky, P.; Timko, M.; Mitroova, Z. Structural changes in liquid crystals doped with functionalized carbon nanotubes. Phys. E Low-Dimens. Syst. Nanostruct. 2018, 103, 53–59. [Google Scholar] [CrossRef]
- Bury, P.; Veveričík, M.; Kopcansky, P.; Timko, M.; Studenyak, I.P. Effect of superionic nanoparticles on structural changes and electro-optical behavior in nematic liquid crystal. J. Mol. Liq. 2019, 288. [Google Scholar] [CrossRef]
- Bury, P.; Veveričík, M.; Černobila, F.; Kopčanský, P.; Timko, M.; Závišová, V. Study of Structural Changes in Nematic Liquid Crystals Doped with Magnetic Nanoparticles Using Surface Acoustic Waves. Crystals 2020, 10, 1023. [Google Scholar] [CrossRef]
- Kopčanský, P.; Tomašovičová, N.; Koneracká, M.; Závišová, V.; Timko, M.; Džarová, A.; Šprincová, A.; Éber, N.; Fodor-Csorba, K.; Tóth-Katona, T.; et al. Structural changes in the 6CHBT liquid crystal doped with spherical, rodlike, and chainlike magnetic particles. Phys. Rev. E 2008, 78, 011702. [Google Scholar] [CrossRef] [Green Version]
- Bury, P.; Veveričík, M.; Kopcansky, P.; Timko, M.; Závišová, V. Effect of Spherical, Rod-Like and Chain-Like Magnetic Nanoparticles on Magneto-Optical Response of Nematics. Acta Phys. Pol. A 2019, 136, 101–106. [Google Scholar] [CrossRef]
- Dzarova, A.; Royer, F.; Timko, M.; Jamon, D.; Kopcansky, P.; Kovac, J.; Choueikani, F.; Gojzewski, H.; Rousseau, J.-J. Magneto-optical study of magnetite nanoparticles prepared by chemical and biomineralization process. J. Magn. Magn. Mater. 2011, 323, 1453–1459. [Google Scholar] [CrossRef]
- Molcan, M.; Gojzewski, H.; Skumiel, A.; Dutz, S.; Kovac, J.; Kubovcikova, M.; Kopcansky, P.; Vekas, L.; Timko, M. Energy losses in mechanically modified bacterial magnetosomes. J. Phys. D Appl. Phys. 2016, 49, 365002. [Google Scholar] [CrossRef]
- Gojzewski, H.; Makowski, M.M.; Hashim, A.; Kopcansky, P.; Tomori, Z.; Timko, M. Magnetosomes on Surface: An Imaging Study Approach. Scanning 2011, 34, 159–169. [Google Scholar] [CrossRef]
- Tiller, B.; Reboud, J.; Tassieri, M.; Wilson, R.; Cooper, J.M. Frequency dependence of microflows upon acoustic interactions with fluids. Phys. Fluids 2017, 29, 122008. [Google Scholar] [CrossRef] [Green Version]
- Forster, D.; Lubensky, T.C.; Martin, P.C.; Swift, J.; Pershan, P.S. Hydrodynamics of Liquid Crystals. Phys. Rev. Lett. 1971, 26, 1016–1019. [Google Scholar] [CrossRef]
- Martin, P.C.; Parodi, O.; Pershan, P.S. Unified Hydrodynamic Theory for Crystals, Liquid Crystals, and Normal Fluids. Phys. Rev. A 1972, 6, 2401–2420. [Google Scholar] [CrossRef] [Green Version]
- Belyaev, V.V. Physical methods for measuring the viscosity coefficients of nematic liquid crystals. Uspekhi Fiz. Nauk. 2001, 171, 267–298. [Google Scholar] [CrossRef]
- Lin, Y.; Daoudi, A.; Dubois, F.; Blach, J.-F.; Henninot, J.-F.; Kurochkin, O.; Grabar, A.; Segovia-Mera, A.; Legrand, C.; Douali, R. A comparative study of nematic liquid crystals doped with harvested and non-harvested ferroelectric nanoparticles: Phase transitions and dielectric properties. RSC Adv. 2017, 7, 35438–35444. [Google Scholar] [CrossRef] [Green Version]
- Gorkunov, M.V.; Osipov, M.A. Mean-field theory of a nematic liquid crystal doped with anisotropic nanoparticles. Soft Matter 2011, 7, 4348–4356. [Google Scholar] [CrossRef]
