Development of an Innovative Soft Piezoresistive Biomaterial Based on the Interconnection of Elastomeric PDMS Networks and Electrically-Conductive PEDOT:PSS Sponges
Abstract
:1. Introduction
2. Materials and Methods
2.1. Materials
2.2. Preparation of Piezoresistive Sponges
2.3. Preparation of Flexible Transducer
2.4. Morphological Analysis
2.5. Water Contact Angle Measurement (WCA)
2.6. Mechanical Tests
2.7. Stability Evaluation
2.8. Determination of Conductivity and Piezoresistive Behaviour
2.9. Evaluation of Cytotoxicity
2.10. Activity against S. aureus and C. albicans Biofilms
3. Results and Discussion
3.1. Distribution of Porosities
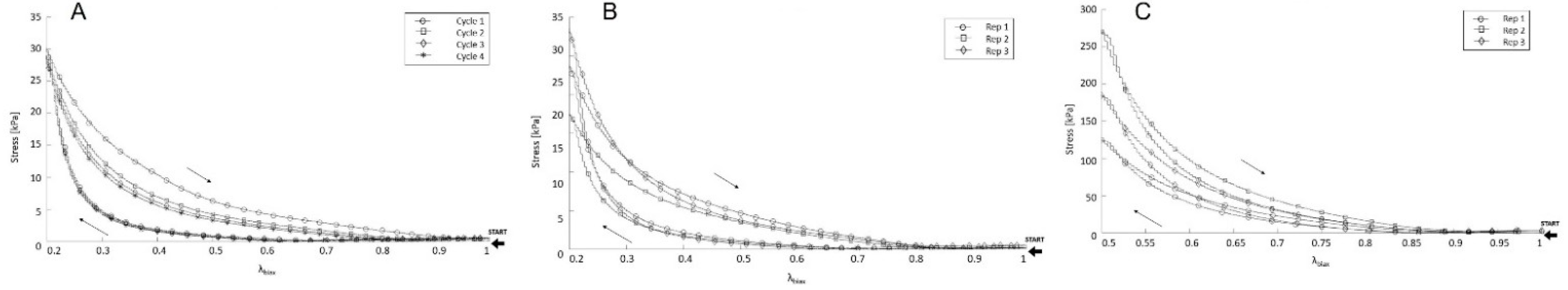
3.2. Stability Evaluation
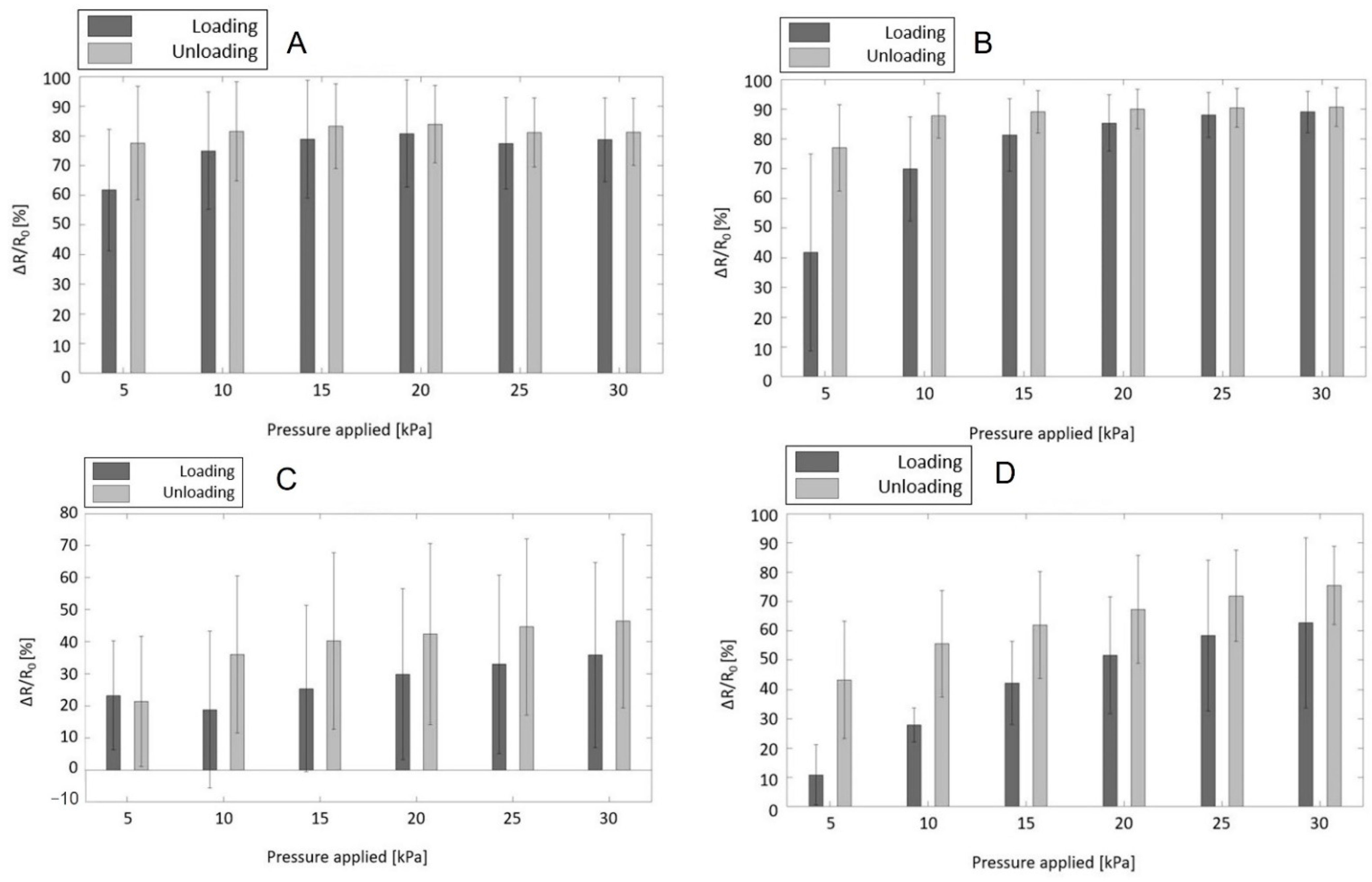
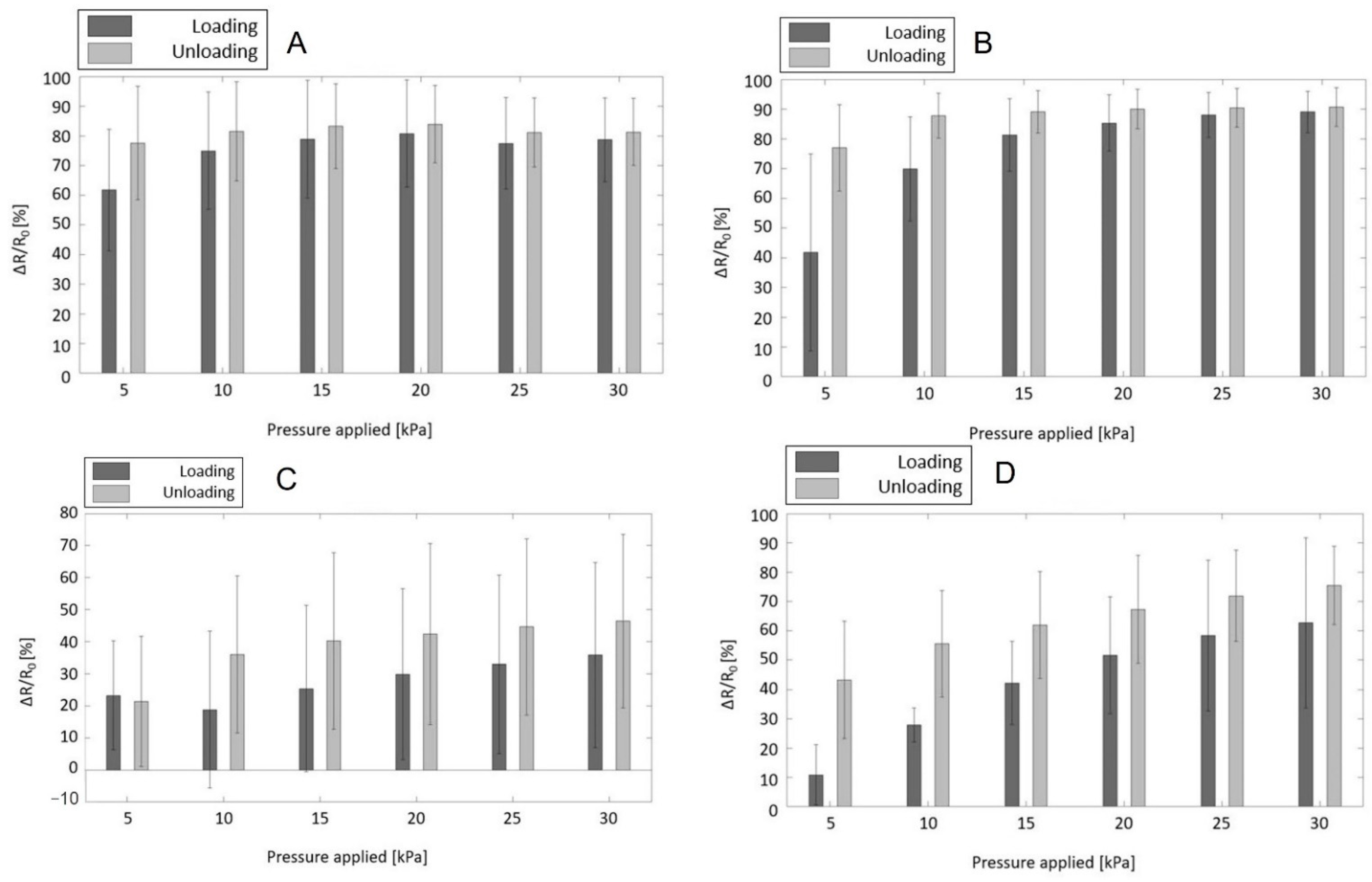
3.3. Electromechanical Characterization under Compression
3.4. Determination of Surface Wettability
3.5. Cytotoxicity Evaluation
3.6. Estimation of Potential Anti-Biofilm Properties
4. Conclusions
Supplementary Materials
Author Contributions
Funding
Institutional Review Board Statement
Informed Consent Statement
Data Availability Statement
Acknowledgments
Conflicts of Interest
References
- Whitesides, G.M. Soft Robotics. Angew. Chem. Int. Ed. 2018, 57, 4258–4273. [Google Scholar] [CrossRef]
- Coyle, S.; Majidi, C.; LeDuc, P.; Hsia, K.J. Bio-inspired soft robotics: Material selection, actuation, and design. Extrem. Mech. Lett. 2018, 22, 51–59. [Google Scholar] [CrossRef]
- Cianchetti, M.; Laschi, C.; Menciassi, A.; Dario, P. Biomedical applications of soft robotics. Nat. Rev. Mater. 2018, 3, 143–153. [Google Scholar] [CrossRef]
- Huang, Y.; Fan, X.Y.; Chen, S.-C.; Zhao, N. Emerging technologies of Flexible Pressure Sensors: Materials, modelling, devices and manufacturing. Adv. Funct. Mater. 2019, 29, 1808509. [Google Scholar] [CrossRef]
- Xiao, H.; Zilu, L.; Fangli, R.; Lin, D.; Chenyu, L.; Chuanling, S. Green and stable piezoresistive pressure sensor based on lignin-silver hybrid nanoparticles/polyvinyl alcohol hydrogel. Int. J. Biol. Macromol. 2021, 176, 78–86. [Google Scholar] [CrossRef]
