Functional Sr0.5Ba0.5Sm0.02Fe11.98O4/x(Ni0.8Zn0.2Fe2O4) Hard–Soft Ferrite Nanocomposites: Structure, Magnetic and Microwave Properties
Abstract
1. Introduction
2. Materials and Methods
3. Results and Discussion
3.1. Microstructure
3.2. FESEM and TEM Analysis
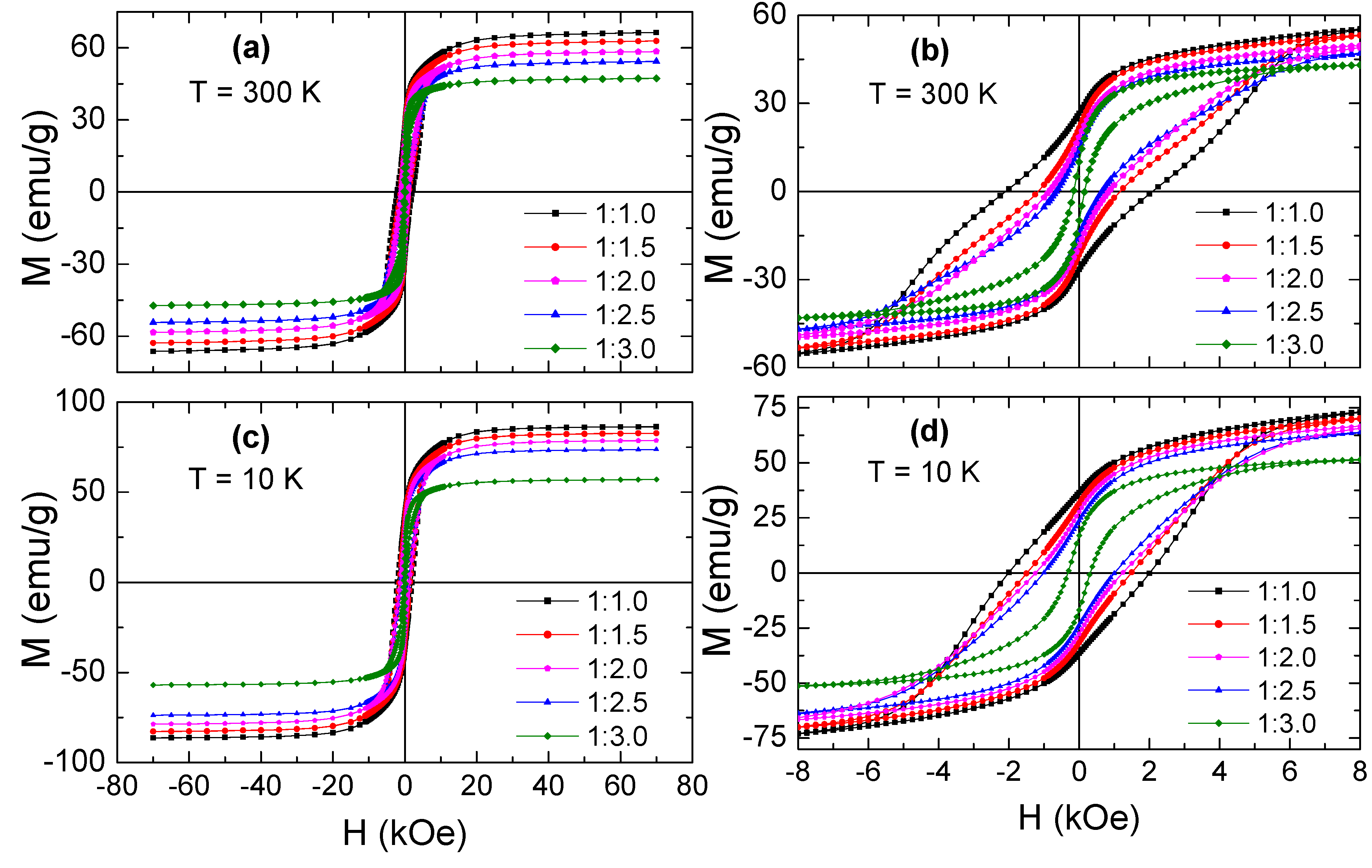
3.3. VSM Investigation
3.4. Microwave Properties
4. Conclusions
Author Contributions
Funding
Acknowledgments
Conflicts of Interest
References
- Kozlovskiy, A.L.; Zdorovets, M.V. The study of the structural characteristics and catalytic activity of Co/CoCo2O4 nanowires. Compos. Part B Eng. 2020, 191, 107968. [Google Scholar] [CrossRef]
- Kozlovskiy, A.L.; Kenzhina, I.E.; Zdorovets, M.V. FeCo–Fe2CoO4/Co3O4 nanocomposites: Phase transformations as a result of thermal annealing and practical application in catalysis. Ceram. Int. 2020, 46, 10262–10269. [Google Scholar] [CrossRef]
- Dukenbayev, K.; Korolkov, I.V.; Tishkevich, D.I.; Kozlovskiy, A.L.; Trukhanov, S.V.; Gorin, Y.G.; Shumskaya, E.E.; Kaniukov, E.Y.; Vinnik, D.A.; Zdorovets, M.V.; et al. Fe3O4 Nanoparticles for Complex Targeted Delivery and Boron Neutron Capture Therapy. Nanomaterials 2019, 9, 494. [Google Scholar] [CrossRef] [PubMed]
- Pathania, A.; Thakur, P.; Trukhanov, A.V.; Trukhanov, S.V.; Panina, L.V.; Lüders, U.; Thakur, A.; Tomar, M.; Gupta, V. Development of tungsten doped Ni-Zn nano-ferrites with fast response and recovery time for hydrogen gas sensing application. Results Phys. 2019, 15, 102531. [Google Scholar] [CrossRef]
- Venturini, J.; Tonelli, A.M.; Wermuth, T.B.; Zampiva, R.Y.S.; Arcaro, S.; Da Cas Viegas, A.; Bergmann, C.P. Excess of cations in the sol-gel synthesis of cobalt ferrite (CoFe2O4): A pathway to switching the inversion degree of spinels. J. Magn. Magn. Mater. 2019, 482, 1–8. [Google Scholar] [CrossRef]
- Meng, X.F.; Hana, Q.X.; Sun, Y.J.; Liu, Y.F. Synthesis and microwave absorption properties of Ni0.5Zn0.5Fe2O4/BaFe12O19@polyaniline composite. Ceram. Int. 2019, 45, 2504–2508. [Google Scholar] [CrossRef]
- Almessiere, M.A.; Trukhanov, A.V.; Slimani, Y.; You, K.Y.; Trukhanov, S.V.; Trukhanova, E.L.; Esa, F.; Sadaqat, A.; Chaudhary, K.; Zdorovets, M.; et al. Correlation between composition and electrodynamics properties in nanocomposites based on hard/soft ferrimagnetics with strong exchange coupling. Nanomaterials 2019, 9, 202. [Google Scholar] [CrossRef]
