Abstract
This study investigates the effects of velocity deficits on the performance of wind turbines in multi-row wind farms, focusing on two types of turbines: Gamesa G132 and Gamesa SG8. The analysis examines the impact of turbine spacing on key performance metrics, including Annual Energy Production, energy production losses, and the capacity factor. Two models are used: the classical Jensen model, assuming a constant thrust coefficient (), and an updated model that incorporates the actual turbine-specific characteristics. The results demonstrate that as turbine spacing decreases, the velocity deficit behind the turbines increases, leading to significant reductions in AEP and higher energy losses. These effects are particularly pronounced for spacings of 5D and 3D, raising concerns about the economic feasibility of such wind farms. This study also highlights that the proposed updated Jensen model, which accounts for the specific turbine characteristics, provides results that are closer to real-world observations. This study showed that for a Baltic Sea wind farm location, the capacity factor for the wind farm is in the range of 0.366 to 0.476, depending on the turbine spacing.
1. Introduction
The design and layout of wind farms play a crucial role in optimizing energy production. One of the key factors influencing performance is the distance between turbine alignments. This is directly related to the disturbance that occurs behind an obstacle in the free-stream flow. In the case of wind farms, the obstacle is a wind turbine, and the resulting flow disturbance is the aerodynamic wake. The wake causes a significant reduction in velocity behind the turbine, which can propagate far downstream, leading to a velocity deficit of up to 20% as far as 10 rotor diameters downstream [1,2,3].
Consequently, the optimal spacing between the turbines should range from 7 to 10 rotor diameters. This spacing minimizes wake losses and improves energy production efficiency by reducing aerodynamic interference between turbines.
Wind energy utilization has increased substantially since the beginning of the XXI century, reaching a total installed capacity of 1017.20 GW by the end of 2023 [4]. In 2023, the global wind industry reached a milestone by adding a record-breaking 117 GW of new capacity, including 11 GW from offshore installations [5]. The annual growth rate of new capacity additions, both onshore and offshore, is projected to be approximately 10% year-on-year [5].
Despite optimistic projections for the growth in new installations, wind farms often underperform compared to manufacturers’ expectations. Capacity factors are frequently overestimated by 10% to 30%. For example, between 2004 and 2009, the average capacity factor in Europe was below 21%, leading to profit losses exceeding 60% and a 40% smaller reduction in CO2 emissions than anticipated [6]. A significant contributor to this underperformance is the overlooked degradation of turbine blade aerodynamic properties. Factors such as surface roughness changes, erosion, contamination by foreign materials, icing, coating delamination, and wind velocity deficits in the aerodynamic wake behind turbines play a major role [7,8,9,10,11].
The impact of aerodynamic wakes on wind farm performance plays a crucial role in wind energy production, significantly affecting the efficiency and power output of wind farms. When turbines are spaced too closely or improperly aligned with the prevailing wind direction, downstream turbines experience reduced wind speeds and heightened turbulence, leading to wake-induced power losses. This effect can notably diminish energy generation and undermine the economic feasibility of wind power plants [12,13].
To address these challenges, meticulous site planning, optimized farm layouts, and advanced wake control techniques are essential for minimizing such losses, enhancing farm efficiency, and ensuring the effective conversion of wind into electricity. As the wind energy industry continues to expand, understanding and mitigating the effects of aerodynamic wakes remain critical to fully exploit the potential of this renewable energy source.
Wind farms exhibit substantial variation in average annual capacity factors. In Europe, the average capacity factor is approximately 21% for onshore wind farms and 32% for offshore installations [12]. Notable examples include the Margonin onshore wind farm, which achieves a capacity factor of 26%, the North Hoyle offshore wind farm at 25%, and the Scroby Sands offshore wind farm with 35% [14,15,16,17].
It is important to emphasize that power losses in wind farms are heavily influenced by their geographic location and the prevailing wind conditions. In poorly planned wind farms, these losses can reach as high as 23%, while well-optimized designs can limit losses to as low as 12.5% [18,19,20].
The discussion above highlights the critical importance of accurately modeling wind flow within a wind farm, particularly the velocity deficit in the aerodynamic wake, for effective wind farm planning and assessing environmental impacts.
Simulating aerodynamic wakes behind turbines using three-dimensional CFD computational models is complex and computationally intensive. As a result, simpler models have been developed to analyze wind farm power losses, one of which is the Jensen model.
The Jensen model is a straightforward semi-empirical approach that assumes a top-hat distribution of the wake deficit at each cross-section. This simplified mathematical model estimates the wind speed deficit and the resulting power reduction experienced by downstream turbines in a wind farm. The model assumes that the wake expands linearly as it moves downstream, with the wind speed deficit diminishing over distance. It should be noted that the classical Jansen model employs the averaged value of the thrust coefficient, which is a key parameter in this model [21,22].
The accuracy of the Jensen model’s predictions is highly dependent on selecting an appropriate wake decay constant. This parameter is influenced by factors such as turbulence intensity and atmospheric conditions, making it challenging to determine with precision.
Nevertheless, comparative analyses with experimental data and alternative models, as conducted in [23,24], have demonstrated that the Jensen model performs reliably for large wind farms, whether onshore or offshore.
The reviewed literature indicates that, to the best knowledge of the authors, no simple mathematical model such as the classical Jensen model that explicitly incorporates the characteristics of a specific wind turbine has been developed to date. The main innovation of the presented work is the proposal of a new methodology to estimate the losses of wind farms resulting from the mutual interaction of the turbines. In particular, it involves upgrading the classical Jensen model by replacing the constant thrust coefficient with its actual characteristic, which depends on the specific wind turbine and the instantaneous atmospheric wind velocity.
