Study of Physico-Chemical Interactions during the Production of Silver Citrate Nanocomposites with Hemp Fiber
Abstract
:1. Introduction
2. Materials and Methods
- The film deposition on hemp fabric is noted as sample D (Ag Film/Hemp).
- The next film was deposited on a hemp fabric impregnated with supersaturated aqueous citric acid solution to form composite materials for further applications; this is referred to as sample E (Ag Film/CA/Hemp).
- Finally, silver film deposition was performed on a layer of citric acid applied as a supersaturated aqueous citric acid solution on a glass slab; this is denoted as sample F (Ag Film/CA/Glass).
- 1-Y-active (yeast mixture on the glass slab or blind sample).
- 2-Y-HMP (the yeast mixture on hemp fabric sample).
- 3-Y-Ag-HMP (the yeast mixture on the silver layer deposited on the hemp fabric).
- 4-Y-Ag-CA-HMP (the yeast mixture on the silver citrate layer deposited on the hemp fabric).
3. Results and Discussions
3.1. Target Initial Chemical Composition
3.2. Physico-Chemical Processes of Ablation and Redisposition on the Target
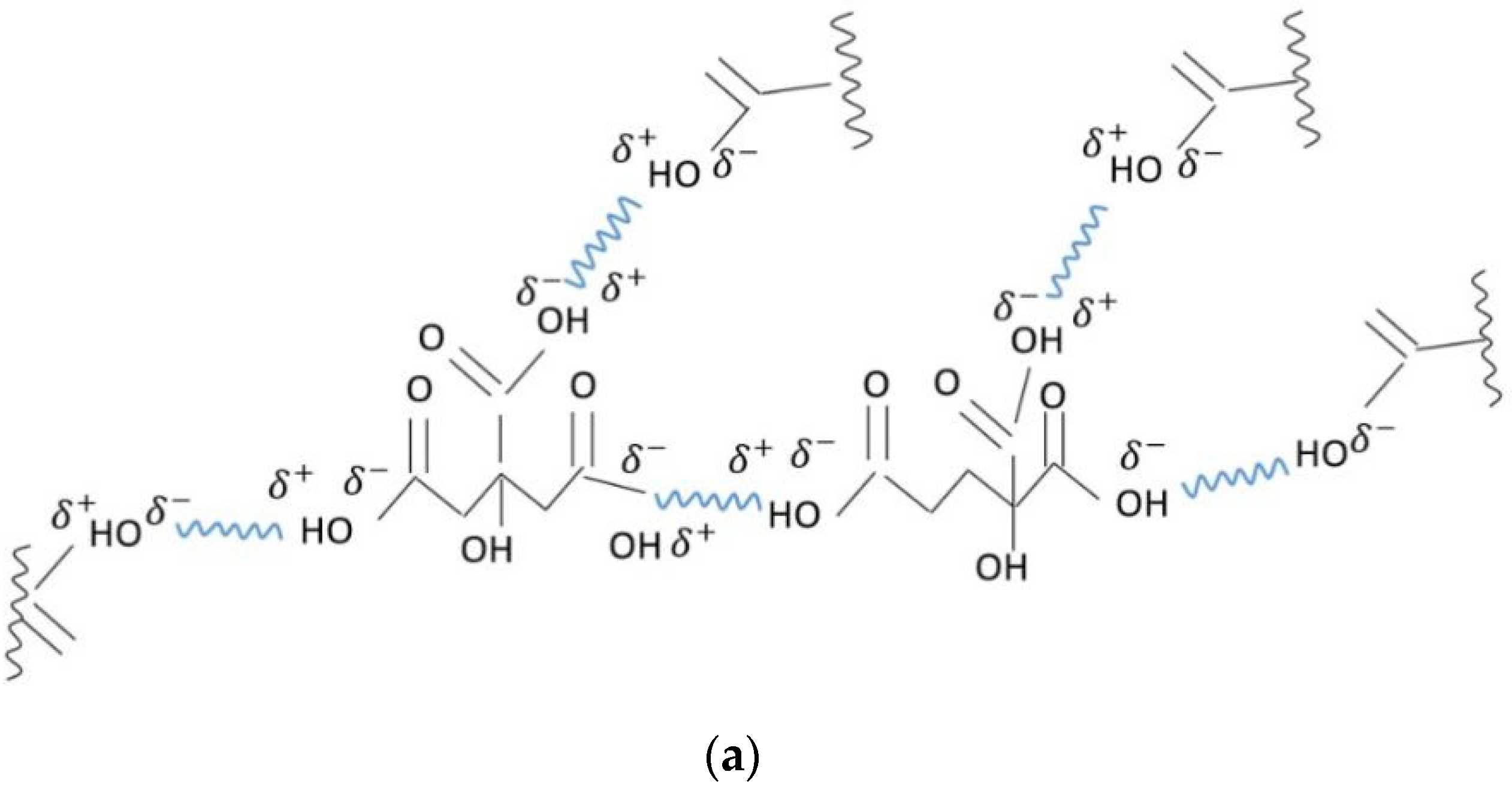
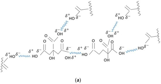
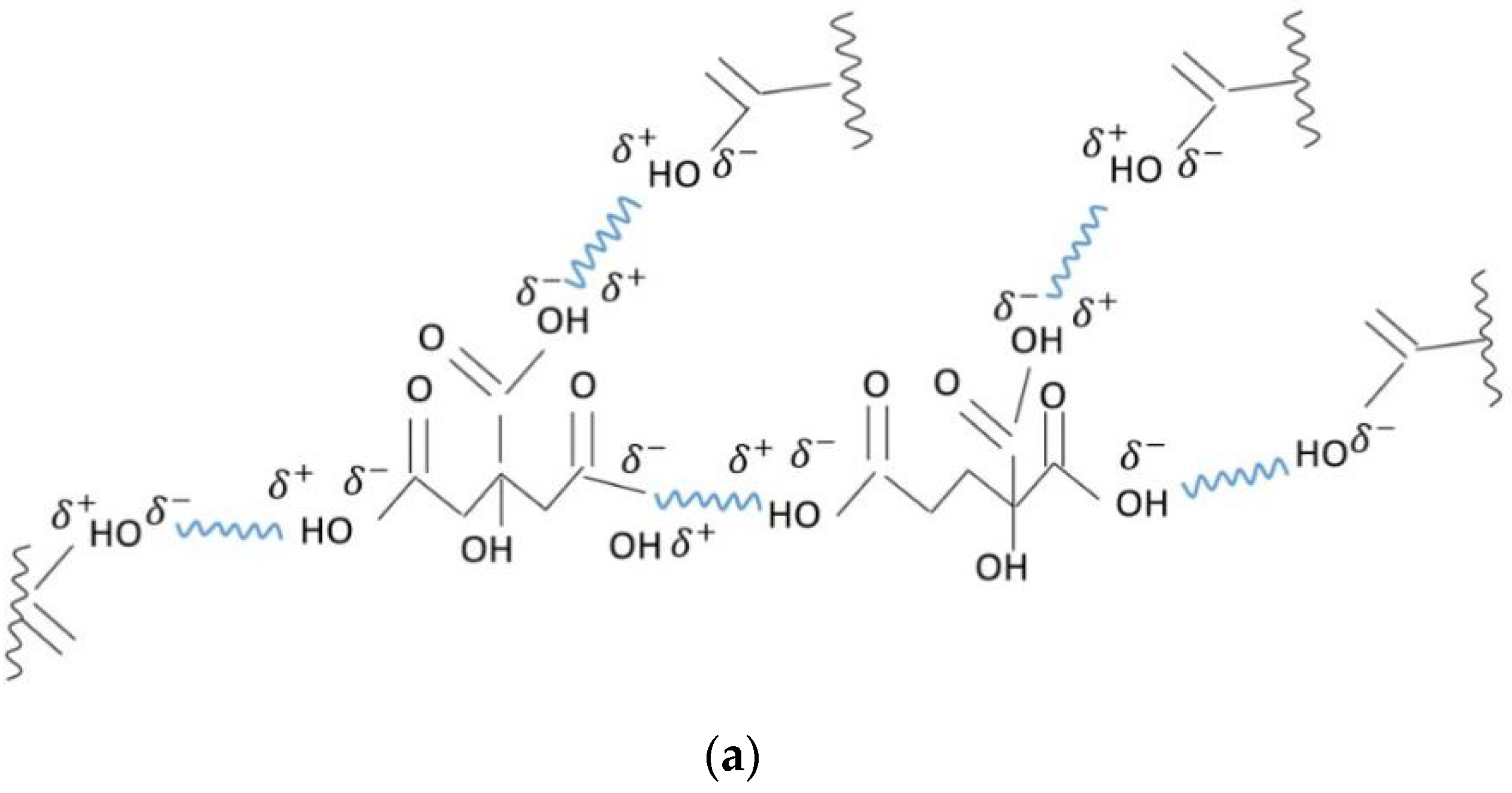
3.3. Physico-Chemical Interaction of Silver Plume with the Citric Acid Substrate
3.4. Yeast Foaming Test for the New Ag-CA-HMP Material Synthesized by PLD Method
4. Conclusions
Author Contributions
Funding
Data Availability Statement
Conflicts of Interest
References
- Zeng, J.; Tao, J.; Li, W.; Grant, J.; Wang, P.; Zhu, Y.; Xia, Y. A Mechanistic Study on the Formation of Silver Nanoplates in the Presence of Silver Seeds and Citric Acid or Citrate Ions. Chem.-Asian J. 2010, 6, 376–379. [Google Scholar] [CrossRef]
- Bera, R.K.; Raj, C.R. A facile photochemical route for the synthesis of triangular Ag nanoplates and colorimetric sensing of H2O2. J. Photochem. Photobiol. A: Chem. 2013, 270, 1–6. [Google Scholar] [CrossRef]