- Xu, Y.F.; Man, Y.Q.; Xu, S.T.; Zan, F.L.; Zheng, G.H.; Dai, Z.X. Obtainment of exchange coupling coefficient of Ni0.6Zn0.4Fe2O4/SrFe12O19 composites. Mater. Lett. 2014, 131, 203–205. [Google Scholar] [CrossRef]
- Kneller, E.F.; Hawig, R. The exchange-spring magnet: A new material principle for permanent magnets. IEEE Trans. Magn. 1991, 27, 3560–3588. [Google Scholar] [CrossRef]
- Dong, J.; Zhang, Y.; Zhang, X.L.; Liu, Q.F.; Wang, J.B. Improved magnetic properties of SrFe12O19/FeCo core–shell nanofibers by hard/soft magnetic exchange–coupling effect. Mater. Lett. 2014, 120, 9–12. [Google Scholar] [CrossRef]
- Song, F.Z.; Shen, X.Q.; Liu, M.Q.; Xiang, J. Magnetic hard/soft nanocomposite ferrite aligned hollow microfibers and remanence enhancement. J. Colloid. Interface Sci. 2011, 354, 413–416. [Google Scholar] [CrossRef] [PubMed]
- Yang, H.B.; Lin, M.Y.; Dong, G.Q.; Hu, L.Y.; Zhang, Y.; Tan, J.Y. Enhanced remanence and (BH)max of BaFe12O19/CoFe2O4 composite ceramics prepared by the microwave sintering method. Mater. Chem. Phys. 2015, 160, 5–11. [Google Scholar] [CrossRef]
- Yang, H.B.; Liu, M.; Lin, Y.; Yang, Y.Y. Controlled growth of epitaxial wurtzite BeMgZnO alloy films and two microscopic origins of Be–Mg mutual stabilizing mechanism. J. Alloys Compd. 2015, 631, 335–339. [Google Scholar] [CrossRef]
- Kwon, H.W.; Jeong, I.C.; Kim, A.S.; Kim, D.H.; Namkung, S.; Jang, T.S.; Lee, D.H. Restoration of coercivity in crushed Nd–Fe–B magnetic powder. J. Magn. Magn. Mater. 2006, 304, e219–e221. [Google Scholar] [CrossRef]
- Liu, J.P.; Liu, Y.; Skomaski, R.; Sellmyer, D.J. Magnetic hardening in SmCox–Co multilayers and nanocomposites. J. Appl. Phys. 1999, 85, 4812–4814. [Google Scholar] [CrossRef]
- Goll, D.; Seeger, M.; Kronmuller, H. Magnetic and microstructural properties of nano crystalline exchange coupled PrFeB permanent magnets. J. Magn. Magn. Mater. 1998, 185, 49–60. [Google Scholar] [CrossRef]
- Jiang, J.S.; Pearson, J.E.; Liu, Z.Y.; Kabius, B.; Trasobares, S.; Miller, D.J.; Bader, S.D.; Lee, D.R.; Haskel, D.; Srajer, G.; et al. A new approach for improving exchange-spring magnets. J. Appl. Phys. 2005, 97, 10K311. [Google Scholar] [CrossRef]