This approach enables rapid and efficient estimation of wind farm losses for configurations with varying turbine spacing while accounting for the unique characteristics of real wind turbines, including specific power curves, power coefficients (), and thrust coefficients ().
The developed model was applied to a case study of a proposed offshore wind farm in the Baltic Sea. The analysis used the offshore turbine specifications: Gamesa SG8-167 and Gamesa G132, featuring a rated power of 8 MW and 5 MW, respectively. The calculations facilitated a comparative analysis based on criteria such as wind farm losses and annual electricity production.
The remainder of this article is organized as follows: Section 2 presents the methodology and the upgraded Jensen model. Section 3 shows validation of the developed model based on data from existing wind farms. The results and their discussion are provided in Section 4, which highlights the impact of different turbine spacings on wake losses and energy output. Finally, Section 5 concludes this study, summarizing the main findings and offering recommendations for future research.
2. Materials and Methods
2.1. Upgraded Jensen Model
The Jensen model [22], used for modeling the aerodynamic wake created behind a wind turbine, is one of the simplest semi-empirical models. Despite its simplicity, a comparative analysis with experimental data and other models, conducted in this study [23], demonstrated that the Jensen model is reliable for large wind farms, both onshore and offshore.
In the Jensen model, schematically presented in Figure 1, it is assumed that only one component of the wind velocity, perpendicular to the turbine rotor, is considered and that the aerodynamic wake expands uniformly.
Figure 1.
The control volume of the Jensen model: —wind speed in front of the turbine, —wind speed at a distance x behind the turbine, k—wake decay constant.
Using the law of conservation of linear momentum, the velocity at a distance x from the turbine is calculated using the following equation:
where is the thrust coefficient, is the atmospheric wind speed, D is the turbine diameter and is the wake decay constant, which can be defined as follows:
where H is the turbine height and is the terrain roughness height.
Equation (2) assumes that is proportional to the ratio of friction velocity and free stream wind velocity at the turbine hub height H and is directly related to the law of the wall introduced by von Karman [25,26]. It should be noted that Equation (2) may yield values that are lower than those commonly accepted, potentially underestimating wake losses over low-roughness terrains [24]. An alternative approach involves relating the wake decay constant to atmospheric stability, turbulence intensity, and surface layer theory, resulting in the following formula [23,24]:
where is the Karman constant, whose value is assumed to be 0.4 and is the turbulence intensity at height H defined as
where is the standard deviation of the free stream velocity at turbine hub height.
By analyzing Equations (1)–(3) it can be observed that the kinetic energy losses of wind occurring behind a wind turbine can be determined by knowing the parameters that characterize wind conditions at a given location. These parameters include turbulence intensity or the terrain’s topographic features, such as roughness height.
In the case of multiple turbines interacting with each other, it can be assumed that the kinetic energy deficit in overlapping aerodynamic wakes is equal to the sum of the deficits observed in the wake of an isolated turbine. Consequently, the velocity deficit in two overlapping aerodynamic wakes can be calculated using the following equation:
where is the velocity in the aerodynamic wake behind the i-th turbine at a distance x from its rotor. It is worth noting that for N identical turbines, equally spaced at a distance L from each other, Equation (5) simplifies to
where is the velocity in the aerodynamic wake at a distance L from the turbine rotor, and in this case represents the velocity in the aerodynamic wake behind the last, N-th turbine. Furthermore, based on the relationship (5), it can be seen that the velocity deficit behind the n-th turbine can be calculated as follows:
where .
In the classical Jensen model, the thrust coefficient from Equation (1) is treated as a constant. In the present study, the model has been refined by incorporating a turbine-specific thrust coefficient , which is a function of the atmospheric wind speed and depends on the wind turbine characteristics, as follows:
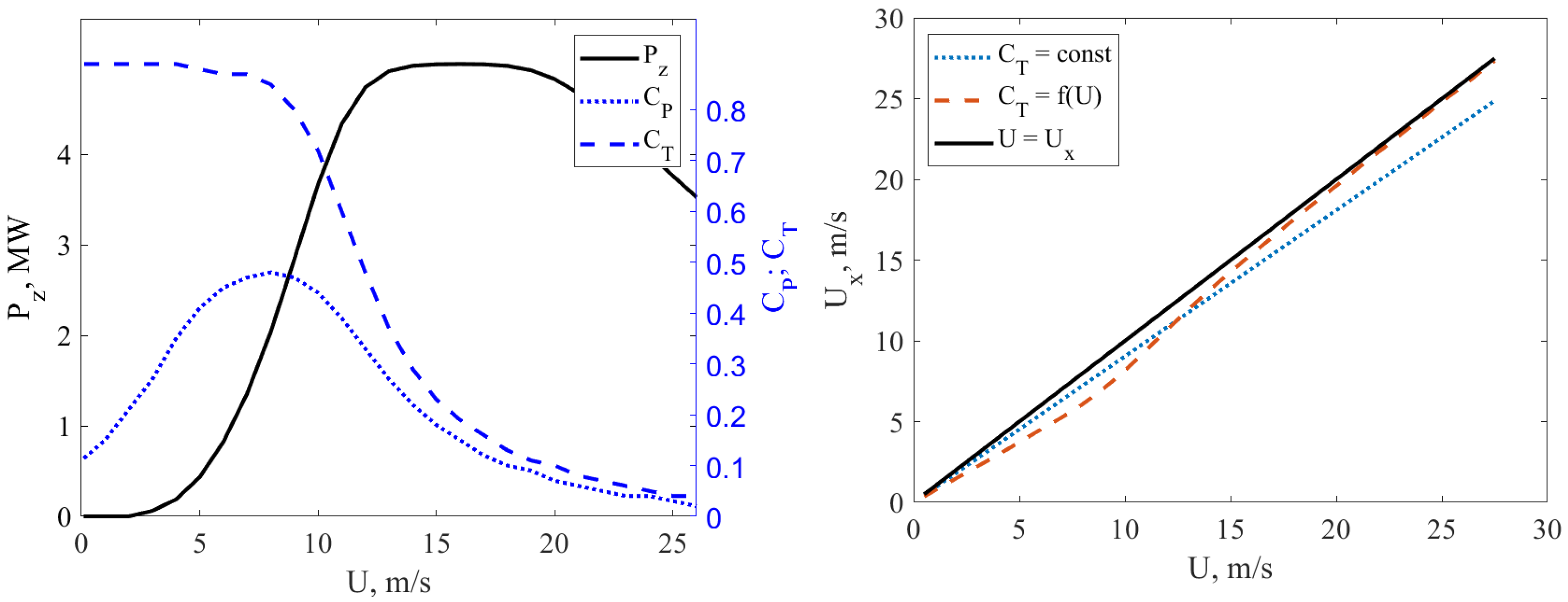
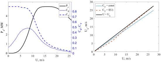
The left graphs in Figure 2 and Figure 3 show the characteristics of the wind turbines used in the present study and the impact of applying their respective characteristics on the velocity deficit generated in their wake. Figure 2 presents the power curve, efficiency curve , and thrust coefficient for the Gamesa G132 turbine with a diameter of 132 m and a rated power of 5 MW, whereas Figure 3 depicts the Gamesa SG8 turbine with a diameter of 167 m and a rated power of 8 MW. Both designs are used in offshore applications [27].