- Butch, C.; Cope, E.D.; Pollet, P.; Gelbaum, L.; Krishnamurthy, R.; Liotta, C.L. Production of Tartrates by Cyanide-Mediated Dimerization of Glyoxylate: A Potential Abiotic Pathway to the Citric Acid Cycle. J. Am. Chem. Soc. 2013, 135, 13440–13445. [Google Scholar] [CrossRef]
- Homan, K.A.; Souza, M.; Truby, R.; Luke, G.P.; Green, C.; Vreeland, E.; Emelianov, S. Silver Nanoplate Contrast Agents for In Vivo Molecular Photoacoustic Imaging. ACS Nano 2012, 6, 641–650. [Google Scholar] [CrossRef] [Green Version]
- Zhang, L.V.; Brunet, P.; Eggers, J.; Deegan, R.D. Wavelength selection in the crown splash. Phys. Fluids 2010, 22, 122105. [Google Scholar] [CrossRef] [Green Version]
- Jyoti, K.; Baunthiyal, M.; Singh, A. Characterization of silver nanoparticles synthesized using Urtica dioica Linn. leaves and their synergistic effects with antibiotics. J. Radiat. Res. Appl. Sci. 2016, 9, 217–227. [Google Scholar] [CrossRef] [Green Version]
- Bagherzade, G.; Tavakoli, M.M.; Namaei, M.H. Green synthesis of silver nanoparticles using aqueous extract of saffron (Crocus sativus L.) wastages and its antibacterial activity against six bacteria. Asian Pac. J. Trop. Biomed. 2017, 7, 227–233. [Google Scholar] [CrossRef]
- Karthik, L.; Kumar, G.; Kirthi, A.V.; Rahuman, A.A.; Rao, K.V.B. Streptomyces sp. LK3 mediated synthesis of silver nanoparticles and its biomedical application. Bioprocess Biosyst. Eng. 2013, 37, 261–267. [Google Scholar] [CrossRef] [PubMed]
- Dao, V.-D.; Choi, H.-S. Highly-Efficient Plasmon-Enhanced Dye-Sensitized Solar Cells Created by Means of Dry Plasma Reduction. Nanomaterials 2016, 6, 70. [Google Scholar] [CrossRef] [Green Version]
- Dao, V.-D.; Tran, C.Q.; Ko, S.-H.; Choi, H.-S. Dry plasma reduction to synthesize supported platinum nanoparticles for flexible dye-sensitized solar cells. J. Mater. Chem. A 2013, 1, 4436. [Google Scholar] [CrossRef]
- Mohan, J.C.; Praveen, G.; Chennazhi, K.; Jayakumar, R.; Nair, S. Functionalised gold nanoparticles for selective induction ofin vitroapoptosis among human cancer cell lines. J. Exp. Nanosci. 2013, 8, 32–45. [Google Scholar] [CrossRef]
