Room Temperature Magnetic Memory Effect in Cluster-Glassy Fe-Doped NiO Nanoparticles
Abstract
1. Introduction
2. Materials and Methods
3. Results
3.1. Morphological and Elemental Analysis
3.2. Structural Properties
3.3. Exchange Bias
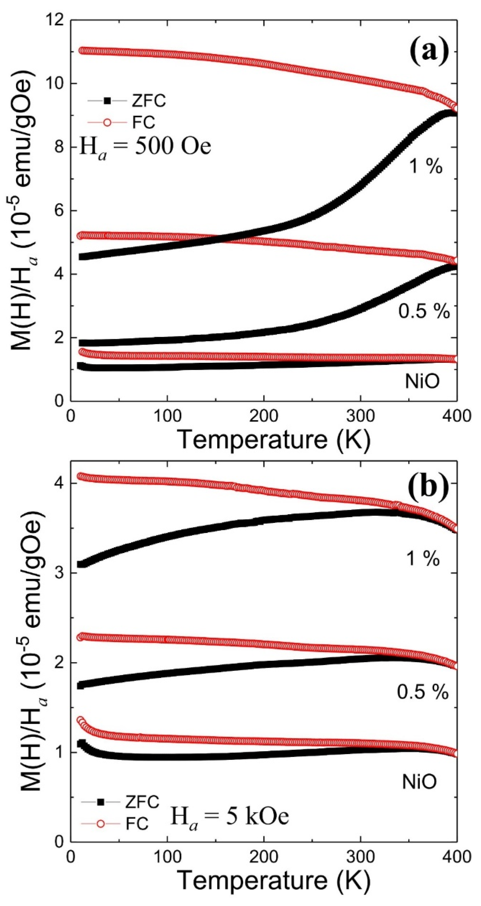
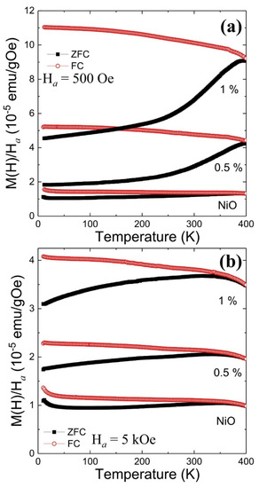
3.4. Temperature Dependence of Magnetization
3.5. Time Dependence of Magnetization
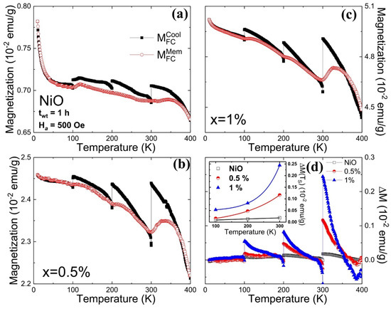
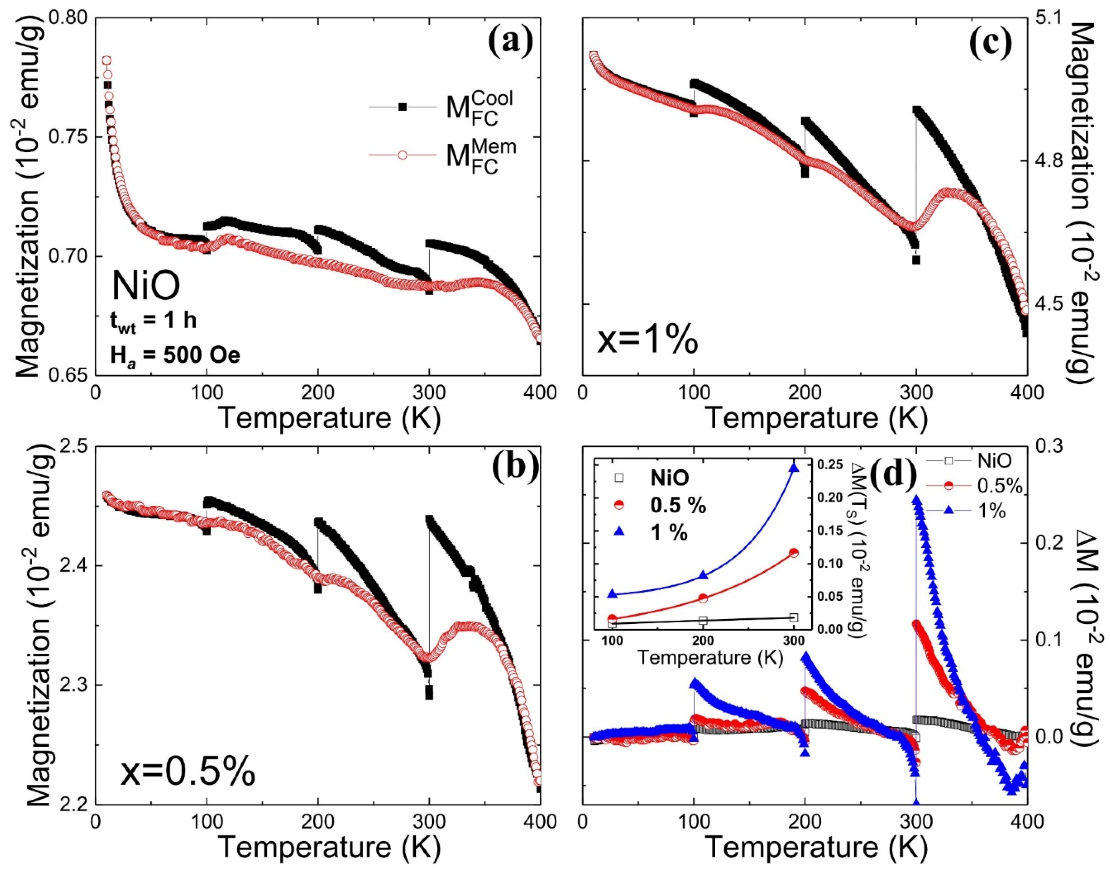
3.6. Magnetic Memory Effect
4. Discussion and Conclusions
Supplementary Materials
Author Contributions
Funding
Conflicts of Interest
References
- Kodama, R.H.; Makhlouf, S.A.; Berkowitz, A.E. Finite Size Effects in Antiferromagnetic NiO Nanoparticles. Phys. Rev. Lett. 1997, 79, 1393–1396. [Google Scholar] [CrossRef]
- Gandhi, A.C.; Wu, S.Y. Strong Deep-Level-Emission Photoluminescence in NiO Nanoparticles. Nanomaterials 2017, 7, 231. [Google Scholar] [CrossRef] [PubMed]
- Gandhi, A.C.; Pant, J.; Wu, S.Y. Dense inter-particle interaction mediated spontaneous exchange bias in NiO nanoparticles. RSC Adv. 2016, 6, 2079–2086. [Google Scholar] [CrossRef]
- Mandal, S.; Banerjee, S.; Menon, K.S.R. Core-shell model of the vacancy concentration and magnetic behaviour for antiferromagnetic nanoparticle. Phys. Rev. B 2009, 80, 214420. [Google Scholar] [CrossRef]
- Gandhi, A.C.; Pant, J.; Pandit, S.D.; Dalimbkar, S.K.; Chan, T.S.; Cheng, C.L.; Ma, Y.R.; Wu, S.Y. Short-Range Magnon Excitation in NiO Nanoparticles. J. Phys. Chem. C 2013, 117, 18666–18674. [Google Scholar] [CrossRef]
- Rinaldi-Montes, N.; Gorria, P.; Martínez-Blanco, D.; Fuertes, A.B.; Fernández Barquín, L.; Rodríguez Fernández, J.; de Pedro, I.; Fdez-Gubieda, M.L.; Alonso, J.; Olivi, L.; et al. Interplay between microstructure and magnetism in NiO nanoparticles: Breakdown of the antiferromagnetic order. Nanoscale 2014, 6, 457–465. [Google Scholar] [CrossRef]
- Tiwari, S.D.; Rajeev, K.P. Signatures of spin-glass freezing in NiO nanoparticles. Phys. Rev. B 2005, 72, 104433. [Google Scholar] [CrossRef]
