Graphene Platelets-Based Magnetoactive Materials with Tunable Magnetoelectric and Magnetodielectric Properties
Abstract
:1. Introduction
2. Materials and Methods
- CI microparticles from Sigma-Aldrich (St. Louis, MO, USA) (product number C3518), with an average diameter of 5 m and density 7.86 g/cm3 at 25 °C. The saturation magnetization of the microparticles is 245 Am2/kg at intensities kA/m (Figure 1).
- Graphene nanoplatelets Sigma-Aldrich (product number 900394) with a height of few nm, length about 2 m, surface area 300 m2/g, and densities in the range 0.2 ÷ 0.4 g/cm3. The pure graphitic composition makes nGr excellent electrical and thermal conductors and can improve mechanical properties such as stiffness, strength, and surface hardness of the matrix material. In addition, they are compatible with almost all types of natural and synthetic polymers, and can be an active ingredient in inks or coatings as well as an excellent additive to plastics of all kinds.
- Silicone oil (SO) from Siliconi Comerciale SpA (MS100 type) with density 0.97 g/cm3, dynamic viscosity mPa×s, and relative dielectric permittivity at 25 °C.
- Gauze bandage (GB) from Medicomp (type 4) based on cotton fibers with granulation of 30 g/cm2.
- One prepares at 150 °C for 300 s, polyphasic liquids , based on CI, nGr and SO with mass weights and concentrations given in Table 1.
- One cuts four pieces of GB, each one with dimensions 30 mm × 30 mm. Their height is 1.40 mm and the weight of each piece is 0.25 g