- Erfkamp, J.; Guenther, M.; Gerlach, G. Enzyme-Functionalized Piezoresistive Hydrogel Biosensors for the Detection of Urea. Sensors 2019, 19, 2858. [Google Scholar] [CrossRef]
- Wang, C.; Hu, K.; Zhao, C.; Zou, Y.; Liu, Y.; Qu, X.; Jiang, D.; Li, Z.; Zhang, M.-R.; Li, Z. Customization of Conductive Elastomer Based on PVA/PEI for Stretchable Sensors. Small 2020, 16, 1904758. [Google Scholar] [CrossRef]
- Li, X.; Li, X.; Liu, T.; Lu, Y.; Shang, C.; Ding, X.; Zhang, J.; Feng, Y.; Xu, F.-J. Wearable, Washable, and Highly Sensitive Piezoresistive Pressure Sensor Based on a 3D Sponge Network for Real-Time Monitoring Human Body Activities. ACS Appl. Mater. Interfaces 2021, 13, 46848–46857. [Google Scholar] [CrossRef]
- Shen, J.; Guo, Y.; Zuo, S.; Shi, F.; Jiang, J.; Chu, J. A bioinspired porous-designed hydrogel@polyurethane sponge piezoresistive sensor for human–machine interfacing. Nanoscale 2021, 13, 19155–19164. [Google Scholar] [CrossRef]
- Khalili, N.; Shen, X.; Naguib, H.E. An interlocked flexible piezoresistive sensor with 3D micropyramidal structures for electronic skin applications. Soft Matter 2018, 14, 6912–6920. [Google Scholar] [CrossRef]
- Chong, H.; Lou, J.; Bogie, K.M.; Zorman, C.A.; Majerus, S.J.A. Vascular Pressure–Flow Measurement Using CB-PDMS Flexible Strain Sensor. IEEE Trans. Biomed. Circuits Syst. 2019, 13, 1451–1461. [Google Scholar] [CrossRef] [PubMed]
- Yao, S.; Shen, J.; Guo, Y.; Zuo, S.; Shi, F.; Jiang, J.; Chu, J. Poly(vinyl alcohol)/phosphoric acid gel electrolyte@polydimethylsiloxane sponge for piezoresistive pressure sensors. J. Mater. Chem. B 2021, 9, 8676–8685. [Google Scholar] [CrossRef]
- Kong, K.T.S.; Mariatti, M.; Rashid, A.A.; Busfield, J.J.C. Enhanced conductivity behavior of polydimethylsiloxane (PDMS) hybrid composites containing exfoliated graphite nanoplatelets and carbon nanotubes. Compos. Part B Eng. 2014, 58, 457–462. [Google Scholar] [CrossRef]
- Jouni, M.; Djurado, D.; Massardier, V.; Boiteux, G. A representative and comprehensive review of the electrical and thermal properties of polymer composites with carbon nanotube and other nanoparticle fillers. Polym. Int. 2017, 66, 1237–1251. [Google Scholar] [CrossRef]