Figure 2.
Left: power curve, power coefficient , and trust force of the Gamesa SG8 turbine. Right: comparison of the velocity deficit behind the Gamesa SG8 turbine calculated using the classical () and updated () Jansen model, mark the line with no velocity deficit.
Figure 3.
Left: power curve, power coefficient , and trust force of the Gamesa G132 turbine. Right: comparison of the velocity deficit behind the Gamesa G132 turbine calculated using the classical () and updated () Jansen model, mark the line with no velocity deficit.
The right plots in Figure 2 and Figure 3 illustrate the differences in the wake velocity deficit behind a turbine depending on the applied Jensen model. In the case of the classical version, where is constant, the velocity deficit increases linearly with atmospheric wind speed U. However, when using specific to a given turbine, the direct influence of the thrust coefficient on the velocity deficit becomes evident. Higher values correspond to a greater velocity deficit.
In the following sections, the impact of using or , being a function of wind velocity, on the annual energy production of a wind farm will be demonstrated, considering the chosen values in relation to representing the actual characteristic of the turbine. In the calculations, the constant values were chosen as the average of for the turbines under consideration. Consequently, this resulted in for Gamesa G132 and for Gamesa SG8.
In the present study, wind conditions representative of the Baltic Sea at an altitude of 100 m were utilized, with specific values derived from real meteorological measurements taken at the FINO 2 station [28,29]. Specifically, the mean wind speed was set to m/s, the turbulence intensity to , and the surface roughness m.
The variability of wind over the course of a year can be described using an appropriate probability density distribution. It is commonly accepted that the Weibull probability density distribution is reliable for most locations [30]:
where c is the scale parameter and k is the shape parameter of the distribution. The scale parameter c is defined as
where is the annual average wind speed and is the Gamma function. In the current study, the parameters for the Weibull distribution were set to and m/s, based on real meteorological data [28,29].
It is worth noting that by inserting the above values into Equation (2), the wake decay constant for the considered location is calculated as , whereas using Equation (3) yields . It should be noted that a higher value indicates a faster dissipation of the aerodynamic wake, resulting in a smaller velocity deficit. Referring to the aforementioned studies [24,26], it is not entirely clear which of these correlations provides more reliable results, as their applicability depends on the characteristics of the specific location. Nevertheless, it is reasonable to assume that they represent the upper and lower bounds of the correct value. Therefore, in the present study, the arithmetic mean of these two values was chosen giving .
2.2. Calculation of the Annual Energy Production
An important issue related to planning the spatial configuration of turbines in a wind farm is the mutual interaction between turbines, which can significantly reduce the efficiency of the wind farm, defined as
where AEP is annual energy production. Subsequently, using Equation (11), the wind farm percentage losses can be calculated as
Another key issue is estimating the value of the power coefficient for the entire wind farm, , and the predicted AEP, as follows:
where is the annual energy production of the entire wind farm in MWh, and is the total (installed) rated power of the wind farm, where is the rated power of a single turbine, and N denotes the number of turbines. It should be noted that the value of the coefficient (13) can be much lower than the power coefficient of a single wind turbine, due to the losses (12) resulting from the mutual interaction between wind turbines, erosion, contamination, icing, and other issues [11].
The AEP for an isolated wind turbine, , can be calculated as follows:
where is the power curve of the wind turbine, and is the Weibull distribution of atmospheric wind speed defined by Equation (9). To calculate the electricity production for the entire wind farm, , it is necessary to calculate the AEP value for the turbines in the subsequent rows of the wind farm. For this purpose, the velocity deficit caused by the overlapping aerodynamic wakes must be taken into account. This effect can be incorporated by appropriately modifying the Weibull distributions in the subsequent rows of the wind farm:
where N denotes the number of turbines in a single row of the wind farm, C represents the number of columns in the wind farm, and is the modified Weibull distribution describing the probability distribution of wind speed reaching the n-th row of the wind farm. It should be noted that the Formula (15) assumes no interactions between individual columns. In the present study, was assumed, which does not affect the conclusions drawn from the obtained results.