- Balcerzak, A. Ultrasonic measurement in the 1-(trans-4-hexylcyclohexyl)-4-isothiocyanatobenzene near the nematic-isotropic transition. Arch. Acoust. 2005, 30, 373–378. [Google Scholar]
- Li, F.; Buchnev, O.; Cheon, C.I.; Glushchenko, A.; Reshetnyak, V.; Reznikov, Y.; Sluckin, T.; West, J.L. Orientational Coupling Amplification in Ferroelectric Nematic Colloids. Phys. Rev. Lett. 2006, 97, 147801. [Google Scholar] [CrossRef] [Green Version]
- Nozdarev, F.V. Application of Ultrasonics in Molecular Physics; Gordon and Breach: New York, NY, USA, 1963. [Google Scholar]
- Derjaguin, B.V.; Bazaron, U.B.; Lamazhapova, K.D.; Tsidypov, B.D. Shear elasticity of low-viscosity liquids at low frequencies. Phys. Rev. A 1990, 42, 2255–2258. [Google Scholar] [CrossRef]
- Bury, P.; Veveričík, M.; Kopčanský, P.; Timko, M.; Lacková, V. Structural changes in liquid crystals doped with spindle magnetic particles. Phys. E Low-Dimens. Syst. Nanostruct. 2021, 134, 114860. [Google Scholar] [CrossRef]
- Qiao, X.; Zhang, X.; Guo, Y.; Yang, S.; Tian, Y.; Meng, Y. Boundary layer viscosity of CNT-doped liquid crystals: Effects of phase behavior. Rheol. Acta 2013, 52, 939–947. [Google Scholar] [CrossRef]
- Bury, P.; Veveričík, M.; Kopčanský, P.; Timko, M.; Studenyak, I.; Pogodin, A. Influence of X7GeS5I (X = Ag, Cu) Superionic Nanoparticles on Structural Changes in Nematic Liquid Crystal. Crystals 2021, 11, 413. [Google Scholar] [CrossRef]
- Chen, S.-H.; Amer, N.M. Observation of Macroscopic Collective Behavior and New Texture in Magnetically Doped Liquid Crystals. Phys. Rev. Lett. 1983, 51, 2298–2301. [Google Scholar] [CrossRef] [Green Version]













| Sample | Bc (T) |
|---|---|
| 6CB | 0.32 |
| 6CB + magnetosomes | 0.32 |
| 5CB | 0.34 |
| 5CB + magnetosomes | 0.33 |
| E7 | 0.40 |
| E7 + magnetosomes | 0.38 |
Publisher’s Note: MDPI stays neutral with regard to jurisdictional claims in published maps and institutional affiliations. |
© 2021 by the authors. Licensee MDPI, Basel, Switzerland. This article is an open access article distributed under the terms and conditions of the Creative Commons Attribution (CC BY) license (https://creativecommons.org/licenses/by/4.0/).
Share and Cite
Bury, P.; Veveričík, M.; Černobila, F.; Molčan, M.; Zakuťanská, K.; Kopčanský, P.; Timko, M. Effect of Liquid Crystalline Host on Structural Changes in Magnetosomes Based Ferronematics. Nanomaterials 2021, 11, 2643. https://doi.org/10.3390/nano11102643
Bury P, Veveričík M, Černobila F, Molčan M, Zakuťanská K, Kopčanský P, Timko M. Effect of Liquid Crystalline Host on Structural Changes in Magnetosomes Based Ferronematics. Nanomaterials. 2021; 11(10):2643. https://doi.org/10.3390/nano11102643
Chicago/Turabian StyleBury, Peter, Marek Veveričík, František Černobila, Matúš Molčan, Katarína Zakuťanská, Peter Kopčanský, and Milan Timko. 2021. "Effect of Liquid Crystalline Host on Structural Changes in Magnetosomes Based Ferronematics" Nanomaterials 11, no. 10: 2643. https://doi.org/10.3390/nano11102643
APA StyleBury, P., Veveričík, M., Černobila, F., Molčan, M., Zakuťanská, K., Kopčanský, P., & Timko, M. (2021). Effect of Liquid Crystalline Host on Structural Changes in Magnetosomes Based Ferronematics. Nanomaterials, 11(10), 2643. https://doi.org/10.3390/nano11102643