- On each GB is poured 1 g of , and a hMAC is obtained (for ), and hEMACs are obtained for . The mass fractions of each component in hMAC and hEMACs are indicated in Table 2, and their dimensions coincide with those of GB.
- One cuts 8 textolite plates, covered with copper on one side, with dimensions 30 mm × 30 mm × 0.5 mm.
- On four of the copper-coated side textolites are placed hMACs, and respectively , with .
- The remaining four plates are placed on top of the hMACs or hEMACs, with the copper side inward, that is, in contact with the hMAC or hEMACs. At the end of this procedure one obtains ED, with the geometry shown in Figure 2.
3. Results and Discussion
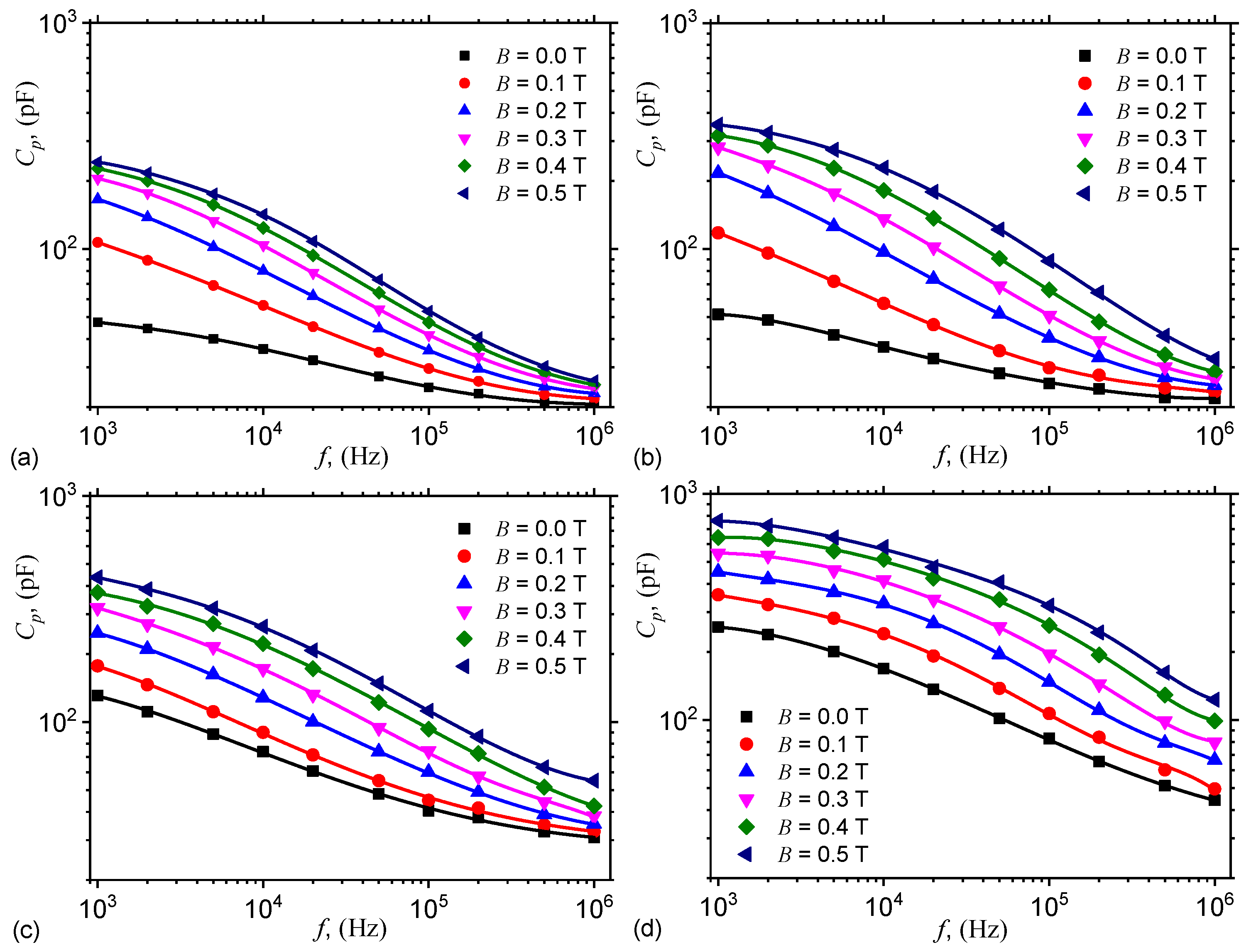
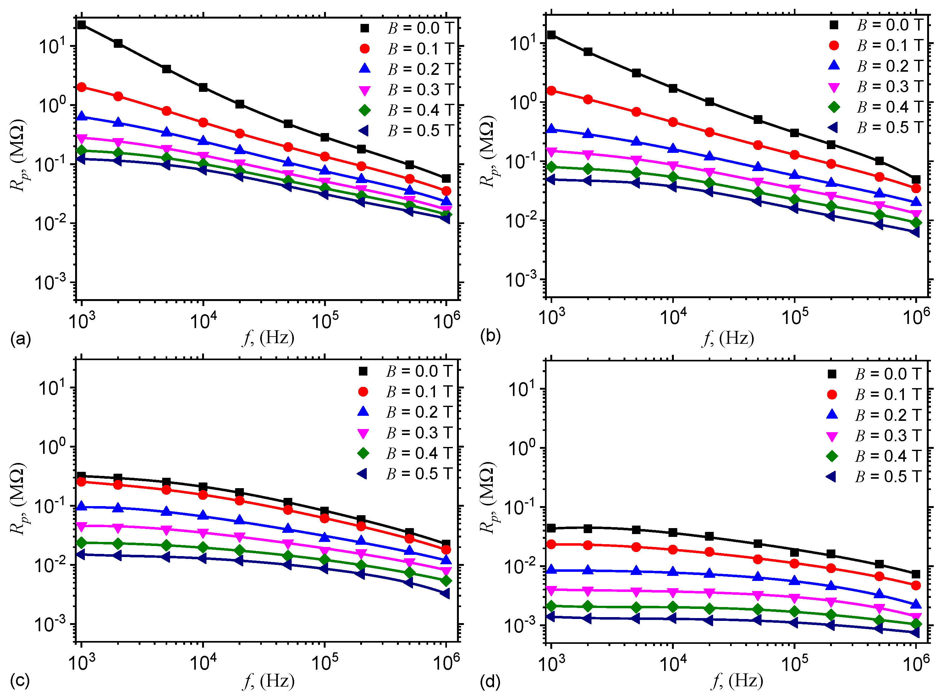
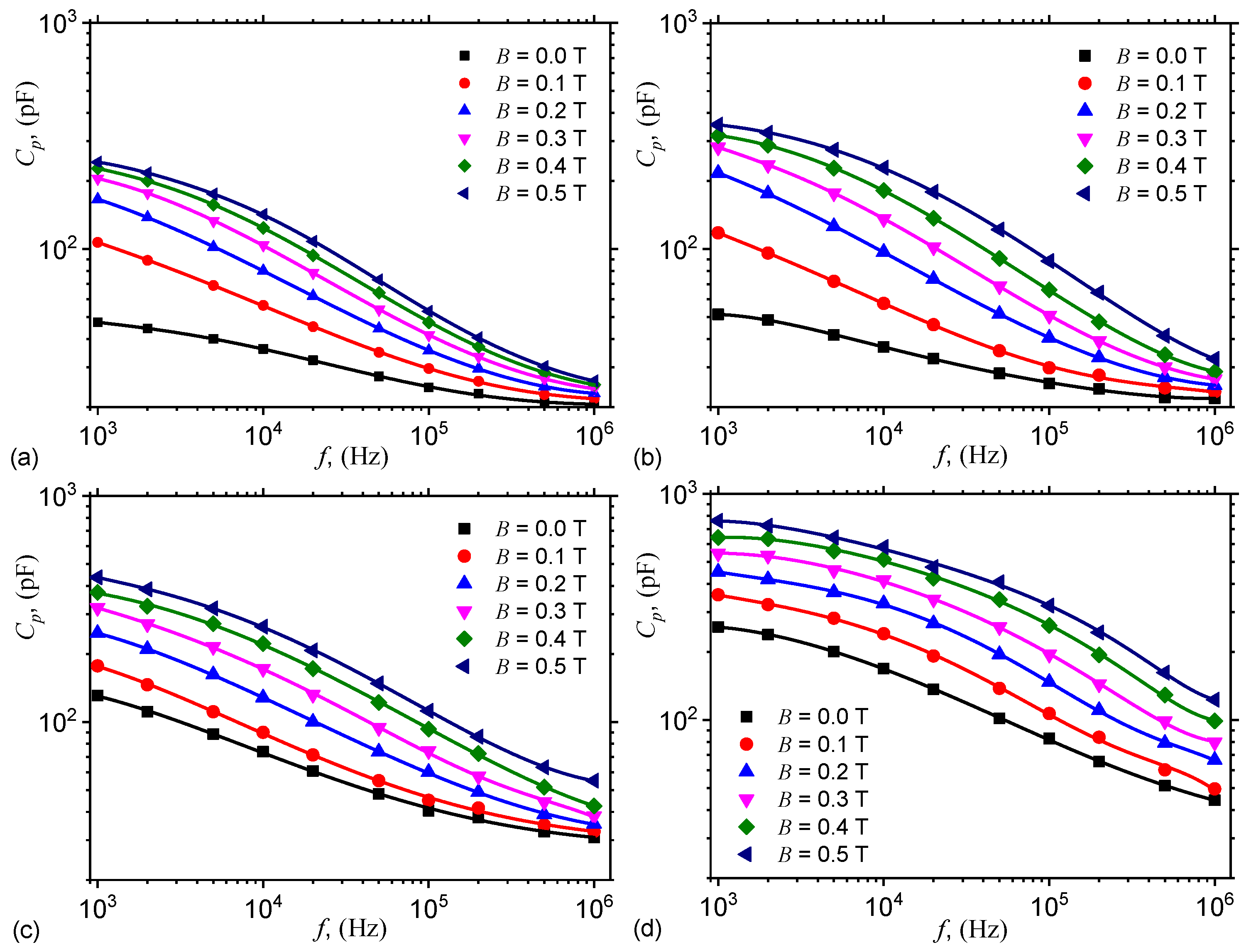
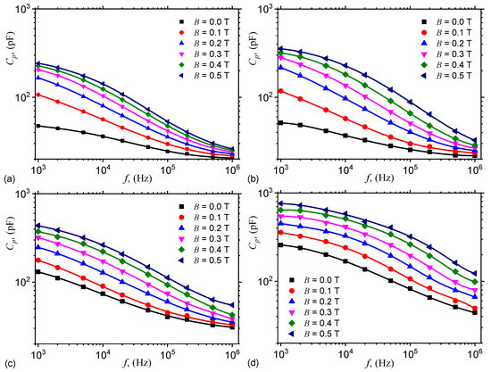
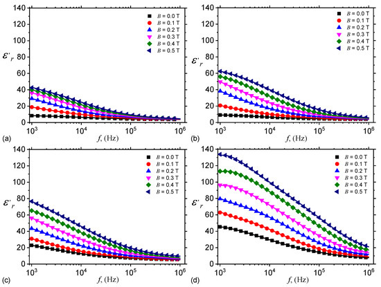
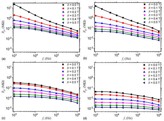
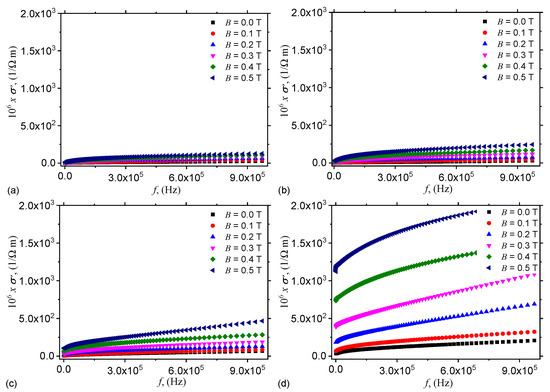
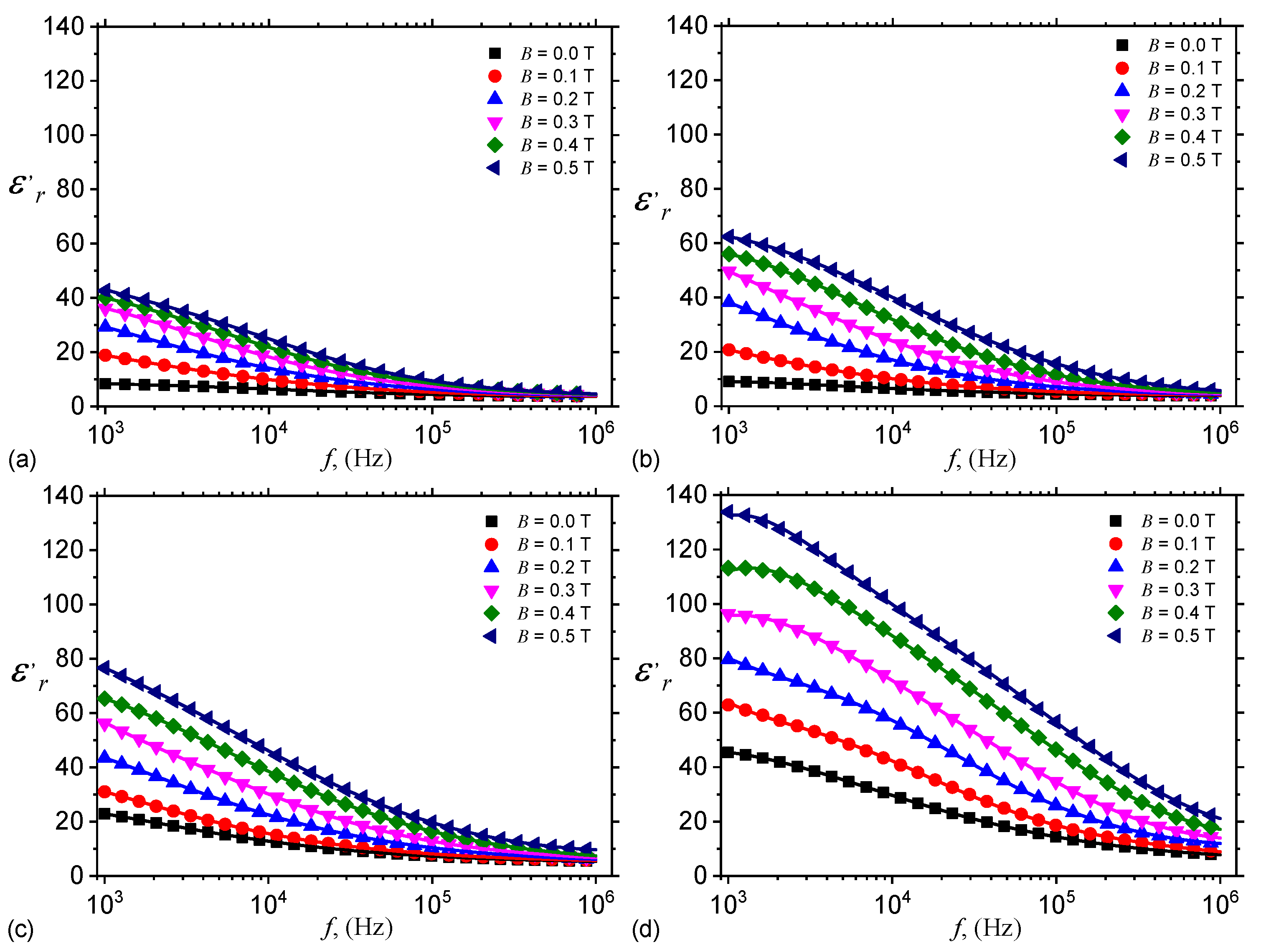
3.1. Electrical Capacitance and Resistance
3.2. Theoretical Model
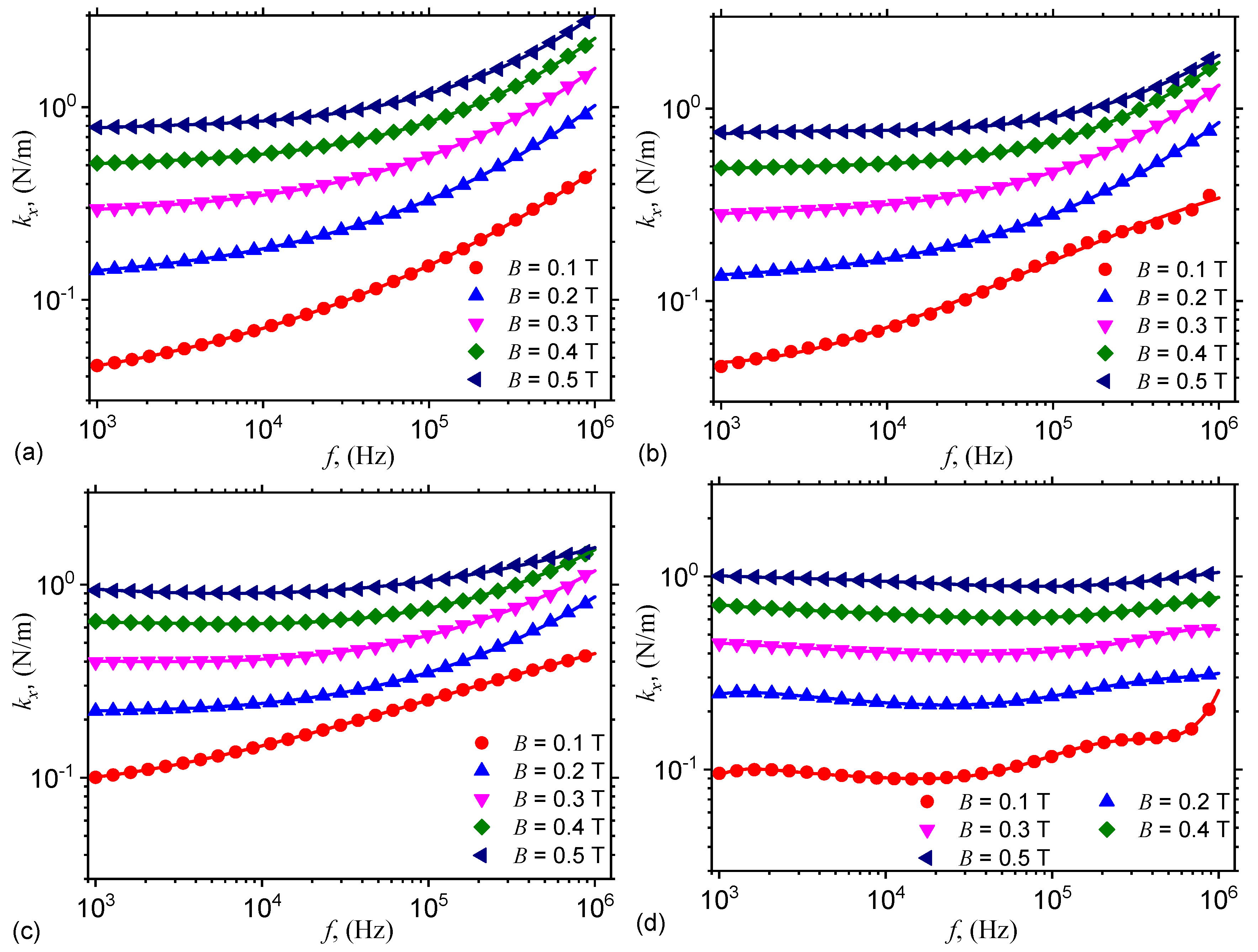
3.2.1. Magneto-Electric Couplings
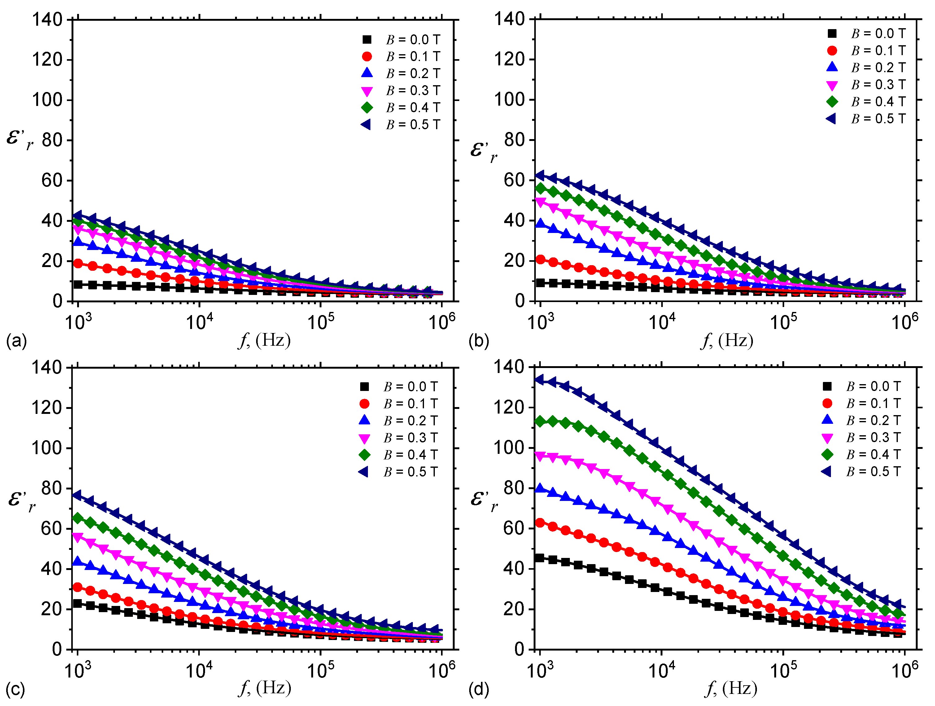
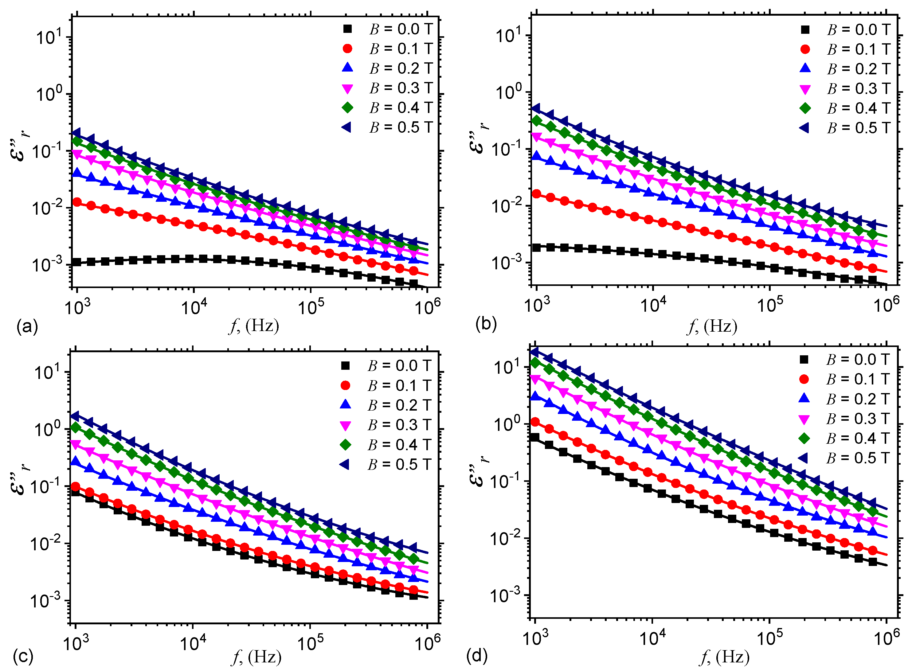
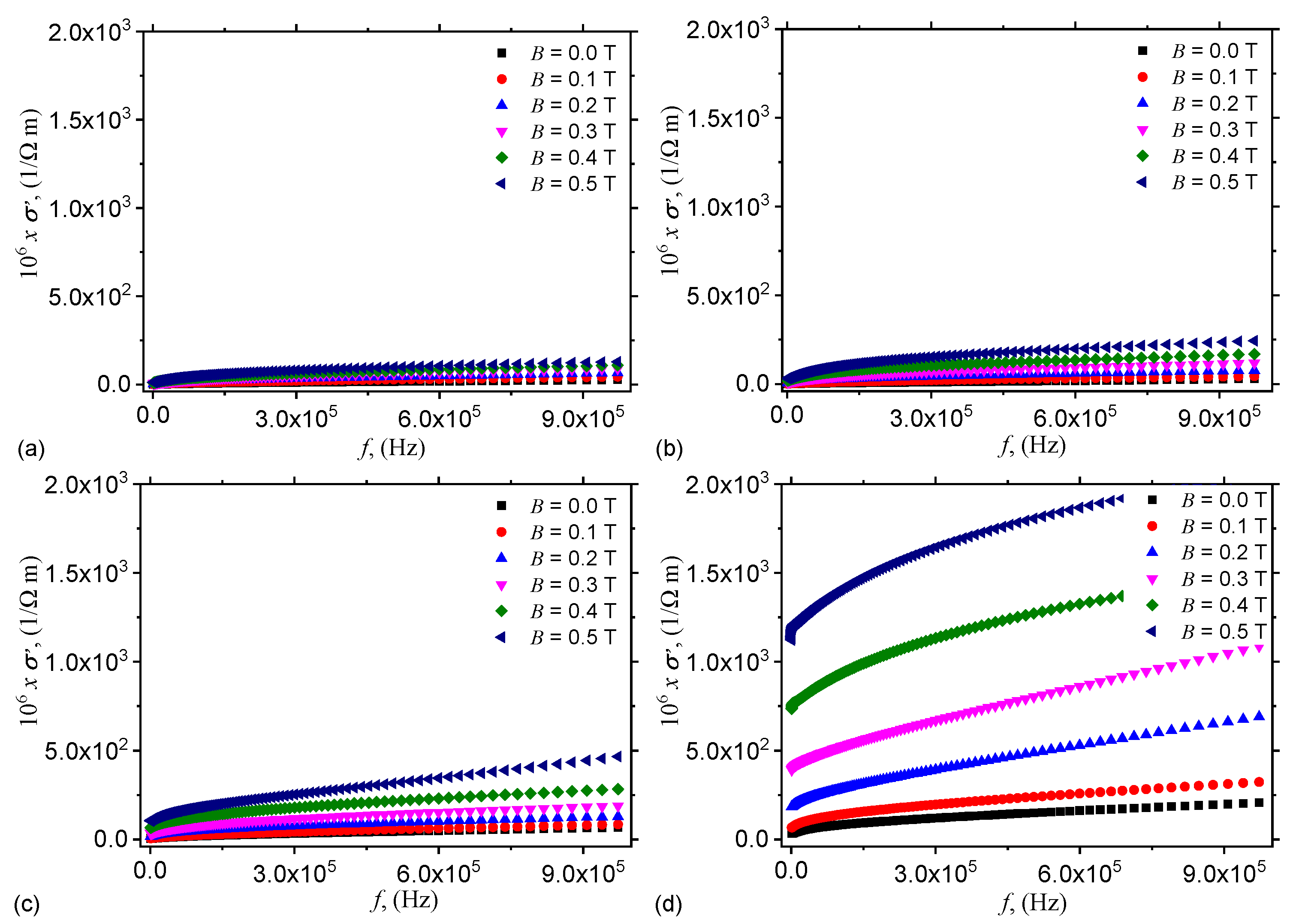
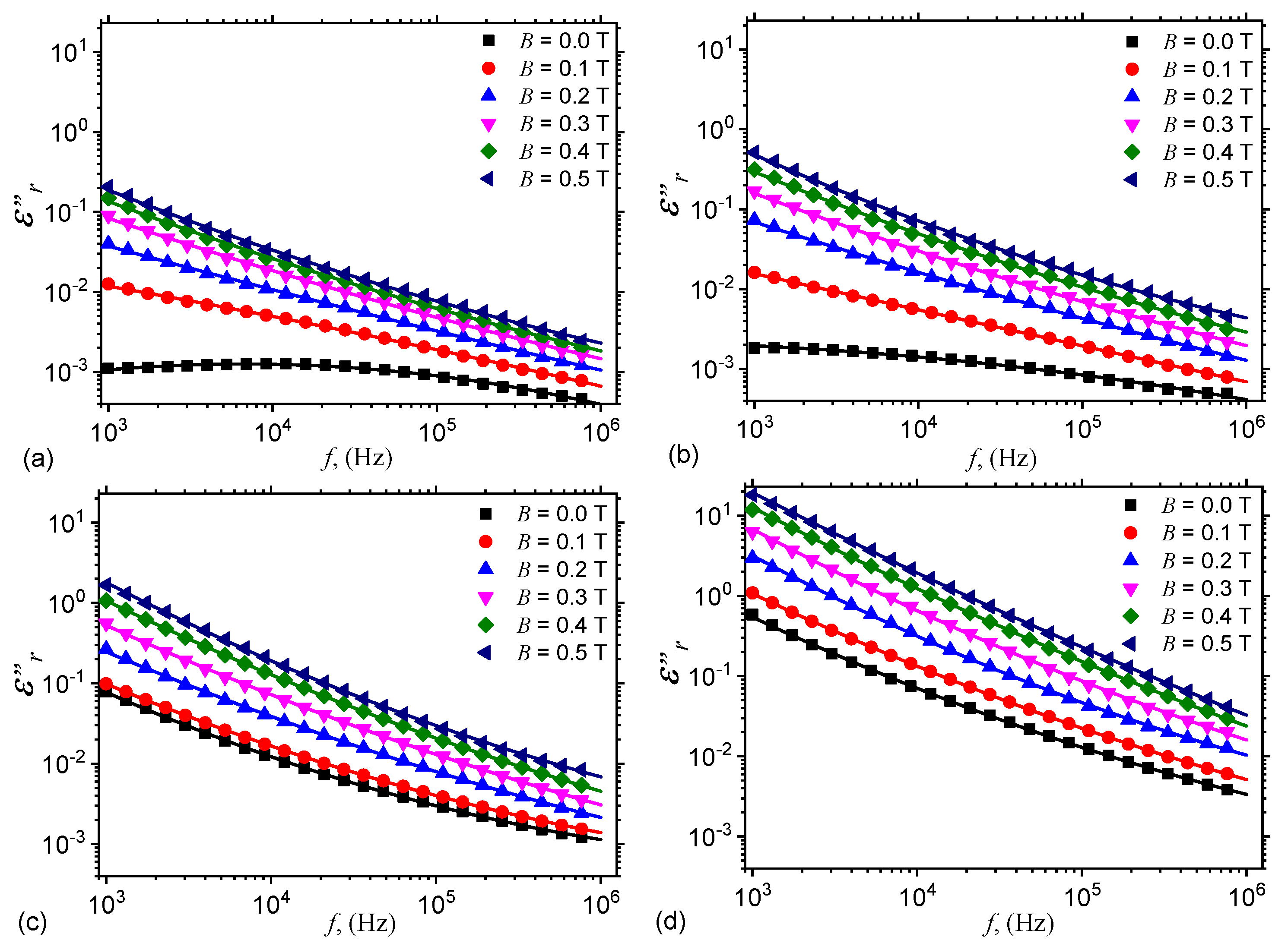
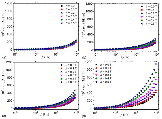
3.2.2. Relative Dielectric Permittivity and Electrical Conductivity
