Abstract
The COVID-19 pandemic has presented a complex situation that requires a balance between control measures like lockdowns and easing restrictions. Control measures can limit the spread of the virus but can also cause economic and social issues. Easing restrictions can support economic recovery but may increase the risk of virus transmission. Mathematical approaches can help address these trade-offs by modeling the interactions between factors such as virus transmission rates, public health interventions, and economic and social impacts. A study using a susceptible-infected-susceptible (SIS) model with modified discrete time was conducted to determine the cost of handling COVID-19. The results showed that, without government intervention, the number of patients rejected by health facilities and the cost of handling a pandemic increased significantly. Lockdown intervention provided the least number of rejected patients compared to social distancing, but the costs of handling the pandemic in the lockdown scenario remained higher than those of social distancing. This research demonstrates that mathematical approaches can help identify critical junctures in a pandemic, such as limited health system capacity or high transmission rates, that require rapid response and appropriate action. By using mathematical analysis, decision-makers can develop more effective and responsive strategies, considering the various factors involved in the virus’s spread and its impact on society and the economy.
1. Introduction
The history of pandemics has recorded several major pandemics that affected millions of people around the world. Some of the important pandemics that occurred throughout history include the Bubonic Pandemic in 1331–1353. This pandemic spread worldwide and killed more than 75 million people, or about 30% of the world’s population at the time [1]. The Spanish pandemic of 1918–1920, caused by the influenza virus, killed more than 50 million people worldwide [2]. The HIV/AIDS pandemic from 1981 to the present started in Africa and has killed millions of people worldwide [3]. The SARS pandemic began in 2002–2004. The SARS virus was first discovered in China and spread worldwide, killing more than 700 people [4]. The COVID-19 pandemic in 2019 until now was caused by the SARS-CoV-2 virus and is still happening today, killing millions of people worldwide [5]. These are just a few examples of major pandemics that have occurred throughout history, and they show how important it is to understand and prepare for future pandemics. The response to a pandemic varies depending on the pandemic that is occurring and which countries are affected. Generally, there are several steps that governments and health organizations take to cope with a pandemic, such as vaccination, isolation and quarantine, testing and contact tracing, lockdown, education, and economic assistance [6]. Responses to pandemics must be tailored to the conditions and characteristics of the current pandemic and often require adaptation and updating over time [7]. Public health, economic, and human rights considerations must be taken into account when making decisions and actions to address the pandemic.
Financing systems during a pandemic play an important role in addressing the economic and social consequences of the pandemic [8]. There are several ways to finance the actions and programs needed to overcome the pandemic, including the government: Governments often use sources of funds such as taxes and debt to finance government programs and economic assistance for individuals and businesses affected by the pandemic. Donations: Donations from individuals, institutions, and companies can help finance the health and social programs needed during a pandemic. Loans: Loans from banks and other financial institutions can help finance government and private programs and measures to address the pandemic. International aid: Aid from other countries and international institutions can help finance government and private programs and actions to overcome the pandemic [9]. Financing systems during a pandemic should consider the balance between financing the actions needed to address the pandemic and ensuring that the financial burden does not negatively impact society and the economy in the long term [10]. Financing policies and programs during a pandemic should be tailored to the conditions and characteristics of the current pandemic and often require adaptation and updating over time.
Multiple disciplines play an important role in managing the pandemic [11]. The role of mathematical models of epidemiology in managing pandemics is to provide insights and predictions about the spread and impact of a disease [12]. These models can help decision-makers make informed choices about how to allocate resources and implement interventions to control the spread of the disease. By simulating different scenarios, these models can provide a more accurate understanding of the potential impact of different intervention strategies, including the potential advantages and disadvantages of each strategy. This information can then be used to guide public health policy and resource allocation, as well as prioritize interventions that are most likely to be effective in controlling the spread of disease [13]. Ultimately, the use of mathematical models of epidemiology can play an important role in reducing the number of infections and deaths during a pandemic and in controlling the spread of disease as quickly and effectively as possible [14].
There have been several studies that have tried to estimate the health expenditure needed to overcome COVID-19. Research conducted by Dudine et al. (2020) focuses on health spending at the country level. This health expenditure is modeled using a discrete stochastic susceptible-infected-recovered (SIR) model approach [15]. People’s health expenditure is then estimated by multiplying the number of infected people who require treatment in health facilities. Other studies have focused on health expenditures in low-income countries [16]. Torres Rueda et al. (2021) estimated health expenditure in low-income countries using the susceptible-exposed-infected-recovered (SEIR) model. The SEIR model was built using a discrete approach, and health expenditure was estimated by the costs required for emergency response, testing, and tracking positive cases, as well as the costs required to treat active and deceased cases of COVID-19 [16]. Another study tried to investigate the potential impact of non-pharmaceutical interventions, such as social activity restrictions, on capital accumulation and economic development at different time scales [17]. The research conducted by Cook et al. (2020) focuses on the potential impact of non-pharmaceutical interventions on model accumulation and economic development at different time scales. This study integrates the SOLOW-type economy model with the SIR model to model the potential impact of economic interventions carried out [18]. In addition, this epidemiological model approach is also used to investigate the impact of the state’s inability to implement social activity restrictions on low-income households [18]. Another study used an epidemiological approach to estimate the effectiveness of COVID-19 vaccination in reducing health expenditure [19]. Another study examined the implications of premature death and death from infection on health and the economy using the SEIR model [20].