3. Validation
Table 1 presents the average losses of actual offshore wind farms , characterized by significantly different distances between individual turbines. These distances for the Lillgrund farm are substantially below optimal, averaging at 3.85D, resulting in significant losses of AEP approximately 23% [19]. In the case of the Horns Rev farm, where the distances are greater and the average is 8.5D, the losses are reported to be 12.4% [18,20].
Table 1.
The losses of offshore wind farms , characterized by significantly different distances between individual turbines; and represent the distances between turbines in the direction aligned with the dominant wind direction and in the transverse direction to the prevailing wind direction at a given location, respectively [18,19,20].
The Lillgrund farm consists of 49 Siemens SWT2.3 wind turbines, while the Horns Rev farm comprises 80 Vestas V80 wind turbines. For validation purposes, the layout of the considered farms was simplified to a regular grid. Consequently, the Lillgrund farm was assumed to have 7 rows and 7 columns, with a distance of 3.85D between turbines, and the Horns Rev farm was modeled with 9 rows and 9 columns, with a distance of 8.5D between turbines.
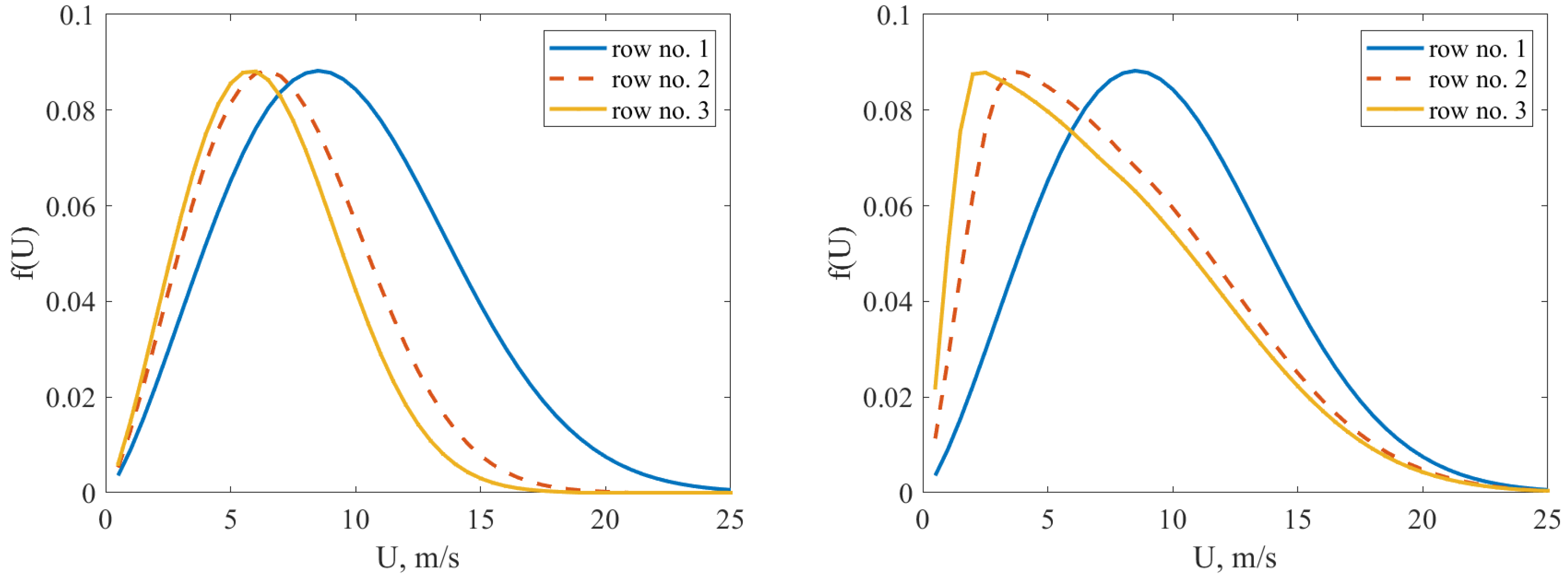
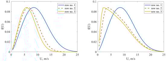
Figure 4 shows the power curves and the trust force coefficients used in the calculations. The plots in Figure 5 illustrate the probability densities of wind speed for the first three rows of the wind farms considered. The plots for row no. 1 correspond to the actual Weibull distribution of the wind speed in the considered locations.
Figure 4.
Left: power curve, power coefficient , and trust force of the Siemens SWT2.3 turbine; Right: power curve, power coefficient , and trust force of the Vestas V80 turbine.
Figure 5.
Influence of the velocity deficit on the shape of Weibull distributions for the first 3 rows of the considered wind farms. Left: Lillgrund farm with Siemens SWT2.3 turbines; Right: Horns Rev farm with Vestas V80 turbines.
The influence of the velocity deficit is clearly visible in Figure 5. The shapes of the probability distributions for rows 2 and 3 are shifted to the left, with a greater shift corresponding to a larger velocity deficit. Consequently, the losses in annual energy production, , calculated using the developed Jansen model, are 0.2315 and 0.1579 for Lillgrund and Horns Rev, respectively. Comparing these values with the actual losses presented in Table 1, it can be concluded that the proposed methodology provides satisfactory estimates.