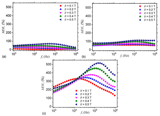
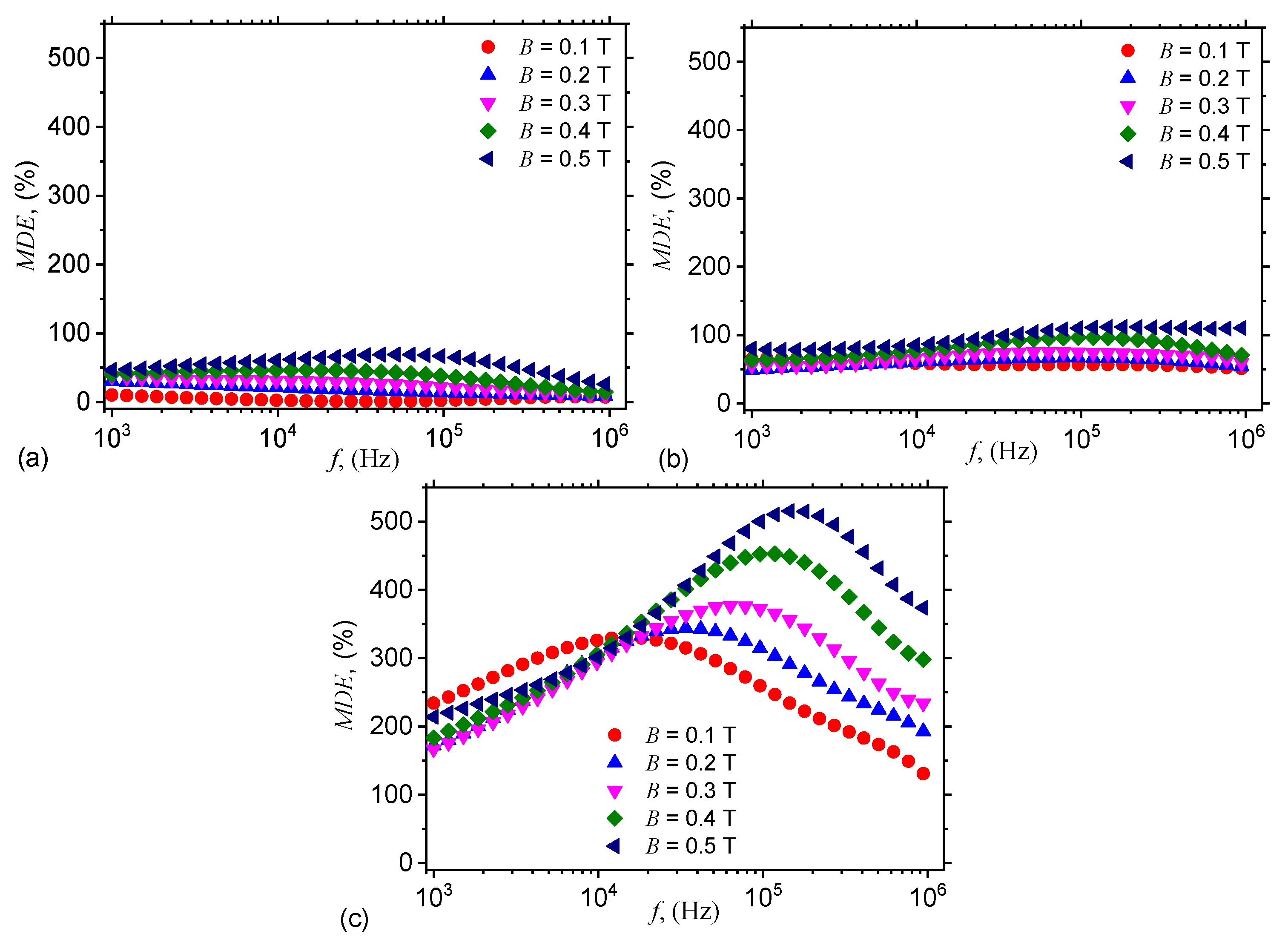
3.2.3. Magnetodielectric Effects Induced in Hmac and Hemacs
4. Conclusions
Author Contributions
Funding
Acknowledgments
Conflicts of Interest
Appendix A. Magneto-Electric Coupling and Electrical Conductivities and



References
- Liu, X.; Qin, Z.; Dou, Z.; Liu, N.; Chen, L.; Zhu, M. Fabricating conductive poly(ethylene terephthalate) nonwoven fabrics using an aqueous dispersion of reduced graphene oxide as a sheet dyestuff. RSC Adv. 2014, 4, 23869–23875. [Google Scholar] [CrossRef]
- Yu, D.; Mu, S.; Liu, L.; Wang, W. Preparation of electroless silver plating on aramid fiber with good conductivity and adhesion strength. Colloids Surf. A Physicochem. Eng. Asp. 2015, 483, 53–59. [Google Scholar] [CrossRef]
- Lu, Y.; Xue, L.; Li, F. Adhesion enhancement between electroless nickel and polyester fabric by a palladium-free process. Appl. Surf. Sci. 2011, 257, 3135–3139. [Google Scholar] [CrossRef]
- Afzali, A.; Mottaghitalab, V.; Motlagh, M.S.; Haghi, A.K. The electroless plating of Cu-Ni-P alloy onto cotton fabrics. Korean J. Chem. Eng. 2010, 27, 1145–1149. [Google Scholar] [CrossRef]
- Lu, Y.; Liang, Q.; Xue, L. Electroless nickel deposition on silane modified bamboo fabric through silver, copper or nickel activation. Surf. Coat. Technol. 2012, 206, 3639–3644. [Google Scholar] [CrossRef]