- Lee, D.U.; Fu, J.; Park, M.G.; Liu, H.; Kashkooli, A.G.; Chen, Z. Self-Assembled NiO/Ni(OH)2 Nanoflakes as Active Material for High-Power and High-Energy Hybrid Rechargeable Battery. Nano Lett. 2016, 16, 1794–1802. [Google Scholar] [CrossRef]
- Rinaldi-Montes, N.; Gorria, P.; Martínez-Blanco, D.; Fuertes, A.B.; Puente-Orench, I.; Olivi, L.; Blanco, J.A. Size effects on the Néel temperature of antiferromagnetic NiO nanoparticles. AIP Adv. 2016, 6, 056104. [Google Scholar] [CrossRef]
- Oka, K.; Yanagida, T.; Nagashima, K.; Kawai, T.; Kim, J.S.; Park, B.H. Resistive-Switching Memory Effects of NiO Nanowire/Metal Junctions. J. Am. Chem. Soc. 2010, 132, 6634–6635. [Google Scholar] [CrossRef]
- Sasaki, T.; Devred, F.; Eloy, P.; Gaigneaux, E.M.; Hara, T.; Shimazu, S.; Ichikuni, N. Development of supported NiO nanocluster for aerobic oxidation of 1-Phenylethanol and elucidation of reaction mechanism via X-ray analysis. Bull. Chem. Soc. Jpn. 2009, 92, 840–846. [Google Scholar] [CrossRef]
- Ouyang, Y.; Huang, R.; Xia, X.; Ye, H.; Jiao, X.; Wang, L.; Lei, W.; Hao, Q. Hierarchical structure electrodes of NiO ultrathin nanosheets anchored to NiCo2O4 on carbon cloth with excellent cycle stability for asymmetric supercapacitors. Chem. Eng. 2018, 355, 416–427. [Google Scholar] [CrossRef]
- Wang, J.; Cai, J.; Lin, Y.-H.; Nan, C.-W. Room-temperature ferromagnetism observed in Fe-doped NiO. Appl. Phys. Lett. 2005, 87, 202501. [Google Scholar] [CrossRef]
- Shim, J.H.; Hwang, T.; Lee, S.; Park, J.H.; Han, S.J.; Jeong, Y.H. Origin of ferromagnetism in Fe- and Cu-codoped ZnO. Appl. Phys. Lett. 2005, 86, 082503. [Google Scholar] [CrossRef]
- Lee, H.-J.; Jeong, S.-Y.; Cho, C.R.; Park, C.H. Study of diluted magnetic semiconductor: Co-doped ZnO. Appl. Phys. Lett. 2002, 81, 4020–4022. [Google Scholar] [CrossRef]
- Gandhi, A.C.; Pradeep, R.; Yeh, Y.C.; Li, T.Y.; Wang, C.Y.; Hayakawa, Y.; Wu, S.Y. Understanding the Magnetic Memory Effect in Fe-Doped NiO Nanoparticles for the Development of Spintronic Devices. ACS Appl. Nano Mater. 2019, 2, 278–290. [Google Scholar] [CrossRef]