In previous studies on modeling the cost of handling a pandemic, the effect of government intervention on the economy was not discussed. Also, models that examine the effect of government intervention on the economy never discuss the health financing that occurs. Even though these two factors can affect the total expenditure for handling a pandemic, in this study, a model is created to estimate the health costs needed to deal with the COVID-19 pandemic in a country. The model created takes into account the possibility of changes in the severity of COVID-19 patients that have not been applied by Dudine et al. (2020) [15]. This is more realistic to do, considering the severity of COVID-19 patients can, indeed, change in the field. To do this, a discrete susceptible-infectious-susceptible (SIS) epidemiological mathematical model with interventions is used to project the number of people who need hospital care over time.
In this study, mathematical modeling is carried out to estimate the costs required for handling a pandemic, along with the trade-offs. This study comprehensively presents how much it costs, estimating the possible changes in mortality and also changes in economic costs for each policy required. The SIS model is used because of its proximity to the phenomenon that occurs, namely the possibility of patients who have been declared cured of COVID-19 and are re-infected. The model also takes into account the influence of interventions made by the government. So that each intervention step taken can have a different effect, be it lockdown, quarantine, or vaccination. Then, for each step taken, its effect on costs and potential trade-offs between reducing the number of cases and minimizing handling costs are also considered. Hence, the model designed in this study not only assesses the handling of pandemic cases in terms of the number of cases and the rate of spread but also its effect on economic conditions. This is then converted into health costs. The model provides information on the cost of handling the infected population, the cost of intervention, and the trade-off between the two. Thus, the information generated by this model is comprehensive for government policymaking. The information provided by the model ultimately allocates funds for population management as well as interventions to contain the spread of the disease. Since this study is evaluative in nature, the allocations generated by this research can then be compared with the expenditures that have been made by the government and then further evaluated. It is hoped that the information provided can be an input for the government to take a mature policy in the event of a pandemic again so that the focus of the interventions carried out is not only to reduce the number in the short term but also save the population as a whole for a longer period.
2. Overview
2.1. Epidemiological Mathematical Model
Mathematical models of epidemiology are tools for predicting and understanding the spread of disease in populations [21,22]. These models include the relationship between people who are infected, people who are susceptible to infection, and people who have recovered or are immune to the disease. Mathematical models of epidemiology can help researchers and policymakers predict the spread of disease, evaluate the effectiveness of prevention and treatment strategies, and plan appropriate public health responses [23,24]. Mathematical models of epidemiology are usually based on systems of differential equations that describe changes in the number of people in different groups over time. For example, the SIR (susceptible-infected-recovered) model is one of the most commonly used mathematical models of epidemiology. The SIR model assumes that the population is divided into three groups: susceptible people (S), infected people (I), and people who have recovered or are immune to the disease (R). The differential equation used for the SIR model is as follows,
Basic SIR model
- Rate of change of susceptible to infected per unit time
- Rate of change of infected to recovered per unit time
- Recovered cure rate per unit time
where is the transmission rate, is the cure or death rate, and is time. The study by Wearing et al. (2005) provides an in-depth explanation of epidemiological mathematical models, including the SIR model and other models used in epidemiology [25]. They discuss applications of epidemiological mathematical models in predicting the spread of infectious diseases such as flu, measles, and HIV, as well as estimating the impact of vaccinations and other preventive measures. They also discuss numerical techniques for solving differential equations and the use of empirical data in validating the model.
In addition to the SIR model, there is also the SIS (susceptible-infected-susceptible) model. In the SIS model, it is assumed that the population that has been infected does not have long-term immunity, and individuals become susceptible again, so this allows reinfection. The differential equation used for the SIS model is as follows,
Besides the SIR and SIS models, there are also other epidemiological mathematical models, such as the SEIR (susceptible-exposed-infected-recovered) model and the more complex compartmental model. However, all mathematical models of epidemiology have the same goal, which is to help in understanding and controlling the spread of disease in the population.
2.2. Discrete Epidemiological Mathematical Model
Discrete epidemiological mathematical models are used to model the spread of disease in discrete populations. These models are often used in epidemiology to predict the spread of disease among individuals in discrete populations. Some examples of commonly used discrete epidemiological mathematical models are the SIR (susceptible-infected-recovered) model and the SEIR (susceptible-exposed-infected-recovered) model. In both models, individuals in the population are categorized into classes based on their status in terms of infection. In epidemiological modeling, most models developed generally use a continuous approach [26]; this is because, mathematically, continuous models are easier to solve. However, in reality, existing epidemiological data are generally collected at discrete time intervals. Thus, this makes discrete models more appropriate to use when considering the way data are collected. In addition, discrete epidemic models are much more intuitive and easy to implement by non-mathematicians due to the similarity in the way data are recorded. This makes discrete models easier to accept and socialize for non-mathematicians. So far, there have been several studies using discrete disease transmission models [27,28,29]. For the simplest discrete epidemic models, Equations (6)–(8) are the models used. So, in discrete form, the equation becomes as follows,
where t is time, α is the cure rate, β is the infection rate, and N is the total population.
2.3. Markov Chain
Markov chains are widely used to estimate dynamic developments involving transitions between observable finite state spaces. The methodology is intuitive and easy to apply, especially for situations where different stages determine the state of observation in addition to the development of the situation. Consequently, this idea is widely recognized in studies and applications in epidemiology [30]. The discrete Markov chain asserts that the present state of the observation is totally dependent on the prior time step’s state at the discrete observation interval. Mathematically, this means that the probability of the observed state at time transitions to state at time is denoted as follows,
where is the identification of the observed state at time . The one-step transition probability is defined as , or it can also be referred to as the daily transition probability. For the transition probability, the -step forward along the observations is denoted as .