- Zhao, W.; Xu, Z.; Sun, T.; Liu, S.; Wu, X.; Ma, Z.; He, J.; Chen, C. Carbon cloth surface-decorated with silver nanoparticles for surface-enhanced Raman scattering. J. Alloys Compd. 2014, 584, 635–639. [Google Scholar] [CrossRef]
- Mei, H.; Han, D.; Xiao, S.; Ji, T.; Tang, J.; Cheng, L. Improvement of the electromagnetic shielding properties of C/SiC composites by electrophoretic deposition of carbon nanotube on carbon fibers. Carbon 2016, 109, 149–153. [Google Scholar] [CrossRef]
- Baghriche, O.; Ruales, C.; Sanjines, R.; Pulgarin, C.; Zertal, A.; Stolitchnov, I.; Kiwi, J. Ag-surfaces sputtered by DC and pulsed DC-magnetron sputtering effective in bacterial inactivation: Testing and characterization. Surf. Coat. Technol. 2012, 206, 2410–2416. [Google Scholar] [CrossRef]
- Lien, W.F.; Huang, P.C.; Tseng, S.C.; Cheng, C.H.; Lai, S.M.; Liaw, W.C. Electroless silver plating on tetraethoxy silane-bridged fiber glass. Appl. Surf. Sci. 2012, 258, 2246–2254. [Google Scholar] [CrossRef]
- Kwak, W.G.; Oh, M.H.; Gong, M.S. Preparation of silver-coated cotton fabrics using silver carbamate via thermal reduction and their properties. Carbohydr. Polym. 2015, 115, 317–324. [Google Scholar] [CrossRef]
- Yu, D.; Kang, G.; Tian, W.; Lin, L.; Wang, W. Preparation of conductive silk fabric with antibacterial properties by electroless silver plating. Appl. Surf. Sci. 2015, 357, 1157–1162. [Google Scholar] [CrossRef]
- Chen, H.; Liao, F.; Yuan, Z.; Han, X.; Xu, C. Simple and fast fabrication of conductive silver coatings on carbon fabrics via an electroless plating technique. Mater. Lett. 2017, 196, 205–208. [Google Scholar] [CrossRef]