- Moura, K.O.; Lima, R.J.S.; Coelho, A.A.; Souza-Junior, E.A.; Duque, J.G.S.; Meneses, C.T. Tuning the surface anisotropy in Fe-doped NiO nanoparticles. Nanoscale 2014, 6, 352–357. [Google Scholar] [CrossRef]
- Kurokawa, A.; Sakai, N.; Zhu, L.; Takeuchi, H.; Yano, S.; Yanoh, T.; Onuma, K.; Kondo, T.; Miike, K.; Miyasaka, T.; et al. Magnetic properties of Fe-doped NiO nanoparticles. J. Korean Phys. Soc. 2013, 63, 716. [Google Scholar] [CrossRef]
- Mishra, A.K.; Bandyopadhyay, S.; Das, D. Structural and magnetic properties of pristine and Fe-doped NiO nanoparticles synthesized by the co-precipitation method. Mater. Res. Bull. 2012, 47, 2288–2293. [Google Scholar] [CrossRef]
- Mallick, P.; Rath, C.; Biswal, R.; Mishra, N.C. Structural and magnetic properties of Fe doped NiO. Indian J. Phys. 2009, 83, 517–523. [Google Scholar] [CrossRef]
- Manna, S.; Deb, A.K.; Jagannath, J.; De, S.K. Synthesis and Room Temperature Ferromagnetism in Fe Doped NiO Nanorods. J. Phys. Chem. C 2008, 112, 10659–10662. [Google Scholar] [CrossRef]
- He, J.H.; Yuan, S.L.; Yin, Y.S.; Tian, Z.M.; Li, P.; Wang, Y.Q.; Liu, K.L.; Wang, C.H. Exchange bias and the origin of room-temperature ferromagnetism in Fe-doped NiO bulk samples. J. Appl. Phys. 2008, 103, 023906. [Google Scholar] [CrossRef]
- Grimes, R.W.; Anderson, A.B.; Heuer, A.H. Interaction of dopant cations with 4:1 defect clusters in non-stoichiometric 3d transition metal monoxides: A theoretical study. J. Phys. Chem. Solids 1987, 48, 45–50. [Google Scholar] [CrossRef]
- Krafft, K.N.; Martin, M. A Thermogravimetric Study of the Non-Stoichiometry of Iron-Doped Nickel Oxide (Ni1−xFex)1−δO. Korean J. Ceram. 1998, 4, 156–161. [Google Scholar]
- Hoser, A.; Martin, M.; Schweika, W.; Carlsson, A.E.; Caudron, R.; Pyka, N. Diffuse neutron scattering of iron-doped nickel oxide. Solid State Ion. 1994, 72, 72–75. [Google Scholar] [CrossRef]
- Haaß, F.; Buhrmester, T.; Martin, M. High-temperature in situ X-ray absorption studies on the iron valence in iron-doped nickel oxide (Ni1−xFex)1−δO. Solid State Ion. 2001, 141, 289–293. [Google Scholar] [CrossRef]