2.4. Mean Absolute Percentage Error (MAPE)
In a prediction, the results of the model need to be evaluated to ensure the accuracy of the model in making predictions. So far, there have been various measures used, and the most common measures to use are absolute percentage error (APE) and mean absolute percentage error (MAPE); the formulas for calculating APE and MAPE are as follows,
The performance of forecasting falls into the good accuracy category when the APE and MAPE values produced are less than 20% [31].
3. Materials and Methods
3.1. Materials
The object of the model in this study is a model for determining the cost of handling a pandemic. This model uniquely involves the components of the cost of handling the infected population, the cost of intervention, and the trade-off between the two. The costs of handling infected populations involved in this study are treatment costs, the cost of adding health facilities, mortality costs, and tracking costs. The costs of government intervention involved in this study are social-distancing costs and lockdown costs. Finally, trade-offs are involved to provide a better picture of the total expenditure for pandemic management. The cost of handling a pandemic is modeled using a discrete SIS model with interventions and demographics, and then the projection results from the model are combined with an ingredient-based cost model. The demographic aspect is considered because, in its journey in Indonesia, COVID-19 has been running for approximately 3 years, so to increase the accuracy of the model, the demographic aspect is considered.
The data used in this study are the number of COVID-19 cases in West Java. The cases used in this study are positive, recovered, died, and active. The data used are from the period March 2020–August 2022 in the COVID-19 pandemic. The dataset contains 3632 entries, with 908 entries for each case [32]. Then, for health facilities, the data used are the Indonesian bed occupancy rate (BOR) data. The data were obtained from the COVID-19 Task Force. This dataset is from the period March 2020–August 2022 [33]. For data on the cost of government interventions, this study used the official WHO guidelines for policies and response measures for COVID-19 to determine the set of interventions involved in a country.
Before being used, the data were checked for quality. For COVID-19 case data, the data were checked for consistency by comparing the number of cumulative cases between and . Cumulative case data are said to be consistent when the number of cases in the number of cases in . In addition, for active cases, the data are checked by comparing with existing data from the source and the data calculated by researchers. If an error or difference is found, it will be reconciled with the data source before further analysis is carried out.
3.2. Methods
In this research, two stages are carried out, namely the model development stage and the numerical illustration analysis stage, which are described as follows: First, the model development stage is carried out by examining in depth, especially the research conducted by Dudine et al. [15], which discusses the formulation of a COVID-19 costing model using the SIR model. The existing model was then modified in this study by adding the possibility of a transition in the severity of symptoms in patients infected with COVID-19. The model formulation for determining the cost of handling COVID-19 is carried out using a discrete-time transition opportunity approach. Second, the stage of numerical illustration analysis is carried out to show how the application of the model has been made in determining the cost of handling COVID-19 and to describe how the population dynamics in the COVID-19 pandemic occurred based on the model created. For the analysis of the numerical illustration here, the parameters used in the model are estimated based on the existing data. The flowchart for this research is presented in Figure 1.
Figure 1.
Modeling steps.
Modeling population dynamics of COVID-19 spread with patient hospitalization needs is conducted by first inputting the available pandemic case data. In this case, the available data are COVID-19 data. The data are then used to estimate the parameters of the SIS model formed in this study. The parameters used for this discrete SIS modeling include: The number of people assumed to have immunity at is 0. The duration of infection is . Because there is a transition opportunity, the duration of infection can vary so that, , and . Treated and non-infectable fractions are α. Parameter estimation was performed iteratively, and iteration was stopped when the parameters were fit. Parameters were considered fit when the resulting error size was minimum at a predetermined number of iterations. The error criterion used is the mean absolute percentage error (MAPE). After the parameters are fit, the fraction of COVID-19 patients who need medical care is determined, and the probability of transition of the severity of symptoms in COVID-19 patients is estimated. The model also takes into account the impact of different interventions and control measures on the spread of the virus. By adjusting parameters, such as transmission rate and recovery rate, the model can simulate various scenarios to inform public health decision-making. Overall, this approach provides a valuable tool for predicting the trajectory of the pandemic and evaluating potential strategies to mitigate its impact.
4. Results
This section describes the results obtained in this study. Two results were obtained in this study, namely modeling results and numerical simulation results.
4.1. Modelling Result
In this study, a COVID-19 spread model is formed that considers the possibility of a transition in the severity of symptoms in infected patients, as well as the possibility of reinfection. The model formed has three compartments, namely susceptible (S), infected (I), and susceptible (S). The epidemiological mathematical model that has been created is used to model the COVID-19 pandemic in various scenarios.
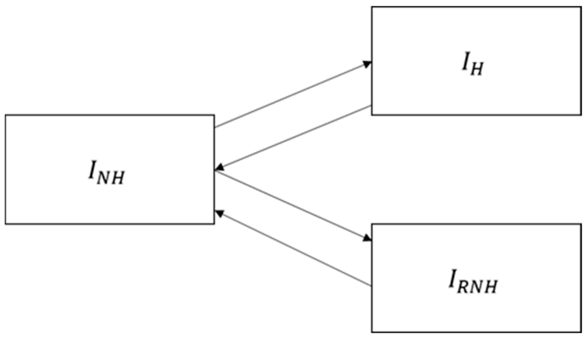
In Equation (5), where is the number of susceptible populations at time and is the number of infected populations at time t. The schematic diagram of the spread of COVID-19 referred to in this study is presented in Figure 2.
Figure 2.
COVID-19 patient dynamics.
The explanation of Figure 2 is as follows:
- A person who is susceptible in period ; can be infected in the next period by COVID-19 into the infected group or remain susceptible
- An infected person can have mild symptoms or severe symptoms For the patient is assumed not to require treatment at a health facility such as a hospital. Whereas for the patient is assumed to require medical treatment at a health facility.