- Choi, S.; Han, S.I.; Kim, D.; Hyeon, T.; Kim, D.-H. High-performance stretchable conductive nanocomposites: Materials, processes, and device applications. Chem. Soc. Rev. 2018, 48, 1566–1595. [Google Scholar] [CrossRef]
- Guo, X.; Huang, Y.; Zhao, Y.; Mao, L.; Gao, L.; Pan, W.; Zhang, Y.; Liu, P. Highly stretchable strain sensor based on SWCNTs/CB synergistic conductive network for wearable human-activity monitoring and recognition. Smart Mater. Struct. 2017, 26, 095017. [Google Scholar] [CrossRef]
- Turgut, A.; Tuhin, M.O.; Toprakci, O.; Pasquinelli, M.A.; Spontak, R.J.; Toprakci, H.A.K. Thermoplastic Elastomer Systems Containing Carbon Nanofibers as Soft Piezoresistive Sensors. ACS Omega 2018, 3, 12648–12657. [Google Scholar] [CrossRef] [PubMed]
- Yan, T.; Wang, Z.; Pan, Z.J. Flexible strain sensors fabricated using carbon-based nanomaterials: A review. Curr. Opin. Solid State Mater. Sci. 2018, 22, 213–228. [Google Scholar] [CrossRef]
- Chandrasekhar, P. Microwave-and Conductivity-Based Technologies. In Conducting Polymers, Fundamentals and Applications; Springer: Cham, Switzerland, 2018. [Google Scholar] [CrossRef]
- MacDiarmid, A.G. ChemInform Abstract: “Synthetic Metals”: A Novel Role for Organic Polymers (Nobel Lecture). Angew. Chem. Int. Ed. 2001, 40, 2581–2590. [Google Scholar] [CrossRef]
- Chen, M.-C.; Sun, Y.-C.; Chen, Y.-H. Electrically conductive nanofibers with highly oriented structures and their potential application in skeletal muscle tissue engineering. Acta Biomater. 2013, 9, 5562–5572. [Google Scholar] [CrossRef]
- Garrudo, F.F.F.; Chapman, C.A.; Hoffman, P.R.; Udangawa, R.W.; Silva, J.C.; Mikael, P.E.; Rodrigues, C.A.V.; Cabral, J.M.S.; Morgado, J.M.F.; Ferreira, F.C.; et al. Polyaniline-polycaprolactone blended nanofibers for neural cell culture. Eur. Polym. J. 2019, 117, 28–37. [Google Scholar] [CrossRef]
- Ateh, D.D.; Navsaria, H.A.; Vadgama, P. Polypyrrole-based conducting polymers and interactions with biological tissues. J. R. Soc. Interface 2006, 3, 741–752. [Google Scholar] [CrossRef]
- Wang, Y.; Ding, Y.; Guo, X.; Yu, G. Conductive polymers for stretchable supercapacitors. Nano. Res. 2019, 12, 1978–1987. [Google Scholar] [CrossRef]