- Dao, V.-D.; Vu, N.H.; Yun, S. Recent advances and challenges for solar-driven water evaporation system toward applications. Nano Energy 2019, 68, 104324. [Google Scholar] [CrossRef]
- Dao, V.-D.; Vu, N.H.; Dang, H.-L.T.; Yun, S. Recent advances and challenges for water evaporation-induced electricity toward applications. Nano Energy 2021, 85, 105979. [Google Scholar] [CrossRef]
- Cocean, I.; Cocean, A.; Postolachi, C.; Pohoata, V.; Cimpoesu, N.; Bulai, G.; Iacomi, F.; Gurlui, S. Alpha keratin amino acids BEHVIOR under high FLUENCE laser interaction. Medical applications. Appl. Surf. Sci. 2019, 488, 418–426. [Google Scholar] [CrossRef]
- Cook, M.M.; Lander, J.A. Use of Sodium Borohydride to Control Heavy Metal Discharge in the Photographic Industry. J. Appl. Photogr. Eng. 1979, 5, 144–147. [Google Scholar]
- Cotton, F.A.; Wilkinson, G. Advanced Inorganic Chemistry, 4th ed.; Interscience: New York, NY, USA, 1980. [Google Scholar]
- Alonso, J.; Diamant, R.; Castillo, P.; Acosta–García, M.; Batina, N.; Haro-Poniatowski, E. Thin films of silver nanoparticles deposited in vacuum by pulsed laser ablation using a YAG:Nd laser. Appl. Surf. Sci. 2009, 255, 4933–4937. [Google Scholar] [CrossRef]
- Gurlui, S.; Pompilian, G.O.; Nemec, P.; Nazabal, V.; Ziskind, M.; Focsa, C. Plasma Diagnostics in Pulsed Laser Deposition of GaLaS Chalcogenides. Appl. Surf. Sci. 2013, 278, 352–356. [Google Scholar]
- Bechtel, J.H. Heating of solid targets with laser pulses. J. Appl. Phys. 1975, 46, 1585–1593. [Google Scholar] [CrossRef]
- Kuznetsov, I.A.; Garaeva, M.Y.; Mamichev, D.A.; Grishchenko, Y.V.; Zanaveskin, M.L. Formation of ultrasmooth thin silver films by pulsed laser deposition. Crystallogr. Rep. 2013, 58, 739–742. [Google Scholar] [CrossRef]
- König, J.; Nolte, S.; Tünnermann, A. Plasma evolution during metal ablation with ultrashort laser pulses. Opt. Express 2005, 13, 10598. [Google Scholar] [CrossRef]
- Stafe, M.; Negutu, C.; Puscas, N.N.; Popescu, I.M. Pulsed laser ablation of solids. Rom. Rep. Phys. 2010, 62, 758–770. [Google Scholar]