- Due to the limited capacity of health facilities, not all patients with severe symptoms of can receive treatment at health facilities. This results in a treated severe symptom group and an untreated severe symptom group .
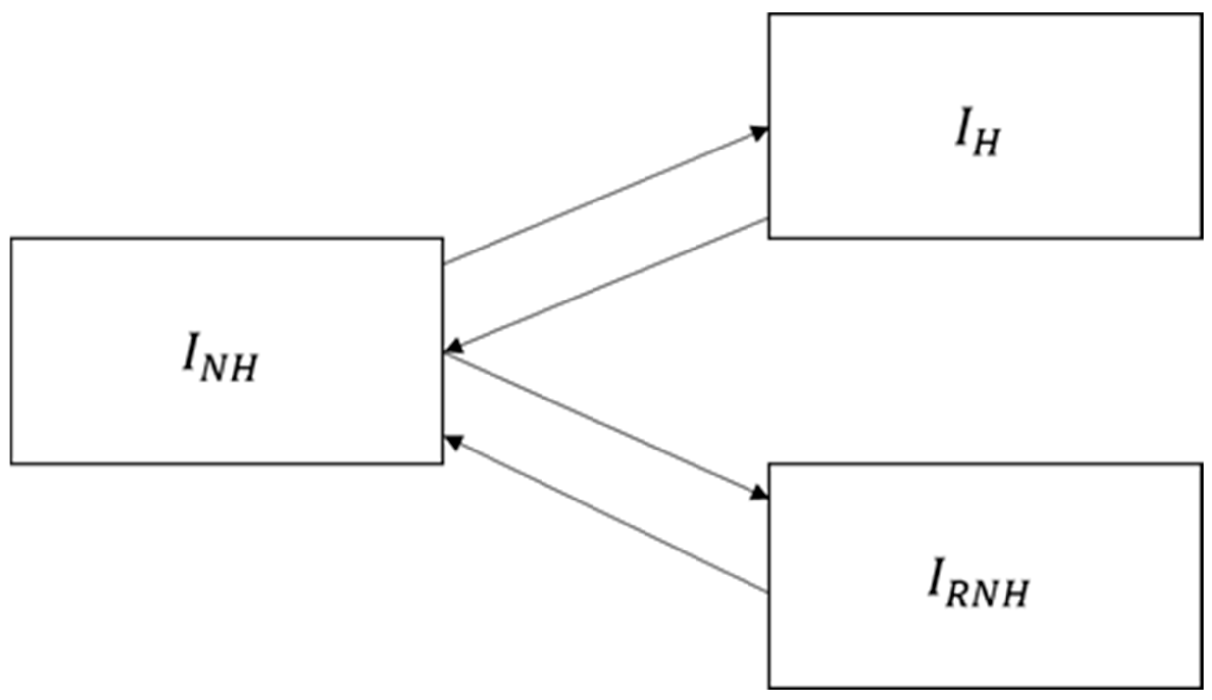
- Transitions in symptom severity may occur between and ). Since consists of and , symptom severity transitions are described in Figure 3.
Figure 3. Symptom severity transition diagram.
Based on this explanation and Figure 3, it is known that compartment is divided into three parts, namely:
- Does not require treatment in a health facility (. It is assumed that in each time period, only a portion of the members of compartment require treatment so that the rest can self-isolate without needing to be treated in health facilities such as hospitals. For groups that are positive for COVID-19 but do not require intensive care in a hospital, the notation is used.
- Needed treatment at a health facility but did not get it, . It is assumed that there are health facilities in each area, but their capacity is limited, resulting in the possibility of patients who need treatment but cannot be treated because of this problem. For groups that are positive for COVID-19 and require intensive care but do not receive it, the notation is used. Equation (12) describes .
- Hospitalized This is a group that needs medical care and receives it. is shown in Equation (13).and at any time , Equation (14) applies.
Next, the capacity constraint in health facilities is modeled. The number of beds for treating COVID-19 patients at the start of the pandemic is shown in Equation (15).
where is the fraction of COVID-19 treatment beds at the start of the pandemic, and is the total number of hospital beds. Over time, the number of COVID-19 patients will increase, which presents a situation where the number of existing hospital capacities needs to be increased. At any time , if the number of beds is less than the number of , then the bed capacity will be increased based on . The existence of capacity constraints makes the addition of beds only possible for fractions of so the number of available bed capacities at time is shown by Equation (16).
for each additional bed, it is assumed that the ratio between the number of beds with nurses and doctors remains the same, as in Equations (17) and (18).
where is the number of nurses, and is the number of doctors. and are the numbers of nurses and doctors in period 0 or at the beginning of the pandemic. Furthermore, Figure 3 has previously shown the dynamics of COVID-19 with the number of patients requiring medical care. It is assumed that the patient’s chances of recovery and death depend on the severity of the symptoms and whether the patient receives treatment. This is shown by Equations (19) and (20).
where is the probability of death, and is the chance of recovery of the COVID-19 patient. After that, let denote the probability that the patient will leave compartment . The probability of this happening is if the patient recovers or dies. The relations for , , and are found in Equations (21)–(23).