- Liu, H.; Li, Q.; Zhang, S.; Yin, R.; Liu, X.; He, Y.; Dai, K.; Shan, C.; Guo, J.; Liu, C.; et al. Electrically conductive polymer composites for smart flexible strain sensors: A critical review. J. Mater. Chem. C 2018, 6, 12121–12141. [Google Scholar] [CrossRef]
- Kirchmeyer, S.; Reuter, K. Scientific importance, properties and growing applications of poly(3,4-ethylenedioxythiophene). J. Mater. Chem. 2005, 15, 2077–2088. [Google Scholar] [CrossRef]
- Ahmad Shahrim, A.; Ahmad, Z.; Wong Azman, A.; Fachmi Buys, Y.; Sarifuddin, N. Mechanisms for doped PEDOT:PSS electrical conductivity improvement. Mater. Adv. 2021, 2, 7118. [Google Scholar] [CrossRef]
- Luo, R.; Li, H.; Du, B.; Zhou, S.; Zhu, Y. A simple strategy for high stretchable, flexible and conductive polymer films based on PEDOT:PSS-PDMS blends. Org. Electron. 2020, 76, 105451. [Google Scholar] [CrossRef]
- Wang, Q.; Tang, N.; Zhang, M.; Xue, Q.; Duan, X. Highly Sensitive Protein Detection Using Conductive Polymer Nanowires Fabricated by Nanoscale Soft Lithography. In Proceedings of the 2018 IEEE Sensors, New Delhi, India, 28–31 October 2018; pp. 1–3. [Google Scholar] [CrossRef]
- Guo, X.-C.; Hu, W.-W.; Tan, S.H.; Tsao, C.-W. A stretchable conductive Polypyrrole Polydimethylsiloxane device fabricated by simple soft lithography and oxygen plasma treatment. Biomed. Microdevices 2018, 20, 30. [Google Scholar] [CrossRef]
- Kamyshny, A.; Magdassi, S. Conductive nanomaterials for 2D and 3D printed flexible electronics. Chem. Soc. Rev. 2019, 48, 1712–1740. [Google Scholar] [CrossRef]
- Verpoorten, E.; Massaglia, G.; Ciardelli, G.; Pirri, C.F.; Quaglio, M. Design and Optimization of Piezoresistive PEO/PEDOT:PSS Electrospun Nanofibers for Wearable Flex Sensors. Nanomaterials 2020, 10, 2166. [Google Scholar] [CrossRef]
- Wang, J.-C.; Karmakar, R.S.; Lu, Y.-J.; Chan, S.-H.; Wu, M.-C.; Lin, K.-J.; Chen, C.-K.; Wei, K.-C.; Hsu, Y.-H. Miniaturized Flexible Piezoresistive Pressure Sensors: Poly(3,4-ethylenedioxythiophene):Poly(styrenesulfonate) Copolymers Blended with Graphene Oxide for Biomedical Applications. ACS Appl. Mater. Interfaces 2019, 11, 34305–34315. [Google Scholar] [CrossRef]