- Xia, J.Y.; Ning, Y.; Luo, Y.H.; Chen, W.; Wu, X.H.; Wu, W.W.; Li, Q.Z.; Li, K.T. Structural and magnetic properties of soft/hard NiFe2O4@SrCo0.2Fe11.8O19 core/shell composite prepared by the ball-milling-assisted ceramic process. J. Mater. Sci. Mater. Electron. 2018, 29, 13903–13913. [Google Scholar] [CrossRef]
- Xia, J.Y.; Shen, Y.L.; Xiao, C.Y.; Chen, W.; Wu, X.H.; Wu, W.W.; Wang, Q.S.; Li, J.T. Structural and Magnetic Properties of Soft/Hard Mn0.6Zn0.4Fe2O4@Sr0.85Ba0.15Fe12O19 Core/Shell Composite Synthesized by the Ball-Milling-Assisted Ceramic Proces. J. Electron. Mater. 2018, 47, 6811–6820. [Google Scholar] [CrossRef]
- Trukhanov, A.V.; Algarou, N.A.; Slimani, Y.; Almessiere, M.A.; Baykal, A.; Tishkevich, D.I.; Vinnik, D.A.; Vakhitov, M.G.; Klygach, D.S.; Silibin, M.V.; et al. Peculiarities of the microwave properties of hard-soft functional composites SrTb0.01Tm0.01Fe11.98O19-AFe2O4 (A = Co, Ni, Zn, Cu and Mn). RSC Adv. 2020, 10, 32638–32651. [Google Scholar] [CrossRef]
- Harikrishnan, V.; Vizhi, R.E. A study on the extent of exchange coupling between (Ba0.5Sr0.5Fe12O19)1−x(CoFe2O4)x magnetic nanocomposites synthesized by solgel combustion method. J. Magn. Magn. Mater. 2016, 418, 217–223. [Google Scholar] [CrossRef]
- Radmanesh, M.; Ebrahimi, S.S. Synthesis and magnetic properties of hard/soft SrFe12O19/Ni0.7Zn0.3Fe2O4 nanocomposite magnets. J. Magn. Magn. Mater. 2012, 324, 3094–3098. [Google Scholar] [CrossRef]
- Chen, W.; Xiao, C.Y.; Huang, C.; Wu, X.H.; Wu, W.W.; Wang, Q.S.; Li, J.T.; Zhou, K.W.; Huang, Y.F. Exchange-coupling behavior in soft/hard Li0.3Co0.5Zn0.2Fe2O4/SrFe12O19 core/shell composite synthesized by the two-step ball-milling-assisted ceramic process. Mater. Sci. Mater. Electron. 2019, 30, 1579–1590. [Google Scholar] [CrossRef]
- Feng, W.; Liu, H.; Hui, P.; Yang, H.; Li, J.; Wang, J.S. Preparation and Properties of SrFe12O19/ZnFe2O4 Core/Shell Nano-powder Microwave Absorber. Integr. Ferroelectr. 2014, 152, 120–126. [Google Scholar] [CrossRef]
- Li, D.; Wang, F.; Xia, A. A facile way to realize exchange-coupling interaction in hard/soft magnetic composites. J. Magn. Magn. Mater. 2016, 41, 355–358. [Google Scholar] [CrossRef]
- Meng, X.F.; Zhu, Y.J.; Xu, S.; Liu, T. Facile synthesis of shell–core polyaniline/SrFe12O19 composites and magnetic properties. RSC Adv. 2016, 6, 4946–4949. [Google Scholar] [CrossRef]