- Mercadier, L.; Hermann, J.; Grisolia, C.; Semerok, A. Analysis of deposited layers on plasma facing components by laser-induced breakdown spectroscopy: Towards ITER tritium inventory diagnostics. J. Nucl. Mater. 2011, 415, S1187–S1190. [Google Scholar] [CrossRef]
- Stafe, M.; Vladoiu, I.; Negutu, C.; Popescu, I.M. Experimental investigation of the nanosecond laser ablation rate of aluminum. Rom. Rep. Phys. 2008, 60, 789–796. [Google Scholar]
- Gurlui, S.; Sanduloviciu, M.; Strat, M.; Strat, G.; Mihesan, C.; Ziskind, M.; Focsa, C. Dynamic space charge structures in high fluence laser ablation plumes. J. Optoelectron. Adv. Mater. 2006, 8, 148–151. [Google Scholar]
- Gurlui, S.; Agop, M.; Nica, P.; Ziskind, M.; Focsa, C. Experimental and Theoretical Investigations of a Laser Produced Aluminum. Plasma Phys. Rev. E 2008, 78, 026405. [Google Scholar] [CrossRef]
- Cocean, A.; Cocean, I.; Gurlui, S.; Iacomi, F. Study of the pulsed laser deposition phenomena by means of Comsol Multiphysics. Univ. Politeh. Buchar. Sci. Bull. Ser. A Appl. Math. Phys. 2017, 79, 263–274. [Google Scholar]
- Pretsch, E.; Buhlmann, P.; Badertscher, M. Structure Determination of Organic Compounds, 4th ed.; Revised and Enlarged Edition; Springer: Berlin/Heidelberg, Germany, 2009. [Google Scholar] [CrossRef]
- Miller, F.A.; Wilkins, C.H. Infrared Spectra and Characteristic Frequencies of Inorganic Ions. Anal. Chem. 1952, 24, 1253–1294. [Google Scholar] [CrossRef]
- Durdureanu-Angheluta, A.; Mihesan, C.; Doroftei, F.; Dascalu, A.; Ursu, L.; Velegrakis, M.; Pin-teala, M. Formation by laser ablation in liquid (lal) and characterization of citric acid-coated iron oxide nanoparticles. Rev. Roum. Chim. 2014, 59, 151–159. [Google Scholar]
- Galazzi, R.; Santos, E.; Caurin, T.; Pessoa, G.; Mazali, I.; Arruda, M.A.Z. The importance of evaluating the real metal concentration in nanoparticles post-synthesis for their applications: A case-study using silver nanoparticles. Talanta 2016, 146, 795–800. [Google Scholar] [CrossRef]