4. Results and Discussion
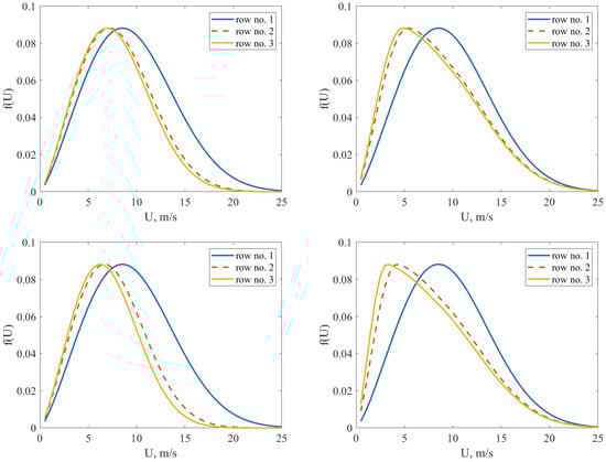
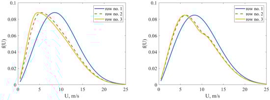
Figure 6 shows the Weibull probability density distributions of annual wind speed for different spacing among Gamesa G132 turbines: 10D, 5D, and 3D, considering the first three rows of turbines. The first row receives undisturbed atmospheric wind, described by a Weibull distribution with parameters corresponding to the Baltic Sea location, detailed in the preceding section of the article. In contrast, the wind speed distributions reaching subsequent turbines are modified based on the velocity deficit generated behind the preceding turbines. Only two subsequent rows are shown in Figure 6, as the distributions for the remaining rows no longer differ significantly.
Figure 6.
Modified Weibull distributions for the first 3 rows of Gamesa G132 turbines. From top to bottom, the results correspond to turbine spacings of 10D, 5D, and 3D. Left column: classic Jansen model for . Right column: updated Jansen model.
The plots on the left of Figure 6 illustrate the wind speed probability densities modified under the assumption of a constant value and the classical Jensen model, as per Equation (5). In contrast, the plots on the right depict distributions where the velocity deficit was calculated using the actual characteristics of the Gamesa G132, following Equation (8).
In the first case, it is evident that the wind speed distributions reaching subsequent rows of turbines shift significantly to the left for higher wind speeds. The situation is significantly different for the velocity deficit calculated using Equation (8). Here, the decreasing thrust coefficient for higher wind speeds is clearly visible compared with the curve for the Gamesa G132 turbine shown in Figure 3.
Figure 7, Figure 8 and Figure 9 sequentially present the effects of velocity deficits behind turbines on the annual energy production (AEP), energy production losses , and the capacity factor () for Gamesa G132 turbines. The data include results for different turbine spacings, 10D, 5D, and 3D, and are calculated both for a constant (labeled as “const”) and for , corresponding to the actual performance characteristics of the considered turbine. The figures show values for 11 rows of turbines, assuming that the turbine in the first row operates in an undisturbed flow (the wind farm’s front row).
Figure 7.
AEP of Gamesa G132 wind turbines in the subsequent rows of the wind farm for different turbine spacing (10D, 5D, 3D) and different Jansen models (“const” denotes the classical Jansen model).
Figure 8.
Losses of Gamesa G132 wind turbines in the subsequent rows of the wind farm for different turbine spacing (10D, 5D, 3D) and different Jansen models (“const” denotes the classical Jansen model).
Figure 9.
of Gamesa G132 wind turbines in the subsequent rows of the wind farm for different turbine spacing (10D, 5D, 3D) and different Jansen models (“const” denotes the classical Jansen model).
The results presented in the above figures demonstrate the significant impact of velocity deficit on the performance of wind turbines, which becomes increasingly pronounced as the spacing between turbines decreases. For spacings of 5D and 3D, the resulting losses are so substantial that they raise questions about the economic viability of constructing such wind farms.
It should be noted that the losses do not increase linearly with subsequent rows of turbines but are most pronounced for the initial rows, after which they stabilize at a quasi-steady value. This stabilization, observed as the flattening of individual curves, occurs at further rows as the turbine spacing decreases. Specifically, for the updated Jensen model, the losses saturate approximately at rows 7, 10, and above 11, for spacings 10D, 5D, and 3D, respectively. Furthermore, the results obtained using the classical Jensen model, which assumes a constant , yield loss magnitudes that are excessively high.