- Li, W.P.; Zhu, L.Q.; Gu, J.; Liu, H.C. Microwave absorption properties of fabric coated absorbing material using modified carbonyl iron power. Compos. Part B Eng. 2011, 42, 626–630. [Google Scholar] [CrossRef]
- Simayee, M.; Montazer, M. A protective polyester fabric with magnetic properties using mixture of carbonyl iron and nano carbon black along with aluminium sputtering. J. Ind. Text. 2018, 47, 674–685. [Google Scholar] [CrossRef]
- Chen, Y.; Lei, Z.; Wu, H.; Zhu, C.; Gao, P.; Ouyang, Q.; Qi, L.H.; Qin, W. Electromagnetic absorption properties of graphene/Fe nanocomposites. Mater. Res. Bull. 2013, 48, 3362–3366. [Google Scholar] [CrossRef]
- Perera, A.S.; Zhang, S.; Homer-Vanniasinkam, S.; Coppens, M.O.; Edirisinghe, M. Polymer–Magnetic Composite Fibers for Remote-Controlled Drug Release. ACS Appl. Mater. Interface 2018, 10, 15524–15531. [Google Scholar] [CrossRef]
- Wang, B.; Zheng, H.; Chang, M.W.; Ahmad, Z.; Li, J.S. Hollow polycaprolactone composite fibers for controlled magnetic responsive antifungal drug release. Colloids Surf. B 2016, 145, 757–767. [Google Scholar] [CrossRef]
- Annapureddy, V.; Kim, M.; Palneedi, H.; Lee, H.Y.; Choi, S.Y.; Yoon, W.H.; Park, D.S.; Choi, J.J.; Hahn, B.D.; Ahn, C.W.; et al. Low-Loss Piezoelectric Single-Crystal Fibers for Enhanced Magnetic Energy Harvesting with Magnetoelectric Composite. Adv. Energy Mater. 2016, 6, 1601244. [Google Scholar] [CrossRef]