- Noh, J.-S. Highly conductive and stretchable poly(dimethylsiloxane):poly(3,4- ethylenedioxythiophene):poly(styrene sulfonic acid) blends for organic interconnects. RSC Adv. 2014, 4, 1857–1863. [Google Scholar] [CrossRef]
- Tseghai, G.B.; Malengier, B.; Fante, K.A.; Nigusse, A.B.; Van Langenhove, L. Development of a Flex and Stretchy Conductive Cotton Fabric via Flat Screen Printing of PEDOT:PSS/PDMS Conductive Polymer Composite. Sensors 2020, 20, 1742. [Google Scholar] [CrossRef] [PubMed]
- Ceresa, C.; Tessarolo, F.; Maniglio, D.; Tambone, E.; Carmagnola, I.; Fedeli, E.; Caola, I.; Nollo, G.; Chiono, V.; Allegrone, G.; et al. Medical-grade silicone coated with rhamnolipid R89 is effective against Staphylococcus spp. Biofilms. Molecules 2019, 24, 3843. [Google Scholar] [CrossRef] [PubMed]
- Tonda-Turo, C.; Cipriani, E.; Gnavi, S.; Chiono, V.; Mattu, C.; Gentile, P.; Perroteau, I.; Zanetti, M.; Ciardelli, G. Crosslinked gelatin nanofibres: Preparation, characterisation and in vitro studies using glial-like cells. Mater. Sci. Eng. C 2013, 33, 2723–2735. [Google Scholar] [CrossRef] [PubMed]
- Guex, A.G.; Puetzer, J.L.; Armgarth, A.; Littmann, E.; Stavrinidou, E.; Giannelis, E.P.; Malliaras, G.G.; Stevens, M.M. Highly porous scaffolds of PEDOT:PSS for bone tissue engineering. Acta Biomater. 2017, 62, 91–101. [Google Scholar] [CrossRef]
- Wan, A.M.-D.; Inal, S.; Williams, T.; Wang, K.; Leleux, P.; Estevez, L.; Giannelis, E.P.; Fischbach, C.; Malliaras, G.G.; Gourdon, D. 3D conducting polymer platforms for electrical control of protein conformation and cellular functions. J. Mater. Chem. B 2015, 3, 5040–5048. [Google Scholar] [CrossRef]
- Chen, C.; Bai, X.; Ding, Y.; Lee, I.-S. Electrical stimulation as a novel tool for regulating cell behavior in tissue engineering. Biomater Res. 2019, 23, 25. [Google Scholar] [CrossRef] [Green Version]
- Leppik, L.; Oliveira, K.M.C.; Bhavsar, M.B.; Barker, J.H. Electrical stimulation in bone tissue engineering treatments. Eur. J. Trauma Emerg. Surg. 2020, 46, 231–244. [Google Scholar] [CrossRef]
- Colucci, R.; Quadros, M.H.; Feres, F.H.; Maia, F.B.; de Vincente, F.S.; Faria, G.C.; Santos, L.F.; Gozzi, G. Cross-linked PEDOT: PSS as an alternative for low-cost solution-processed electronic devices. Synth. Met. 2018, 241, 47–53. [Google Scholar] [CrossRef]