Patients can experience changes in the severity of symptoms, and this keeps the patient in compartment , but only the severity of the symptom changes. If denotes the probability of transition, then the probability that no transition occurs or the patient leaves compartment is given by Equation (24).
and this applies to , and , if Equation (24) is substituted with Equations (21)–(23), then Equations (25)–(27) are as follows,
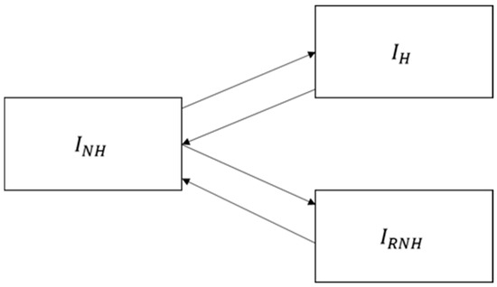
The relationship between the transition probability p and the probability of a patient exiting compartment I is depicted in Figure 4.
Figure 4.
Diagram and in compartment .
Furthermore, due to possible transitions in symptom severity, patients infected with COVID-19 may have different treatment durations. Therefore, needs to be considered from time to time, as in Equation (28).
Next, the number of patients who can no longer infect others corresponds to the number who died and recovered from COVID-19. Hence,
Now suppose is the average number of people infected by one person per unit time , and is the number of people infected by an infectious person during the course of his infection. Thus, it becomes Equation (31).
Based on the explanation that has been made, the number of new infections each time is given in Equation (32).
is always positive, , where is the type of government intervention, and is the fraction of the infected population that is properly quarantined, so that for the compartments formed, Equations (33)–(37) apply.
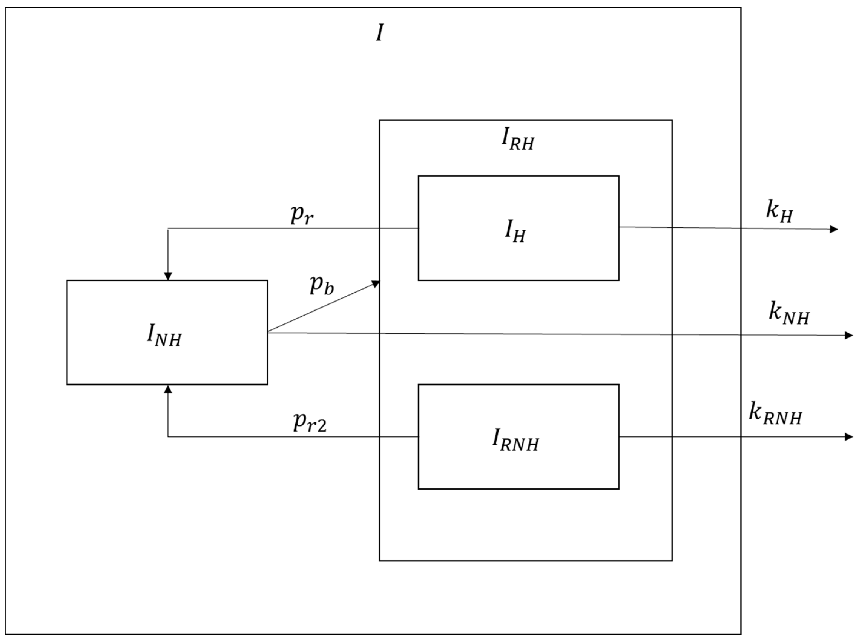
After modeling the spread of COVID-19 and the number of patients who need treatment, modeling is carried out regarding the cost of handling the COVID-19 pandemic. In this study, the cost of handling the COVID-19 pandemic considers three types of financing. The first type is the cost of care for patients who experience severe symptoms of . Meanwhile, the second type is the cost of additional health facilities for patients with severe symptoms who are rejected on the grounds that the existing health facilities are full . Then, the last is the cost of interventions carried out during the time span . In this study, the cost of treating COVID-19 patient is formulated in Equation (38),
where is the cost of paying nurses, is the cost of paying doctors, and is the cost of administration and medicines needed to treat COVID-19 patients within 1 week. Meanwhile, the cost of adding health facilities is formulated in Equation (39),
where is the floor function, is the cost of building a health facility, is the cost of adding one new bed, and is the number of COVID-19 treatment beds available at time . Furthermore, the cost of intervention is calculated using Equation (40).
There are various interventions that can be conducted in one time interval. Interventions can also be carried out simultaneously between intervention 1, intervention 2, intervention 3, and so on. Thus, the cost of intervention is calculated using Equation (40). Based on Equations (38)–(40), the total cost of handling COVID-19 patient needs to be prepared in Equation (41),
4.2. Parameter Estimation Results
In this study, the parameters used were estimated using real data to provide simulation results closest to the actual phenomena in the field. There are 11 parameters used in this study. Ten are estimated parameters, and one is assumed because no data are available. In this study, the assumed parameter is parameter n, which is the bed fraction that can be added within the next week. In this study, we used the value of . We use this value by considering the time interval used; one week is a short time, meaning that even though the government has funds, there is still a time limit that can limit the number of beds that can be added. Furthermore, for other estimated parameters, we use real data related to the definition of these parameters. All parameter estimation results in this study are summarized in Table 1.
Table 1.
Parameter estimation results.
- Parameter is estimated using data on the number of West Java hospital beds in 2019.
- The parameter was estimated using daily COVID-19 mortality data. The parameters are calibrated from the parameters using deaths that occurred during quarantine.
- The parameter was estimated using daily COVID-19 recovery data. For parameters , was calibrated from parameter using cures that occurred during quarantine.
- Parameter is estimated using parameters and using Equations (21)–(23).
- Parameter is estimated using parameter and Equations (25)–(27).