- Zhao, R.; Li, X.; Li, Y.; Li, Y.; Sun, B.; Zhang, N.; Chao, S.; Wang, C. Functionalized magnetic iron oxide/polyacrylonitrile composite electrospun fibers as effective chromium (VI) adsorbents for water purification. J. Colloids Interface Sci. 2017, 505, 1018–1030. [Google Scholar] [CrossRef]
- Ercuta, A. Sensitive AC Hysteresigraph of Extended Driving Field Capability. IEEE Trans. Instrum. Meas. 2020, 69, 1643–1651. [Google Scholar] [CrossRef]
- Melle, S. Study of the Dynamics in Magnetorheological Suspensions Subject to External Fields by Means of Optical Techniques; University of Madrid: Madrid, Spain, 1995. [Google Scholar]
- Bica, I.; Anitas, E. Magnetic field intensity effect on electrical conductivity of magnetorheological biosuspensions based on honey, turmeric and carbonyl iron. J. Ind. Eng. Chem. 2018, 64, 276–283. [Google Scholar] [CrossRef]
- Aveyard, B. Surfactants: In Solution, at Interfaces and in Colloidal Dispersions; Oxford University Press: Oxford, UK, 2019. [Google Scholar]
- Moliton, A. Applied Electromagnetism and Materials; Springer: New York, NY, USA, 2007. [Google Scholar]
- Liu, Y.D.; Fang, F.F.; Choi, H.J. Core–Shell Structured Semiconducting PMMA/Polyaniline Snowman-like Anisotropic Microparticles and Their Electrorheology. Langmuir 2010, 26, 12849–12854. [Google Scholar] [CrossRef] [PubMed]
- Liu, Y.D.; Choi, H.J. Electrorheological fluids: Smart soft matter and characteristics. Soft Matter 2012, 8, 11961–11978. [Google Scholar] [CrossRef]