- Li, Y.; Ye, Y.; Fan, Y.; Zhou, J.; Jia, L.; Tang, B.; Wang, X. Silver Nanoprism-Loaded Eggshell Membrane: A Facile Platform for In Situ SERS Monitoring of Catalytic Reactions. Crystals 2017, 7, 45. [Google Scholar] [CrossRef]
- Choi, B.-H.; Lee, H.-H.; Jin, S.; Chun, S.; Kim, S.-H. Characterization of the optical properties of silver nanoparticle films. Nanotechnology 2007, 18, 075706. [Google Scholar] [CrossRef]
- Jia, H.; Xu, W.; An, J.; Li, D.; Zhao, B. A simple method to synthesize triangular silver nanoparticles by light irradiation. Spectrochim. Acta 2006, 64, 956–960. [Google Scholar] [CrossRef]
- Paramelle, D.; Sadovoy, A.; Gorelik, S.; Free, P.; Hobley, J.; Fernig, D. A rapid method to estimate the concentration of citrate capped silver nanoparticles from UV-visible light spectra. Analyst 2014, 139, 4855–4861. [Google Scholar] [CrossRef]
- Maillard, M.; Huang, P.; Brus, L. Nano-Silver Nanodisk Growth by Surface Plasmon Enhanced Photoreduction of Adsorbed [Ag+]. Nano Lett. 2003, 3, 1611–1615. [Google Scholar] [CrossRef]
- Ahern, A.M.; Garrell, R.L. In situ photoreduced silver nitrate as a substrate for surface-enhanced Raman spectroscopy. Anal. Chem. 1987, 59, 2813–2816. [Google Scholar] [CrossRef]
- Djokić, S. Synthesis and Antimicrobial Activity of Silver Citrate Complexes. Bioinorg. Chem. Appl. 2008, 2008, 436458. [Google Scholar] [CrossRef]
- Molon, M.; Zebrowski, J. Phylogenetic relationship and FTIR spectroscopy-derived lipid determinants of lifespan parameters in the Saccharomyces cerevisiae yeast. FEMS Yeast Res. 2017, 17. [Google Scholar] [CrossRef] [PubMed]
- Galichet, A.; Sockalingum, G.D.; Belarbi, A.; Manfait, M. FTIR spectroscopic analysis of Saccharomyces cerevisiae cell walls: Study of an anomalous strain exhibiting a pink-colored cell phenotype. FEMS Microbiol. Lett. 2001, 197, 179–186. [Google Scholar] [CrossRef] [PubMed] [Green Version]
- Sucrose. Available online: https://webbook.nist.gov/cgi/cbook.cgi?ID=C57501&Type=IR-SPEC&Index=0 (accessed on 4 September 2021).