The parameters reported in Table 1 are then employed in this work for numerical simulations of the COVID-19 spread model. The parameter estimation findings are validated before being utilized in numerical simulations, assessing the model’s correctness against the data used. The validation process ensures that the model accurately reflects real-world scenarios and can provide reliable predictions for the spread of COVID-19. This rigorous approach enhances the credibility and usefulness of the simulation results in guiding public health interventions and decision-making. This is accomplished graphically by showing a simulation of the model created using the parameters listed in Table 1. Figure 5 and Figure 6 depict a plot of model predictions versus data from COVID-19 cases in West Java.
Figure 5.
Comparison between model predictions and data in the S compartment.
Figure 6.
Comparison between model predictions and data in compartment I.
Figure 5 compares model predictions and real data on vulnerable or susceptible (S) populations. Based on the graph, it is known that the parameters used in this study are suitable for use in numerical simulations, as evidenced by the identical shapes of the model prediction plots and real data. The graph indicates that the model’s predictions are accurate compared to the original data, and the parameters are fit for numerical simulations. The close alignment between the model predictions and actual data suggests that the model is effective in capturing the dynamics of COVID-19 cases in West Java. This validation of the parameters used enhances the reliability of the numerical simulations conducted in this study. Figure 6 compares the predictions of the model with the real data on the infected (I) population.
To obtain the prediction graph of the model in I, Equation (34) is used. Based on the graph, it is known that the prediction results of the model are in accordance with the real data. This is evident from the simulation graph, which is identical to the original data. This alignment between the model predictions and actual data validates the accuracy of the parameters utilized in the study. The consistency between the simulation graph and real data further supports the reliability of the numerical simulations conducted. This means that the model’s predictions are accurate compared to the original data, and the parameters are fit for numerical simulations. Overall, the close match between the simulation results and real data indicates that the model is a reliable tool for predicting outcomes in similar scenarios. The successful validation of the parameters used in the study enhances the credibility of the numerical simulations performed.
4.3. Sensitivity Analysis
Before utilizing the estimated parameters in the numerical simulation, a sensitivity analysis is performed for each parameter. This procedure aids in understanding how variations in each parameter influence the overall model output, thereby facilitating necessary adjustments. By calculating the MAPE in compartment I, researchers can evaluate the model’s accuracy and implement further refinements to enhance reliability. The sensitivity analysis was conducted using the one-at-a-time (OAT) method, wherein each parameter was systematically varied individually while holding the others constant. This method allows for a clear and isolated assessment of the impact of each parameter on the model’s output. By adjusting one parameter at a time and observing the corresponding changes in the model’s performance metrics, such as the mean absolute percentage error (MAPE), it becomes possible to identify the parameters with the most significant influence on the model. This comprehensive approach facilitates a thorough understanding of the model’s sensitivity to different parameters, thereby aiding in its refinement to enhance accuracy and robustness. Furthermore, the OAT method helps identify potential interactions between parameters, ensuring that the model remains stable and reliable under varying conditions. This analysis involves varying the estimated parameters by ±10%. Subsequently, the simulation is conducted, and the mean absolute percentage error (MAPE) is calculated for compartment I. The results of the sensitivity analysis, depicted in Figure 7, illustrate the impact of parameter variations on the MAPE baseline.
Figure 7.
Change in MAPE.
Based on Figure 7, the parameter induces the most significant change in MAPE, amounting to 3.824%. This is followed by the parameter, which results in a MAPE change of 3.042%. Notably, the transition parameters exhibit minimal impact on MAPE; for instance, the parameter alters MAPE by −0.012%, while the parameter causes a 0.699% change. Figure 7 further illustrates that the overall changes in MAPE are relatively modest. With a baseline MAPE of 7.12%, the largest variation still keeps the MAPE value within the 10% range. This indicates that, despite the variations in the parameters, the MAPE value remains within the acceptable threshold, as the maximum MAPE criterion for this study is set at 20%. Overall, the findings demonstrate that the transition parameters have a relatively minor effect on MAPE values, maintaining changes within permissible bounds. This suggests that the model is robust and can effectively accommodate variations in these parameters without significantly compromising accuracy.
4.4. Numerical Simulation Results
This numerical simulation’s objective is to depict the population dynamics in the COVID-19 pandemic. To obtain a simulation graph of each population compartment, apply Equations (33)–(37). The simulation graph will provide a visual representation of how each population compartment changes over time based on the equations provided. This will allow for a better understanding of the dynamics of the COVID-19 pandemic and help in making informed decisions regarding public health measures. The numerical simulation in this work makes use of the parameters presented in Table 1. Figure 8, Figure 9 and Figure 10 depict the COVID-19 population patterns in West Java with various scenarios.
Figure 8.
Numerical simulation results without intervention scenario.
Figure 9.
Numerical simulation results of social distancing scenario.
Figure 10.
Numerical simulation results of lockdown scenario.
Figure 8 shows the results of numerical simulations of the spread of the COVID-19-infected population using the model that has been formed. In Figure 8, the scenario used is the scenario without intervention. The simulation illustrates a rapid increase in the number of infected individuals over time, highlighting the importance of implementing interventions to control the spread of the virus. These findings emphasize the potential impact of preventative measures on mitigating the effects of the pandemic. Figure 8 shows that without intervention, the COVID-19 cases experienced are very high. In addition, in the scenario without intervention from the government, it was found that patient rejection occurred twice, namely in August 2021 and February 2022. This indicates that without intervention, the healthcare system in West Java may become overwhelmed, leading to patient rejection. Therefore, it is crucial for authorities to enforce strict measures such as lockdowns, mask mandates, and social distancing to prevent such a scenario. Implementing these interventions can help reduce the burden on healthcare facilities and ultimately save lives. The data from Figure 8 highlights the importance of implementing effective measures to control the spread of COVID-19 in order to prevent such high numbers of cases and potential healthcare system strain.