- Chiono, V.; Tonda-Turo, C. Trends in the design of nerve guidance channels in peripheral nerve tissue engineering. Prog. Neurobiol. 2015, 131, 87–104. [Google Scholar] [CrossRef] [PubMed]
- Gnavi, S.; Fornasari, B.E.; Tonda-Turo, C.; Laurano, R.; Zanetti, M.; Ciardelli, G.; Geuna, S. The effect of electrospun gelatin fibers alignment on schwann cell and axon behavior and organization in the perspective of artificial nerve design. Int. J. Mol. Sci. 2015, 16, 12925–12942. [Google Scholar] [CrossRef]
- Ruini, F.; Tonda-Turo, C.; Raimondo, S.; Tos, P.; Pugliese, P.; Geuna, S.; Ciardelli, G. Nerve guidance conduits based on bi-layer chitosan membranes for peripheral nerve regeneration. Biomed. Sci. Eng. 2016, 1, 1–7. [Google Scholar] [CrossRef]
- Webber, R.E.; Creton, C.; Brown, H.R.; Gong, J.P. Large strain hysteresis and mullins effect of tough double-network hydrogels. Macromolecules 2007, 40, 2919–2927. [Google Scholar] [CrossRef]
- Diani, J.; Fayolle, B.; Gilormini, P. A review on the Mullins effect. Eur. Polym. J. 2009, 45, 601–612. [Google Scholar] [CrossRef]
- Hur, O.-N.; Ha, J.-H.; Park, S.-H. Strain-sensing properties of multi-walled carbon nanotube/polydimethylsiloxane composites with different aspect ratio and filler contents. Materials 2020, 13, 2431. [Google Scholar] [CrossRef]
- Oliveri, A.; Maselli, M.; Lodi, M.; Storace, M.; Cianchetti, M. Model-based compensation of rate-dependent hysteresis in a piezoresistive strain sensor. IEEE Trans. Ind. Electron. 2019, 66, 8205–8213. [Google Scholar] [CrossRef]
- Kim, J.-S.; Kim, G.-W. Hysteresis compensation of piezoresistive carbon nanotube/polydimethylsiloxane composite-based force sensors. Sensors 2017, 17, 229. [Google Scholar] [CrossRef] [Green Version]
- Standard N. 10993; Biological Evaluation of medical devices—Part 5: Tests for in vitro cytotoxicity. International Organization for Standardization: Geneva, Switzerland, June 2009.