- Bader, S. Colloquium: Opportunities in nano magnetism. Rev. Mod. Phys. 2006, 78, 1. [Google Scholar] [CrossRef]
- Algarou, N.A.; Slimani, Y.; Almessiere, M.A.; Alahmari, F.S.; Vakhitov, M.G.; Klygach, D.S.; Trukhanov, S.V.; Trukhanov, A.V.; Baykal, A. Magnetic and microwave properties of SrFe12O19/MCe0.04Fe1.96O4 (M =Cu, Ni, Mn, Co and Zn) hard/soft nanocomposites. J. Mat. Res. Tech. 2020, 9, 5858–5870. [Google Scholar] [CrossRef]
- Algarou, N.A.; Slimani, Y.; Almessiere, M.A.; Rehman, S.; Younas, M.; Unal, B.; Demir Korkmaz, A.; Gondal, M.A.; Trukhanov, A.V.; Baykal, A.; et al. Developing the magnetic, dielectric and anticandidal characteristics of SrFe12O19/(Mg0.5Cd0.5Dy0.03Fe1.97O4)x hard/soft ferrite nanocomposites. J. Taiwan Inst. Chem. Eng. 2020, 113, 344–362. [Google Scholar] [CrossRef]
- Lewis, L.H.; Jiménez-Villacorta, F. Perspectives on permanent magnetic materials for energy conversion and power generation. Metall. Mater. Trans. A 2013, 44, 2–20. [Google Scholar] [CrossRef]
- Hazra, S.; Ghosh, N. Preparation of nano ferrites and their applications. J. Nanosci. Nanotechnol. 2014, 14, 1983–2000. [Google Scholar] [CrossRef]
- Pardavi-Horvath, M. Microwave applications of soft ferrites. J. Magn. Magn. Mater. 2000, 215, 171–183. [Google Scholar] [CrossRef]
- Harris, V.G. Modern microwave ferrites. IEEE Trans. Magn. 2012, 48, 31075–31104. [Google Scholar] [CrossRef]
- Mehdipour, M.; Sholrollahi, H. Comparison of microwave absorption properties of SrFe12O19, SrFe12O19/NiFe2O4 and NiFe2O4 particles. J. Appl. Phys. 2013, 113, 043906. [Google Scholar] [CrossRef]
- Hilczer, A.; Kowalska, K.; Markiewicz, E.; Adam, P. Dielectric and magnetic response of SrFe12O19-CoFe2O4 composites obtained by solid state reaction. Mater. Sci. Eng. 2016, 207, 47–55. [Google Scholar] [CrossRef]
- Meng, X.F.; Hana, Q.X.; Sun, Y.J.; Liu, Y.F. Enhancements of saturation magnetization and coercivity in Ni0.5Zn0.5Fe2O4/SrFe12O19 composite powders by exchange-coupling mechanism. Ceram. Int. 2019, 45, 2504–2508. [Google Scholar] [CrossRef]
- Han, Q.X.; Meng, X.F.; Lu, C.H. Exchange-coupled Ni0.5Zn0.5Fe2O4/SrFe12O19 composites with enhanced microwave absorption performance. J. Alloys Compd. 2018, 768, 742–749. [Google Scholar] [CrossRef]
- Saini, A.; Thakur, A.; Thakur, P. Effective permeability and miniaturization estimation of ferrite-loaded microstrip patch antenna. J. Electron. Mater. 2016, 45, 4162–4170. [Google Scholar] [CrossRef]