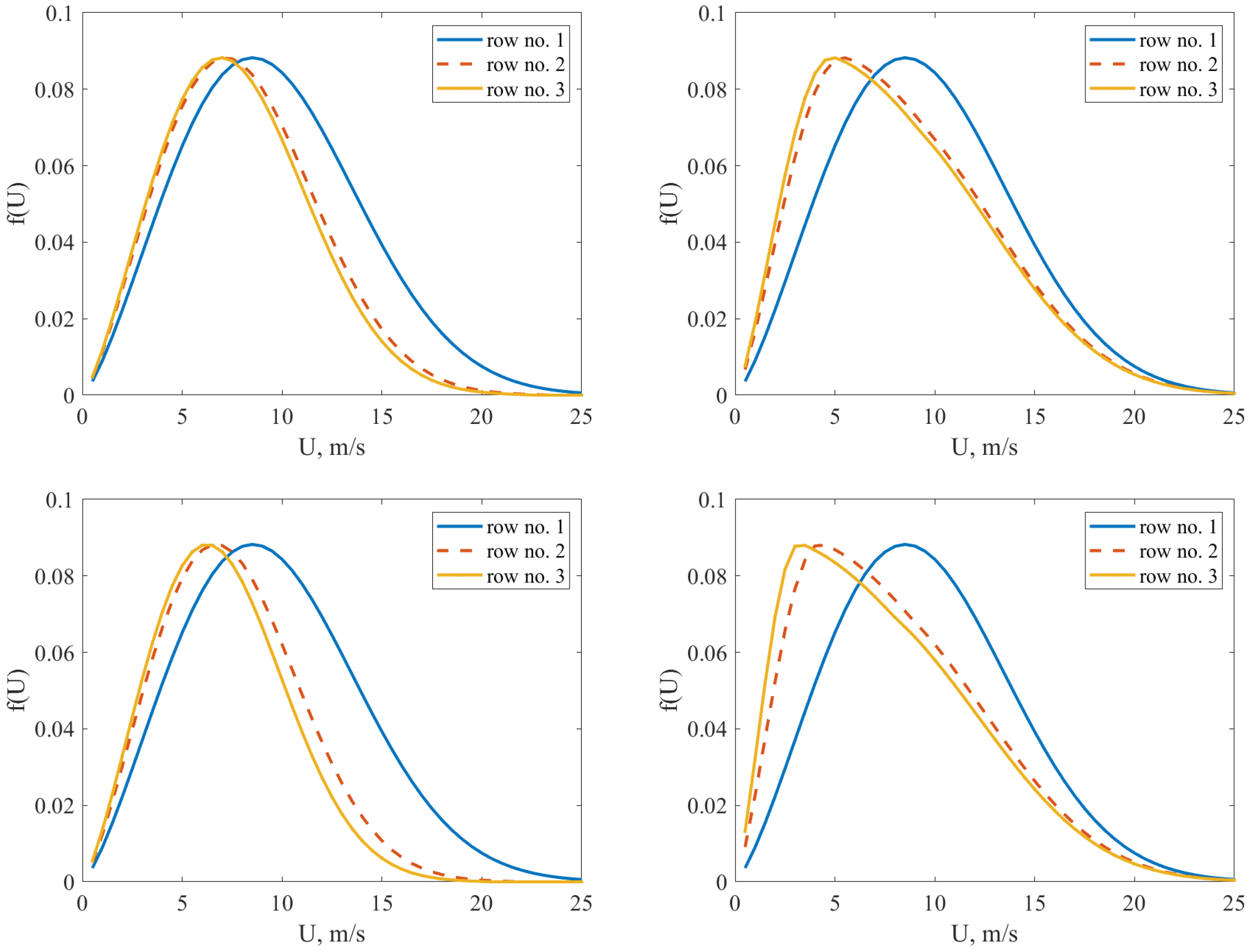
Similarly to the previous case, Figure 10 shows the Weibull probability density distributions of annual wind speed for different spacings between turbines, 10D, 5D, and 3D, concerning the first three rows of turbines in a wind farm consisting of Gamesa SG8 turbines. The plots on the left of Figure 10 illustrate the wind speed probability densities modified by the velocity deficit caused by the constant value, while the plots on the right depict distributions where the velocity deficit was calculated using the actual characteristics of the Gamesa SG8 turbine, shown in Figure 2.

Figure 10.
Modified Weibull distributions for the first 3 rows of Gamesa SG8 turbines. From top to bottom, the results correspond to turbine spacings of 10D, 5D, and 3D. Left column: classic Jansen model for . Right column: updated Jansen model.
Figure 11, Figure 12 and Figure 13 present the effects of velocity deficits behind turbines on the AEP, energy production losses, and the capacity factor for Gamesa SG8 turbines, arranged one behind the other. The data include results for different turbine spacings and for (labeled as “const”) and for , corresponding to the actual performance characteristics of the Gamesa SG8 turbine. Analyzing the results from these plots, similar conclusions can be drawn as in the case of the Gamesa G132 turbine, with the only difference that the loss values are slightly higher, which translates to slightly lower coefficients.
Figure 11.
AEP of Gamesa SG8 wind turbines in the subsequent rows of the wind farm for different turbine spacing (10D, 5D, 3D) and different Jansen models (“const” denotes the classical Jansen model).
Figure 12.
Losses of Gamesa SG8 wind turbines in the subsequent rows of the wind farm for different turbine spacing (10D, 5D, 3D) and different Jansen models (“const” denotes the classical Jansen model).
Figure 13.
of Gamesa SG8 wind turbines in the subsequent rows of the wind farm for different turbine spacing (10D, 5D, 3D) and different Jansen models (“const” denotes the classical Jansen model).
Table 2 presents the average values for the entire considered wind farms, consisting of 11 rows of turbines including the wind farm capacity factor () and energy production loss for the turbines under consideration, depending on the spacing between them. It can be observed that losses increase non-linearly as the spacing between turbines decreases, which directly impacts the values. The decreases progressively more rapidly as the turbine spacing becomes smaller.
Table 2.
Wind farm capacity factor () values and energy production loss for the wind farm consisting of 11 rows of turbines under consideration for different spacing.
In summary, the results presented in Figure 7, Figure 8, Figure 11 and Figure 12 and Table 2 indicate that the classical Jensen model, when using an average value of the actual characteristics, significantly overestimates the losses caused by the mutual interaction of turbines. In contrast, the results obtained using the actual characteristics are closer to those observed in real wind farms, as can be seen in Table 1.
It should be noted that the calculated coefficient in Table 2 accounts only for the velocity deficit caused by the aerodynamic wake behind the turbines. To estimate the actual , additional factors such as erosion, soiling, and blade icing should also be considered. In particular, soiling can have a significant and negative impact on electricity production for offshore wind farms, as its effects are especially pronounced in higher wind speed ranges. Existing studies suggest that the values shown in Table 2 should be further reduced by approximately 5% to 10% [10,11,31].