- Haaß, F.; Buhrmester, T.; Martin, M. Quantitative elaboration of the defect structure of iron doped nickel oxide (Ni0.955Fe0.045)1−δO by in situ X-ray absorption spectroscopy. Phys. Chem. Chem. Phys. 2001, 3, 4806–4810. [Google Scholar]
- Gandhi, A.C.; Chan, T.S.; Pant, J.; Wu, S.Y. Strong Pinned-Spin-Mediated Memory Effect in NiO Nanoparticles. Nanoscale Res. Lett. 2017, 12, 1–8. [Google Scholar]
- Bisht, V.; Rajeev, K.P. Memory and aging effects in NiO nanoparticles. J. Phys. Condens. Matt. 2009, 22, 016003. [Google Scholar] [CrossRef]
- Xu, L.; Gao, Y.; Malik, A.; Liu, Y.; Gong, G.; Wang, Y.; Tian, Z.; Yuan, S. Field pulse induced magnetic memory effect at room temperature in exchange coupled NiFe2O4/NiO nanocomposites. J. Mag. Mag. Mater. 2019, 469, 504–509. [Google Scholar] [CrossRef]
- Chakraverty, S.; Ghosh, B.; Kumar, S.; Frydman, A. Magnetic coding in systems of nanomagnetic particles. Appl. Phys. Lett. 2006, 88, 042501. [Google Scholar] [CrossRef]
- Tsoi, G.M.; Senaratne, U.; Tackett, R.J.; Buc, E.C.; Naik, R. Memory effects and magnetic interactions in a γ-Fe2O3 nanoparticle system. J. Appl. Phys. 2005, 97, 10J507. [Google Scholar] [CrossRef]
- Tian, Z.; Xu, L.; Gao, Y.; Yuan, S.; Xia, Z. Magnetic memory effect at room temperature in exchange coupled NiFe2O4-NiO nanogranular system. Appl. Phys. Lett. 2017, 111, 182406. [Google Scholar] [CrossRef]
- Dhara, S.; Chowdhury, R.R.; Bandyopadhyay, B. Strong memory effect at room temperature in nanostructured granular alloy Co0.3Cu0.7. RSC Adv. 2015, 5, 95695–95702. [Google Scholar] [CrossRef]
- Balagurov, A.M.; Bobrikov, I.A.; Sumnikov, S.V.; Yushankhai, V.Y.; Grabis, J.; Kuzmin, A.; Mironova-Ulmane, N.; Sildos, I. Neutron diffraction study of microstructural and magnetic effects in fine particle NiO powders. Phys. Status Solidi 2016, 253, 1529–1536. [Google Scholar] [CrossRef]
- Brok, E.; Lefmann, K.; Deen, P.P.; Lebech, B.; Jacobsen, H.; Nilsen, G.J.; Keller, L.; Frandsen, C. Polarized neutron powder diffraction studies of antiferromagnetic order in bulk and nanoparticle NiO. Phys. Rev. B 2015, 91, 014431. [Google Scholar] [CrossRef]