- Miriani, R.M.; Abidian, M.R.; Kipke, D.R. Cytotoxic analysis of the conducting polymer PEDOT using myocytes. In Proceedings of the 30th Annual International Conference of the IEEE Engineering in Medicine and Biology Society, Vancouver, BC, Canada, 20–25 August 2008; pp. 1841–1844. [Google Scholar] [CrossRef]
- Nyoung, D.; Lee, S.; Timsina, R.; Qiu, X.; Castro, N.J. Development of 3D printable conductive hydrogel with crystallized PEDOT: PSS for neural tissue engineering. Mater. Sci. Eng. C 2019, 99, 582–590. [Google Scholar] [CrossRef]
- Lee, D.S.; Kim, S.J.; Sohn, J.H.; Kim, I.G.; Kim, S.W.; Sohn, D.W.; Kim, J.H.; Choi, B. Biocompatibility of a PDMS-coated micro-device: Bladder volume monitoring sensor. Chin. J. Polym. Sci. 2012, 30, 242–249. [Google Scholar] [CrossRef]
- Sreekantan, S.; Hassan, M.; Murthe, S.S.; Seeni, A. Biocompatibility and Cytotoxicity Study of Polydimethylsiloxane (PDMS) and Palm Oil Fuel Ash (POFA) sustainable super-hydrophobic coating for biomedical applications. Polymers 2020, 12, 3034. [Google Scholar] [CrossRef] [PubMed]
- Neu, T.R.; Van der Mei, H.C.; Busscher, H.J.; Dijk, F.; Verkerke, G.J. Biodeterioration of medical-grade silicone rubber used for voice prostheses: A SEM study. Biomaterials 1993, 14, 459–464. [Google Scholar] [CrossRef]
- Ceresa, C.; Tessarolo, F.; Caola, I.; Nollo, G.; Cavallo, M.; Rinaldi, M.; Fracchia, L. Inhibition of Candida albicans adhesion on medical-grade silicone by a Lactobacillus-derived biosurfactant. J. Appl. Microbiol. 2015, 118, 1116–1125. [Google Scholar] [CrossRef] [PubMed]







| % v/v GPTMS | Repetition | Vin [V] | Rc [KΩ] |
|---|---|---|---|
| 1% | 1–2–3 | 5 | 56 |
| 2% | 1–2–3 | 5 | 220.5 |
| 3% | 1–2 | 5 | 1200 |
| 3 | 395 | ||
| 1% + PDMS | 1 | 5 | 6860 |
| 2–3 | 1200 |
| % v/v GPTMS | n° of Cycles | εmax [%] | Vdef [mm/min] |
|---|---|---|---|
| 1% | 4 | 50 | 0.5–10 |
| 80 | |||
| 2% | 4 | 80 | 0.5–10 |
| 3% | 4 | 80 | 0.5–10 |
| 1% + PDMS | 4 | 50 | 0.5–10 |
| % v/v GPTMS | Vin [V] | Rep | Rc [kΩ] | Rsample [kΩ] |
|---|---|---|---|---|
| 1% | 5 | 1–2–3 | 56 | 100.53 ± 62.46 |
| 2% | 5 | 1–2–3 | 220.5 | 464.74 ± 107.37 |
| 3% | 5 | 1–2 | 1200 | 1942.5 ± 1467.1 |
| 3 | 395 | |||
| 1% + PDMS | 5 | 1 | 6860 | 52,138 ± 69,175 |
| 2–3 | 1200 |
| % v/v GPTMS | εmax | Vdef [mm/min] | σmax [kPa] | % Hysteresis |