5. Conclusions
This study demonstrates the significant impact of velocity deficits on the performance of wind turbines in multi-row wind farms. The analysis, presented for Gamesa G132 and Gamesa SG8 turbines, shows how turbine spacing influences key performance metrics, including Annual Energy Production (AEP), energy losses, and the capacity factor () for different spacing scenarios of 10D, 5D, and 3D.
Key conclusions include the following:
- Velocity Deficit Effects: As turbine spacing decreases, the velocity deficit behind turbines increases, leading to a marked reduction in the AEP and a rise in energy production losses. This is especially evident for smaller spacings (5D and 3D), where losses become substantial, raising concerns about the economic viability of such wind farms.
- Non-linear Loss Increase: Losses do not increase linearly with the number of turbine rows. Instead, they are most pronounced in the initial rows, stabilizing at a quasi-steady value as the spacing decreases further. This stabilization occurs later as the turbines are positioned more closely together.
- Comparison of Models: This study highlights that the classical Jensen model, which assumes a constant thrust coefficient (), tends to overestimate the energy production losses caused by turbine interactions. In contrast, when actual turbine-specific characteristics are used, the calculated losses are more realistic and align better with observed real-world data.
- Impact of Turbine Spacing: The analysis shows that as the turbine spacing decreases from 10D to 3D, the wind farm capacity factor () progressively decreases. This trend emphasizes the importance of optimizing turbine spacing in wind farm design to maximize efficiency and minimize losses.
- Real-World Comparisons: The results are consistent with observed losses in existing offshore wind farms, such as the Lillgrund and Horns Rev farms. This validates the model’s applicability to real-world scenarios.
- Consideration of Additional Factors: It is important to note that the values presented in this study account solely for the aerodynamic wake effects. Other factors, such as blade erosion, soiling, and icing, can further reduce the and should be considered in future assessments. Studies suggest that these factors can lower the by an additional 5% to 10%, particularly in high wind speed environments.
In conclusion, careful attention to turbine spacing and the use of accurate characteristics of a specific turbine performance are essential for optimizing the design and performance of wind farms. The findings suggest that while smaller turbine spacings may appear beneficial from a land-use perspective, they come at the cost of significant energy losses, making larger spacing more attractive from an operational standpoint.
Further research related to the topic discussed in this paper will focus on expanding the proposed model to directly account for wind farms with irregular turbine spacing, turbines with different hub heights, and turbines of different sizes within a single wind farm, as well as explicitly considering variations in wind directions. This could be particularly significant, as current wind farm configurations do not take into account turbines of different sizes, which could potentially lead to better utilization of the wind farm area, resulting in a higher energy density from the given area. Additionally, the developed model will be tested for the SG 14-236 DD turbines, which have been ordered for the Bałtyk II and Bałtyk III projects. These are the largest offshore turbines manufactured by Siemens Gamesa to date, with each turbine having a capacity of 14.4 MW, once the detailed data and characteristics of the turbines are revealed.
Author Contributions
Conceptualization, Z.M. and M.C.; methodology, Z.M.; software, Z.M.; formal analysis, Z.M. and M.C.; writing—original draft preparation, Z.M.; writing—review and editing, Z.M. and M.C. All authors have read and agreed to the published version of the manuscript.
Funding
This research received no external funding.
Data Availability Statement
The data presented in this study are available on request from the corresponding author.
Acknowledgments
This work was financed by the Department of Cryogenics and Aerospace Engineering of the Wrocław University of Science and Technology.
Conflicts of Interest
The authors declare no conflicts of interest.
References
- Lissaman, P.B.S.; Gyatt, G.W.; Zalay, A. Critical issues in the design and assessment of wind turbine arrays. In Proceedings of the International Symposium on Wind Energy Systems, Stockholm, Sweden, 21 September 1982; Volume 2. [Google Scholar]
- Smith, D.; Taylor, G.J. Further analysis of turbine wake development and interaction data. In Proceedings of the 13th British Wind Energy Association Conference, Swansea, UK, September 1991; Volume 2. [Google Scholar]
- Malecha, Z.; Dsouza, G. Modeling of Wind Turbine Interactions and Wind Farm Losses Using the Velocity-Dependent Actuator Disc Model. Computation 2023, 11, 213. [Google Scholar] [CrossRef]
- Our World in Data. Available online: https://ourworldindata.org/ (accessed on 20 November 2024).
- Global Wind Report 2024. Technical Report, Global Wind Energy Council. 2024. Available online: https://gwec.net/global-wind-report-2024/ (accessed on 20 November 2024).