- Roth, W.L. Magnetic Structures of MnO, FeO, CoO, and NiO. Phys. Rev. 1958, 110, 1333–1341. [Google Scholar] [CrossRef]
- Lisa, T.; Matthew, G.T.; David, A.K.; Peter, M.M.T.; Paul, J.S.; Andrew, L.G. Exploration of antiferromagnetic CoO and NiO using reverse Monte Carlo total neutron scattering refinements. Phys. Scr. 2016, 91, 114004. [Google Scholar]
- Rinaldi-Montes, N.; Gorria, P.; Martínez-Blanco, D.; Fuertes, A.B.; Fernández Barquín, L.; Rodríguez Fernández, J.; de Pedro, I.; Fdez-Gubieda, M.L.; Alonso, J.; Olivi, L.; et al. On the exchange bias effect in NiO nanoparticles with a core(antiferromagnetic)/shell (spin glass) morphology. J. Phys. Conf. Ser. 2015, 663, 012001. [Google Scholar] [CrossRef]
- Cooper, J.F.K.; Ionescu, A.; Langford, R.M.; Ziebeck, K.R.A.; Barnes, C.H.W.; Gruar, R.; Tighe, C.; Darr, J.A.; Thanh, N.T.K.; Ouladdiaf, B. Core/shell magnetism in NiO nanoparticles. J. Appl. Phys. 2013, 114, 083906. [Google Scholar] [CrossRef]
- Magnan, H.; Bezencenet, O.; Stanescu, D.; Belkhou, R.; Barbier, A. Beyond the magnetic domain matching in magnetic exchange coupling. Phys. Rev. Lett. 2010, 105, 097204. [Google Scholar] [CrossRef]
- Nogués, J.; Sort, J.; Langlais, V.; Skumryev, V.; Suriñach, S.; Muñoz, J.S.; Baró, M.D. Exchange bias in nanostructures. Phys. Rep. 2005, 422, 65–117. [Google Scholar] [CrossRef]
- Kondoh, H. Antiferromagnetic resonance in NiO in far-infrared region. J. Phys. Soc. Jpn. 1960, 15, 1970–1975. [Google Scholar] [CrossRef]
- Perzanowski, M.; Marszalek, M.; Zarzycki, A.; Krupinski, M.; Dziedzic, A.; Zabila, Y. Influence of Superparamagnetism on Exchange Anisotropy at CoO/[Co/Pd] Interfaces. ACS Appl. Mater. Interfaces 2016, 8, 28159–28165. [Google Scholar] [CrossRef] [PubMed]
- Chen, X.; Bedanta, S.; Petracic, O.; Kleemann, W.; Sahoo, S.; Cardoso, S.; Freitas, P.P. Superparamagnetism versus superspin glass behaviour in dilute magnetic nanoparticle systems. Phys. Rev. B 2005, 72, 214436. [Google Scholar] [CrossRef]
- Khan, N.; Mandal, P.; Prabhakaran, D. Memory effects and magnetic relaxation in single-crystalline La0.9Sr0.1CoO3. Phys. Rev. B 2014, 90, 024421. [Google Scholar] [CrossRef]