- Bunoiu, M.; Bica, I. Magnetorheological elastomer based on silicone rubber, carbonyl iron and Rochelle salt: Effects of alternating electric and static magnetic fields intensities. J. Ind. Eng. Chem. 2016, 37, 312–318. [Google Scholar] [CrossRef]
- Bica, I.; Anitas, E.; Chirigiu, L. Magnetic field intensity effect on plane capacitors based on hybrid magnetorheological elastomers with graphene nanoparticles. J. Ind. Eng. Chem. 2017, 56, 407–412. [Google Scholar] [CrossRef]
- Bica, I.; Anitas, E.; Chirigiu, L.; Bunoiu, M.; Juganaru, I.; Tatu, R.F. Magnetodielectric effects in hybrid magnetorheological suspensions. J. Ind. Eng. Chem. 2015, 22, 53–62. [Google Scholar] [CrossRef]
- Gavrilovici, A.M.; Anitas, E.; Chirigiu, L.; Bica, I.; Negrutiu, M.L. Magnetodielectric Effects in Magnetorheological Elastomers Based on Polymer Fabric, Silicone Rubber, and Magnetorheological Suspension. Adv. Polym. Technol. 2019, 2019, 1983547. [Google Scholar] [CrossRef]
- Bica, I.; Anitas, E. Magnetodielectric effects in hybrid magnetorheological suspensions based on beekeeping products. J. Ind. Eng. Chem. 2019, 77, 385–392. [Google Scholar] [CrossRef]
- Semisalova, A.S.; Perov, N.S.; Stepanov, G.V.; Kramarenko, E.Y.; Khokhlov, A.R. Strong magnetodielectric effects in magnetorheological elastomers. Soft Matter 2013, 9, 11318–11324. [Google Scholar] [CrossRef]









| Li | ||||||