- ATR-FT-IR Spectrum of Sucrose (4000–225 cm−1). Available online: https://spectra.chem.ut.ee/paint/binders/sucrose/ (accessed on 4 September 2021).
















| Element | Norm. wt.% | Norm. at.% | ||||
|---|---|---|---|---|---|---|
| Sample (D) Ag Film/ Hemp | Sample (E) Ag Film/ CA/Hemp | Sample (F) Ag Film/ CA/Glass | Sample (D) Ag Film/ Hemp | Sample (E) Ag Film/ CA/Hemp | Sample (F) Ag Film/ CA/Glass | |
| Oxygen | 76.46 | 76.98 | 52.47 | 82.47 | 82.90 | 86.98 |
| Silver | 10.72 | 10.41 | 41.06 | 1.71 | 1.66 | 10.09 |
| Carbon | 10.58 | 10.33 | - | 15.20 | 14.82 | - |
| Copper | 2.23 | 2.28 | - | 0.60 | 0.62 | - |
| Nickel | - | - | 6.46 | - | - | 2.92 |
| 100 | 100 | 100 | 100 | 100 | 100 | |
| Sample | FA% (on Sample Surface) | FA% (on Slab Surface) | FS% (on Sample Surface) | FS% (on Slab Surface) | |||
|---|---|---|---|---|---|---|---|
| Initial | after 3 min | Initial | after 3 min | ||||
| 1 | Y-active | 89.42 | 9.71 | 89.42 | 9.71 | 12.23 | 12.23 |
| 2 | Y-HMP | 8.14 | 10.12 | 7.86 | 5.80 | 155.97 | 74.09 |
| 3 | Y-Ag-HMP | 7.37 | 6.99 | 3.21 | 2.80 | 86.86 | 74.18 |
| 4 | Y-Ag-CA-HMP | 0.00 | 0.00 | 0.34 | 0.00 | - | 0.00 |
Publisher’s Note: MDPI stays neutral with regard to jurisdictional claims in published maps and institutional affiliations. |
© 2021 by the authors. Licensee MDPI, Basel, Switzerland. This article is an open access article distributed under the terms and conditions of the Creative Commons Attribution (CC BY) license (https://creativecommons.org/licenses/by/4.0/).
Share and Cite
Cocean, A.; Cocean, I.; Cocean, G.; Postolachi, C.; Pricop, D.A.; Munteanu, B.S.; Cimpoesu, N.; Gurlui, S. Study of Physico-Chemical Interactions during the Production of Silver Citrate Nanocomposites with Hemp Fiber. Nanomaterials 2021, 11, 2560. https://doi.org/10.3390/nano11102560
Cocean A, Cocean I, Cocean G, Postolachi C, Pricop DA, Munteanu BS, Cimpoesu N, Gurlui S. Study of Physico-Chemical Interactions during the Production of Silver Citrate Nanocomposites with Hemp Fiber. Nanomaterials. 2021; 11(10):2560. https://doi.org/10.3390/nano11102560
Chicago/Turabian StyleCocean, Alexandru, Iuliana Cocean, Georgiana Cocean, Cristina Postolachi, Daniela Angelica Pricop, Bogdanel Silvestru Munteanu, Nicanor Cimpoesu, and Silviu Gurlui. 2021. "Study of Physico-Chemical Interactions during the Production of Silver Citrate Nanocomposites with Hemp Fiber" Nanomaterials 11, no. 10: 2560. https://doi.org/10.3390/nano11102560
APA StyleCocean, A., Cocean, I., Cocean, G., Postolachi, C., Pricop, D. A., Munteanu, B. S., Cimpoesu, N., & Gurlui, S. (2021). Study of Physico-Chemical Interactions during the Production of Silver Citrate Nanocomposites with Hemp Fiber. Nanomaterials, 11(10), 2560. https://doi.org/10.3390/nano11102560