|---|---|---|---|---|
| 1% | 80% | 0.5 | 15.49 ± 3.68 | 74.36 ± 3.42 |
| 2% | 80% | 0.5 | 22.17 ± 15.09 | 80.40 ± 9.51 |
| 3% | 80% | 0.5 | 49.51 ± 20.07 | 64.18 ± 33.05 |
| 1% + PDMS | 50% | 0.5 | 129.08 ± 48.32 | 24.32 ± 5.37 |
Publisher’s Note: MDPI stays neutral with regard to jurisdictional claims in published maps and institutional affiliations. |
© 2022 by the authors. Licensee MDPI, Basel, Switzerland. This article is an open access article distributed under the terms and conditions of the Creative Commons Attribution (CC BY) license (https://creativecommons.org/licenses/by/4.0/).
Share and Cite
Cassa, M.A.; Maselli, M.; Zoso, A.; Chiono, V.; Fracchia, L.; Ceresa, C.; Ciardelli, G.; Cianchetti, M.; Carmagnola, I. Development of an Innovative Soft Piezoresistive Biomaterial Based on the Interconnection of Elastomeric PDMS Networks and Electrically-Conductive PEDOT:PSS Sponges. J. Funct. Biomater. 2022, 13, 135. https://doi.org/10.3390/jfb13030135
Cassa MA, Maselli M, Zoso A, Chiono V, Fracchia L, Ceresa C, Ciardelli G, Cianchetti M, Carmagnola I. Development of an Innovative Soft Piezoresistive Biomaterial Based on the Interconnection of Elastomeric PDMS Networks and Electrically-Conductive PEDOT:PSS Sponges. Journal of Functional Biomaterials. 2022; 13(3):135. https://doi.org/10.3390/jfb13030135
Chicago/Turabian StyleCassa, Maria Antonia, Martina Maselli, Alice Zoso, Valeria Chiono, Letizia Fracchia, Chiara Ceresa, Gianluca Ciardelli, Matteo Cianchetti, and Irene Carmagnola. 2022. "Development of an Innovative Soft Piezoresistive Biomaterial Based on the Interconnection of Elastomeric PDMS Networks and Electrically-Conductive PEDOT:PSS Sponges" Journal of Functional Biomaterials 13, no. 3: 135. https://doi.org/10.3390/jfb13030135
APA StyleCassa, M. A., Maselli, M., Zoso, A., Chiono, V., Fracchia, L., Ceresa, C., Ciardelli, G., Cianchetti, M., & Carmagnola, I. (2022). Development of an Innovative Soft Piezoresistive Biomaterial Based on the Interconnection of Elastomeric PDMS Networks and Electrically-Conductive PEDOT:PSS Sponges. Journal of Functional Biomaterials, 13(3), 135. https://doi.org/10.3390/jfb13030135