- Sun, Y.; Salamon, M.B.; Garnier, K.; Averback, R.S. Memory effects in an interacting magnetic nanoparticle system. Phys. Rev. Lett. 2003, 91, 167206. [Google Scholar] [CrossRef]
- Sasaki, M.; Jönsson, P.E.; Takayama, H.; Mamiya, H. Aging and memory effects in superparamagnets and superspin glasses. Phys. Rev. B 2005, 71, 104405. [Google Scholar] [CrossRef]
- Bandyopadhyay, M.; Dattagupta, S. Memory in nanomagnetic systems: Superparamagnetism versus spin-glass behaviour. Phys. Rev. B 2006, 74, 214410. [Google Scholar] [CrossRef]
- Parisi, G. Infinite number of order parameters for spin-glasses. Phys. Rev. Lett. 1979, 43, 1754–1756. [Google Scholar] [CrossRef]
- Parisi, G. Order Parameter for Spin-Glasses. Phys. Rev. Lett. 1983, 50, 1946–1948. [Google Scholar] [CrossRef]








© 2020 by the authors. Licensee MDPI, Basel, Switzerland. This article is an open access article distributed under the terms and conditions of the Creative Commons Attribution (CC BY) license (http://creativecommons.org/licenses/by/4.0/).
Share and Cite
Gandhi, A.C.; Li, T.-Y.; Kumar, B.V.; Reddy, P.M.; Peng, J.-C.; Wu, C.-M.; Wu, S.Y. Room Temperature Magnetic Memory Effect in Cluster-Glassy Fe-Doped NiO Nanoparticles. Nanomaterials 2020, 10, 1318. https://doi.org/10.3390/nano10071318
Gandhi AC, Li T-Y, Kumar BV, Reddy PM, Peng J-C, Wu C-M, Wu SY. Room Temperature Magnetic Memory Effect in Cluster-Glassy Fe-Doped NiO Nanoparticles. Nanomaterials. 2020; 10(7):1318. https://doi.org/10.3390/nano10071318
Chicago/Turabian StyleGandhi, Ashish Chhaganlal, Tai-Yue Li, B. Vijaya Kumar, P. Muralidhar Reddy, Jen-Chih Peng, Chun-Ming Wu, and Sheng Yun Wu. 2020. "Room Temperature Magnetic Memory Effect in Cluster-Glassy Fe-Doped NiO Nanoparticles" Nanomaterials 10, no. 7: 1318. https://doi.org/10.3390/nano10071318
APA StyleGandhi, A. C., Li, T.-Y., Kumar, B. V., Reddy, P. M., Peng, J.-C., Wu, C.-M., & Wu, S. Y. (2020). Room Temperature Magnetic Memory Effect in Cluster-Glassy Fe-Doped NiO Nanoparticles. Nanomaterials, 10(7), 1318. https://doi.org/10.3390/nano10071318