Figure 9 shows the results of numerical simulations of the spread of the COVID-19-infected population using the model that has been formed. In Figure 9, the scenario used is the scenario with social distancing intervention. The simulation results indicate a significant reduction in the number of infected individuals compared to scenarios without social distancing measures. This highlights the effectiveness of implementing social distancing interventions in controlling the spread of COVID-19. Figure 9 shows that with social distancing intervention, the COVID-19 cases experienced have decreased when compared to without intervention. In addition, in the scenario with social distancing intervention, it was found that patient rejection occurred twice, namely in August 2021 and February 2022, with a smaller number of rejections compared to without intervention. These findings suggest that social distancing measures have played a crucial role in reducing the burden on healthcare systems by preventing a surge in cases. The data underscores the importance of continuing to adhere to these interventions to mitigate the impact of the pandemic. These findings suggest that implementing social distancing measures can effectively reduce the spread of COVID-19 and decrease the number of patient rejections. The results highlight the importance of proactive interventions in controlling the pandemic and minimizing healthcare system strain.
Figure 10 shows the results of numerical simulations of the spread of the COVID-19-infected population using the model that has been formed. In Figure 10, the scenario used is the scenario with lockdown intervention. Figure 10 shows that with lockdown intervention, the COVID-19 cases experienced have decreased when compared to no intervention and social distancing. In addition, in the scenario with lockdown intervention, it was found that patient rejection only occurred once, in February 2022, with a smaller number of rejections when compared to no intervention and social distancing. Overall, the results suggest that implementing a lockdown intervention can effectively reduce the spread of COVID-19 and minimize patient rejections. This highlights the importance of strict measures for controlling the pandemic and protecting public health.
Based on Figure 8, Figure 9 and Figure 10, it is found that, in general, the number of patients who have severe symptoms and need treatment is 0, meaning that in most time intervals, all COVID-19 patients with severe symptoms will obtain treatment despite the increase in infected cases. This suggests that the healthcare system in West Java is able to effectively manage the influx of severe COVID-19 cases. The data from this simulation can be valuable for policymakers in determining the effectiveness of different public health measures. However, when the spike in infected cases is too high, for example, in June 2021 and January 2022, this will cause the hospital to be unable to handle the spike in cases and result in COVID-19 patients being rejected or not receiving treatment. When reviewed based on the scenario used, it was found that in the social distancing scenario, the number of patient rejections was less than without intervention, whereas in the lockdown scenario, there were only rejections in the January 2022 period. This highlights the importance of implementing timely and effective public health measures to prevent overwhelming healthcare systems during spikes in cases. It also underscores the need for continuous monitoring and adjustment of strategies based on simulation outcomes to ensure optimal outcomes. To determine how the impact on health costs needs to be prepared, Equations (40) and (41) are used. The graph of the costs that need to be prepared by the government is presented in Figure 11, Figure 12 and Figure 13.
Figure 11.
Cost estimation results without intervention scenario.
Figure 12.
Cost estimation results with social distancing scenario.
Figure 13.
Cost estimation results with lockdown scenario.
Figure 11 shows the estimated cost of handling the COVID-19 pandemic based on the modeling results. The cost projections take into account various factors such as healthcare expenses, economic impacts, and government response measures. It is important to note that these estimates are subject to change based on the evolving nature of the pandemic and the effectiveness of containment efforts. Figure 11 shows that there is a spike in handling costs in the periods of August 2021 and February 2022. Figure 11 shows that there was also a surge in COVID-19 cases and patient rejection in the same period. These spikes in handling costs coincide with peaks in COVID-19 cases and patient rejection rates, indicating a direct correlation between the two. This information can help policymakers and healthcare providers better anticipate and allocate resources during future surges in the pandemic. This shows that the rejection of COVID-19 patients can increase the costs that need to be incurred by the government. This is because the government must accommodate all COVID-19 patients, and when there are cases of rejection, the bed capacity needs to be increased, and this causes a surge in the cost of handling the COVID-19 pandemic.
Figure 12 shows the estimated cost of handling the COVID-19 pandemic based on the modeling results. Based on Figure 12, the costs that need to be incurred for handling a pandemic with a social distancing scenario are less than without any intervention. This suggests that implementing social distancing measures can help reduce the financial burden associated with managing a pandemic. It is crucial for policymakers to consider these cost estimates when making decisions about public health interventions. In addition, Figure 12 shows that there is a spike in handling costs in the periods of August 2021 and February 2022, with a smaller amount when compared to the scenario without any intervention. Figure 9 shows that there was also a spike in COVID-19 cases and patient rejection during the same period. This shows that the rejection of COVID-19 patients can increase the costs that need to be incurred by the government. This is because the government must accommodate all COVID-19 patients, and when there are cases of rejection, the bed capacity needs to be increased, and this causes a surge in the cost of handling the COVID-19 pandemic. Therefore, reducing patient rejection can help mitigate the financial burden on the government and healthcare system. Implementing strategies to address patient rejection, such as improving communication and coordination between healthcare facilities, could lead to more efficient use of resources and ultimately lower costs in managing the pandemic.