|---|---|---|---|---|---|---|
| 1.00 | 4.00 | 0.00 | 20 | 80 | 0 | |
| 1.00 | 3.90 | 0.10 | 20 | 78 | 2 | |
| 1.00 | 3.80 | 0.20 | 20 | 76 | 4 | |
| 1.00 | 3.70 | 0.30 | 20 | 74 | 6 |
| Sample | ||||
|---|---|---|---|---|
| hMAC | 16 | 20 | 64 | 0 |
| hEMAC1 | 16 | 20 | 62.4 | 1.6 |
| hEMAC2 | 16 | 20 | 60.8 | 3.2 |
| hEMAC3 | 16 | 20 | 59.2 | 4.8 |
© 2020 by the authors. Licensee MDPI, Basel, Switzerland. This article is an open access article distributed under the terms and conditions of the Creative Commons Attribution (CC BY) license (http://creativecommons.org/licenses/by/4.0/).
Share and Cite
Bica, I.; Anitas, E.M. Graphene Platelets-Based Magnetoactive Materials with Tunable Magnetoelectric and Magnetodielectric Properties. Nanomaterials 2020, 10, 1783. https://doi.org/10.3390/nano10091783
Bica I, Anitas EM. Graphene Platelets-Based Magnetoactive Materials with Tunable Magnetoelectric and Magnetodielectric Properties. Nanomaterials. 2020; 10(9):1783. https://doi.org/10.3390/nano10091783
Chicago/Turabian StyleBica, Ioan, and Eugen Mircea Anitas. 2020. "Graphene Platelets-Based Magnetoactive Materials with Tunable Magnetoelectric and Magnetodielectric Properties" Nanomaterials 10, no. 9: 1783. https://doi.org/10.3390/nano10091783
APA StyleBica, I., & Anitas, E. M. (2020). Graphene Platelets-Based Magnetoactive Materials with Tunable Magnetoelectric and Magnetodielectric Properties. Nanomaterials, 10(9), 1783. https://doi.org/10.3390/nano10091783