- Trukhanov, A.V.; Astapovich, K.A.; Turchenko, V.A.; Almessiere, M.A.; Slimani, Y.; Baykal, A.; Sombra, A.S.B.; Jotania, R.B.; Singh, C.; Zubar, T.I.; et al. Influence of the dysprosium ions on structure, magnetic characteristics and origin of the reflection losses in the Ni-Co spinels. J. Alloys Compd. 2020, 841, 155667. [Google Scholar] [CrossRef]
- Malkin, A.I.; Knyazev, N.C. Experimental set up for the measurements of dielectric permittivity and magnetic permeability in dielectric materials. In Proceedings of the XIV International Conference Physics and Technical Applications of Wave Processes, Samara, Russia, 24–26 November 2016; pp. 223–224. (In Russian). [Google Scholar]
- Torkian, S.; Ghasemi, A.; Razavi, R.S. Magnetic properties of hard-soft SrFe10Al2O19/Co0.8Ni0.2Fe2O4 ferrite synthesized by one-pot sol–gel auto-combustion. J. Magn. Magn. Mater. 2016, 416, 408–416. [Google Scholar] [CrossRef]
- Almessiere, M.A.; Slimani, Y.; Gungunes, H.; Manikandan, A.; Baykal, A. Investigation of the effects of Tm3+ on the structural, microstructural, optical, and magnetic properties of Sr hexaferrites. Results Phys. 2019, 13, 102166. [Google Scholar] [CrossRef]
- Almessiere, M.A.; Slimani, Y.; El Sayed, H.S.; Baykal, A. Morphology and magnetic traits of strontium nanohexaferrites: Effects of manganese/yttrium co-substitution. J. Rare Earths 2019, 37, 732–740. [Google Scholar] [CrossRef]
- Pahwa, C.; Narang, S.B.; Sharma, P. Composition dependent magnetic and microwave properties of exchange-coupled hard/soft nanocomposite ferrite. J. Alloys Compd. 2020, 815, 152391. [Google Scholar] [CrossRef]
- Torkian, S.; Ghasemi, A. Energy product enhancement in sufficiently exchange-coupled nanocomposite ferrites. J. Magn. Magn. Mater. 2019, 469, 119–127. [Google Scholar] [CrossRef]
- Stoner, E.C.; Wohlfarth, E.P. A Mechanism of Magnetic Hysteresis in Heterogeneous Alloys. Philos. Trans. R. Soc. Lond. Ser. A Math. Phys. Sci. 1948, 240, 599–642. [Google Scholar] [CrossRef]
- Almessiere, M.A.; Slimani, Y.; Baykal, A. Impact of Nd-Zn co-substitution on microstructure and magnetic properties of SrFe12O19 nanohexaferrite. Ceram. Int. 2019, 45, 963–969. [Google Scholar] [CrossRef]