- Boccard, N. Capacity factor of wind power realized values vs. estimates. Energy Policy 2009, 37, 2679–2688. [Google Scholar] [CrossRef]
- White, E.; Kutz, D.; Freels, J.; Monschke, J.; Grife, R.; Sun, Y.; Chao, D. Leading-Edge Roughness Effects on 63(3)-418 Airfoil Performance. In Proceedings of the 49th AIAA Aerospace Sciences Meeting Including the New Horizons Forum and Aerospace Exposition, Orlando, FL, USA, 4–7 January 2011. [Google Scholar] [CrossRef]
- Gao, L.; Liu, Y.; Zhou, W.; Hu, H. An experimental study on the aerodynamic performance degradation of a wind turbine blade model induced by ice accretion process. Renew. Energy 2019, 133, 663–675. [Google Scholar] [CrossRef]
- Gao, L.; Tao, T.; Liu, Y.; Hu, H. A field study of ice accretion and its effects on the power production of utility-scale wind turbines. Renew. Energy 2021, 167, 917–928. [Google Scholar] [CrossRef]
- Corten, G.; Veldkamp, H. Aerodynamics. Insects can halve wind turbine power. Nature 2011, 412, 41–42. [Google Scholar] [CrossRef] [PubMed]
- Malecha, Z.; Sierpowski, K. Numerical study of the impact of blade erosion and contamination on the performance of a wind turbine. Instal 2023, 7–8. (In Polish) [Google Scholar] [CrossRef]
- Linnemann, T.; Vallana, G. Wind energy in Germany and Europe Pt 2 Status, potentials and challenges for baseload application: European situation in 2017. Atw Int. Z. Fuer Kernenerg. 2019, 64, 141–148. [Google Scholar]
- Malecha, Z. Economic analysis and power capacity factor estimation for an offshore wind farm in the Baltic Sea. Instal 2023, 1, 4–11. (In Polish) [Google Scholar] [CrossRef]
- Gawronska, G.; Gawronski, K.; Król, K.; Gajecka, K. Wind farms in Poland–Legal and location conditions. The case of Margonin wind farm. GLL Geomat. 2019, 3, 25–39. [Google Scholar] [CrossRef]
- DTI. Capital Grants Scheme for North Hoyle Offshore Wind Farm; Technical Report; UK Government: London, UK, 2006. [Google Scholar]
- DTI. Capital Grants Scheme for Scroby Sands Offshore Wind Farm; Technical Report; UK Government: London, UK, 2006. [Google Scholar]
- Malecha, Z. Risks for a Successful Transition to a Net-Zero Emissions Energy System. Energies 2022, 15, 4071. [Google Scholar] [CrossRef]
- Hansen, K.S.; Barthelmie, R.J.; Jensen, L.E.; Sommer, A. The impact of turbulence intensity and atmospheric stability on power deficits due to wind turbine wakes at Horns Rev wind farm. Wind Energy 2012, 15, 183–196. [Google Scholar] [CrossRef]
- Dahlberg, J.A.; Thor, S.E. Power performance and wake effects in the closely spaced Lillgrund offshore wind farm. In Proceedings of the European Offshore Wind Conference & Exhibition 2009 (EOW 2009), Stockholm, Sweden, 14–16 September 2009; European Wind Energy Association: Stockholm, Sweden, 2009; pp. 488–527. [Google Scholar]
- Sørensen, T.; Thøgersen, M.L. Recalibrating Wind Turbine Wake Model Parameters–Validating the Wake Model Performance for Large Offshore Wind Farms. In Proceedings of the European Wind Energy Conference and Exhibition, EWEA, Athens, Greece, 27 February–2 March 2006. [Google Scholar]
- Jensen, N. A Note on Wind Generator Interaction; Number 2411 in Risø-M; Risø National Laboratory: Roskilde, Denmark, 1983. [Google Scholar]
- Katic, I.; Højstrup, J.; Jensen, N. A Simple Model for Cluster Efficiency. In Proceedings of the European Wind Energy Association Conference and Exhibition, EWEC ’86, Proceedings. Vol. 1, Rome, Italy, 6–8 October 1986; Palz, W., Sesto, E., Eds.; A. Raguzzi: Rome, Italy, 1987; pp. 407–410. [Google Scholar]
- Göçmen, T.; van der Laan, P.; Réthoré, P.E.; Diaz, A.P.; Larsen, G.C.; Ott, S. Wind turbine wake models developed at the technical university of Denmark: A review. Renew. Sustain. Energy Rev. 2016, 60, 752–769. [Google Scholar] [CrossRef]
- Peña, A.; Réthoré, P.E.; van der Laan, M.P. On the application of the Jensen wake model using a turbulence-dependent wake decay coefficient: The Sexbierum case. Wind Energy 2015, 19, 763–776. [Google Scholar] [CrossRef]
- Schlichting, H.; Gersten, K. Boundary-Layer Theory, 8th ed.; Springer: Berlin/Heidelberg, Germany, 2000. [Google Scholar] [CrossRef]
- Frandsen, S. On the wind speed reduction in the center of large clusters of wind turbines. J. Wind Eng. Ind. Aerodyn. 1992, 39, 251–265. [Google Scholar] [CrossRef]
- The Wind Power. 2024. Available online: https://www.thewindpower.net (accessed on 20 November 2024).
- Meteorological Measurements at FINO 2. Available online: https://www.fino2.de/en/research/meteorology.html (accessed on 20 November 2024).
- Svensson, N.; Arnqvist, J.; Bergström, H.; Rutgersson, A.; Sahlée, E. Measurements and Modelling of Offshore Wind Profiles in a Semi-Enclosed Sea. Atmosphere 2019, 10, 194. [Google Scholar] [CrossRef]
- Burton, T.; Jenkins, N.; Sharpe, D.; Bossanyi, E. Wind Energy Handbook; John Wiley & Sons: Hoboken, NJ, USA, 2011. [Google Scholar]
- Visbech, J.; Göçmen, T.; Özçakmak, O.S.; Meyer Forsting, A.; Hannesdóttir, A.; Réthoré, P.E. Aerodynamic effects of leading-edge erosion in wind farm flow modeling. Wind Energy Sci. 2024, 9, 1811–1826. [Google Scholar] [CrossRef]
Disclaimer/Publisher’s Note: The statements, opinions and data contained in all publications are solely those of the individual author(s) and contributor(s) and not of MDPI and/or the editor(s). MDPI and/or the editor(s) disclaim responsibility for any injury to people or property resulting from any ideas, methods, instructions or products referred to in the content. |
© 2025 by the authors. Licensee MDPI, Basel, Switzerland. This article is an open access article distributed under the terms and conditions of the Creative Commons Attribution (CC BY) license (https://creativecommons.org/licenses/by/4.0/).