- Almessiere, M.A.; Slimani, Y.; El Sayed, H.S.; Baykal, A.; Ercan, I. Microstructural and magnetic investigation of vanadium-substituted Sr-nanohexaferrite. J. Magn. Magn. Mater. 2019, 471, 124–132. [Google Scholar] [CrossRef]
- Algarou, N.A.; Slimani, Y.; Almessiere, M.A.; Baykal, A.; Guner, S.; Manikandan, A.; Ercan, I. Enhancement on the exchange coupling behavior of SrCo0.02Zr0.02Fe11.96O19/MFe2O4 (M = Co, Ni, Cu, Mn and Zn) as hard/soft magnetic nanocomposites. J. Magn. Magn. Mater. 2020, 499, 166308. [Google Scholar] [CrossRef]
- Algarou, N.A.; Slimani, Y.; Almessiere, M.A.; Güner, S.; Baykal, A.; Ercan, I.; Kögerler, P. Exchange-coupling effect in hard/soft SrTb0.01Tm0.01Fe11.98O19/AFe2O4 (where A = Co, Ni, Zn, Cu and Mn) composites. Ceram. Int. 2020, 46, 7089–7098. [Google Scholar] [CrossRef]
- Almessiere, M.A.; Demir Korkmaz, A.; Slimani, Y.; Nawaz, M.; Ali, S.; Baykal, A. Magneto-optical properties of rare earth metals substituted Co-Zn spinel nanoferrites. Ceram. Int. 2019, 45, 3449–3458. [Google Scholar] [CrossRef]
- Almessiere, M.A.; Slimani, Y.; Baykal, A. Exchange spring magnetic behavior of Sr0.3Ba0.4Pb0.3Fe12O19/(CuFe2O4)x nanocomposites fabricated by a one-pot citrate sol-gel combustion method. J. Alloys Compd. 2018, 762, 389–397. [Google Scholar] [CrossRef]
- Almessiere, M.A.; Slimani, Y.; Baykal, A. Structural, morphological and magnetic properties of hard/soft SrFe12−xVxO19/(Ni0.5Mn0.5Fe2O4)y nanocomposites: Effect of vanadium substitution. J. Alloys Compd. 2018, 767, 966–975. [Google Scholar] [CrossRef]
- Algarou, N.A.; Slimani, Y.; Almessiere, M.A.; Baykal, A. Exchange-coupling behavior in SrTb0.01Tm0.01Fe11.98O19/(CoFe2O4)x hard/soft nanocomposites. New. J. Chem. 2020, 44, 5800–5808. [Google Scholar] [CrossRef]












| Nanocomposite | DXRD (nm) | Hard Phase | Soft Phase | ||||
|---|---|---|---|---|---|---|---|
| Soft | Hard | a = b (Å) | c (Å) | Fraction (%) | a = b = c (Å) | Fraction (%) | |
| SrBaSmFe | - | 50.9 | 5.8845 | 23.1037 | 100 | - | - |
| SrBaSmFe/(NiZnFe)1.0 | 21.5 | 48.3 | 5.8868 | 23.0963 | 81.1 | 8.3591 | 18.9 |
| SrBaSmFe/(NiZnFe)1.5 | 26.1 | 37.8 | 5.8878 | 23.1177 | 64.2 | 8.3581 | 35.8 |
| SrBaSmFe/(NiZnFe)2.0 | 27.7 | 55.7 | 5.8948 | 23.1152 | 53.3 | 8.3536 | 46.7 |
| SrBaSmFe/(NiZnFe)2.5 | 30.4 | 49.9 | 5.8950 | 23.1342 | 46.2 | 8.3521 | 53.8 |
| SrBaSmFe/(NiZnFe)3.0 | 50.3 | 82.9 | 5.9002 | 23.0512 | 29.0 | 8.3439 | 71.0 |
| NiZnFe | 44.1 | - | - | - | - | 8.3553 | 100 |
| H:S Ratio | SQR | nB (μB) | ||
|---|---|---|---|---|
| 300 K | 10 K | 300 K | 10 K | |
| 1:1.0 | 0.403 | 0.424 | 8.14 | 12.46 |
| 1:1.5 | 0.345 | 0.382 | 7.15 | 10.99 |
| 1:2.0 | 0.317 | 0.352 | 6.50 | 10.01 |
| 1:2.5 | 0.278 | 0.324 | 6.03 | 9.31 |
| 1:3.0 | 0.214 | 0.298 | 5.68 | 8.79 |
Publisher’s Note: MDPI stays neutral with regard to jurisdictional claims in published maps and institutional affiliations. |
© 2020 by the authors. Licensee MDPI, Basel, Switzerland. This article is an open access article distributed under the terms and conditions of the Creative Commons Attribution (CC BY) license (http://creativecommons.org/licenses/by/4.0/).
Share and Cite
Algarou, N.A.; Slimani, Y.; Almessiere, M.A.; Sadaqat, A.; Trukhanov, A.V.; Gondal, M.A.; Hakeem, A.S.; Trukhanov, S.V.; Vakhitov, M.G.; Klygach, D.S.; et al. Functional Sr0.5Ba0.5Sm0.02Fe11.98O4/x(Ni0.8Zn0.2Fe2O4) Hard–Soft Ferrite Nanocomposites: Structure, Magnetic and Microwave Properties. Nanomaterials 2020, 10, 2134. https://doi.org/10.3390/nano10112134
Algarou NA, Slimani Y, Almessiere MA, Sadaqat A, Trukhanov AV, Gondal MA, Hakeem AS, Trukhanov SV, Vakhitov MG, Klygach DS, et al. Functional Sr0.5Ba0.5Sm0.02Fe11.98O4/x(Ni0.8Zn0.2Fe2O4) Hard–Soft Ferrite Nanocomposites: Structure, Magnetic and Microwave Properties. Nanomaterials. 2020; 10(11):2134. https://doi.org/10.3390/nano10112134
Chicago/Turabian StyleAlgarou, Norah A., Yassine Slimani, Munirah A. Almessiere, Ali Sadaqat, Alex V. Trukhanov, Mohammad A. Gondal, Abbas S. Hakeem, Sergei V. Trukhanov, Maksim G. Vakhitov, Denis S. Klygach, and et al. 2020. "Functional Sr0.5Ba0.5Sm0.02Fe11.98O4/x(Ni0.8Zn0.2Fe2O4) Hard–Soft Ferrite Nanocomposites: Structure, Magnetic and Microwave Properties" Nanomaterials 10, no. 11: 2134. https://doi.org/10.3390/nano10112134
APA StyleAlgarou, N. A., Slimani, Y., Almessiere, M. A., Sadaqat, A., Trukhanov, A. V., Gondal, M. A., Hakeem, A. S., Trukhanov, S. V., Vakhitov, M. G., Klygach, D. S., Manikandan, A., & Baykal, A. (2020). Functional Sr0.5Ba0.5Sm0.02Fe11.98O4/x(Ni0.8Zn0.2Fe2O4) Hard–Soft Ferrite Nanocomposites: Structure, Magnetic and Microwave Properties. Nanomaterials, 10(11), 2134. https://doi.org/10.3390/nano10112134