Figure 13 shows the estimated cost of handling the COVID-19 pandemic based on the modeling results with the lockdown scenario. The estimated cost includes healthcare expenses, economic losses, and government stimulus packages. It is crucial for policymakers to consider these projections when making decisions regarding public health measures and economic recovery plans. Based on Figure 13, the costs that need to be incurred for handling a pandemic with a lockdown scenario are less than without any intervention. In addition, Figure 13 shows that there is a spike in handling costs in the periods of August 2021 and February 2022, with a smaller amount when compared to the scenario without intervention. This suggests that implementing a lockdown can help mitigate the overall costs associated with a pandemic. However, it is important to carefully weigh the economic impact of such measures against their potential benefits in terms of public health and long-term recovery. In Figure 10, it is shown that there was also a spike in COVID-19 cases and patient rejection during the same period. This shows that the rejection of COVID-19 patients can increase the costs incurred by the government. This is because the government must accommodate all COVID-19 patients, and when there are cases of rejection, the bed capacity needs to be increased; this causes a surge in the cost of handling the COVID-19 pandemic. This leads to a strain on resources and funding for other important public health initiatives. It is crucial for governments to address patient rejection issues promptly to ensure efficient allocation of resources and prevent unnecessary strain on the healthcare system. By implementing strategies to reduce patient rejection rates, governments can better manage the financial burden of the COVID-19 pandemic and prioritize funding for various public health initiatives.
Based on Figure 11, Figure 12 and Figure 13, it was found that the cost of handling COVID-19 increased when the number of existing COVID-19 patients also increased. In addition, it was also found that after the spike occurred, the cost of handling COVID-19 cases decreased and tended to remain low until the next spike occurred. Therefore, it is crucial for the government to closely monitor the number of existing COVID-19 patients in order to anticipate and prepare for potential spikes in health costs. By using Equations (40) and (41) and analyzing the graph in Figure 8, Figure 9 and Figure 10, policymakers can make informed decisions to effectively manage and allocate resources for handling COVID-19 cases. This suggests that there is increased public awareness after a spike in cases, leading to a reduction in the number of COVID-19 cases so that people begin to feel safe again and relax health protocols, which causes the number of COVID-19 cases to increase again. It is crucial for policymakers to closely follow trends and patterns in COVID-19 cases to implement timely interventions and prevent overwhelming healthcare systems. By continuously monitoring and adjusting strategies based on data analysis, the impact of potential spikes in health costs can be minimized. Based on Figure 11, Figure 12 and Figure 13, it is found that the highest total cost is experienced by scenario 3 with lockdown intervention, which is 73 billion IDR; the highest cost is followed by scenario 1 with no intervention scenario, which has a cost of 67.42 billion IDR; and the smallest cost is experienced by scenario 2, which costs 32.872 billion IDR. These findings suggest that implementing a lockdown intervention can lead to higher total costs compared to scenarios with no intervention. It is crucial for policymakers to carefully consider the economic implications of different strategies for managing COVID-19 outbreaks.
5. Discussion
This study aims to formulate a costing model for COVID-19 patients, including (a) patients receiving treatment until they recover and (b) additional hospital bed capacity when required. The formulation of the model to determine the cost of handling COVID-19, which involves the possibility of a transition in the severity of symptoms in this study, has been successfully carried out, the results of which are presented in Equations (33)–(37). The model takes into account various factors such as length of hospital stay, severity of symptoms, and required medical interventions to provide a comprehensive cost estimate. By incorporating these variables, healthcare providers can better understand the financial implications of treating COVID-19 patients and allocate resources effectively. The model given by the equation can be used to determine the number of costs that need to be prepared by the government to treat infected patients and increase capacity. Additionally, the model takes into account the potential fluctuation in patient conditions, ensuring a more accurate estimation of costs. By utilizing this comprehensive costing model, policymakers can better allocate resources and plan for potential surges in COVID-19 cases. This will ultimately help in optimizing healthcare resources and ensure a timely and effective response to the pandemic. Furthermore, the model can be adapted for future outbreaks or other public health emergencies to improve preparedness and response strategies.
Based on the simulations conducted, we found that over time, the susceptible population will continue to decrease. The situation arises due to the ongoing occurrence of COVID-19 infections followed by subsequent recoveries within the population over a period of time. This is what causes the vulnerable population to continue to grow over time. The opposite is true for the recovered population—over time, this population will continue to grow. An interesting thing happened in the infected population. A fluctuation was found in this population, including in June 2021 and January 2022. During these months, there was a significant increase in COVID-19 cases, leading to a spike in the infected population. However, with proper measures and interventions, the infected population gradually decreased again. There was a significant spike during that period, before further decreasing until it returned to a stable low. This increase affects both the incurred expenses and the quantity of patients who are refused admission by the hospital. It is important for healthcare facilities to monitor these fluctuations closely in order to allocate resources effectively and provide timely care to those in need. By understanding the trends in the infected population, hospitals can better prepare for potential surges in cases and adjust their capacity accordingly. Additionally, tracking these trends can also help hospitals identify any potential outbreaks in the community and implement preventive measures to contain the spread of the virus. This proactive approach can ultimately help save lives and prevent overwhelming healthcare systems. It is crucial for healthcare facilities to collaborate with public health agencies and utilize data analytics to stay ahead of the curve in managing the pandemic. By leveraging technology and predictive modeling, hospitals can make informed decisions that prioritize patient care and safety during these uncertain times.
Based on the simulations, we found that although the number of infected cases occasionally increased, these infected cases would always receive treatment in health facilities, as reflected in Figure 10. However, when there is a significant increase in cases (for example, in June 2021 and January 2022), the existing health facilities cannot handle the surge in cases, resulting in denied admission of COVID-19 patients. Strategic planning is required to address this issue. Hospitals can implement emergency response plans to expand capacity and resources during times of high demand. By proactively preparing for potential surges in cases, hospitals can ensure that all patients receive the care they need during the pandemic. Additionally, hospitals can collaborate with other healthcare facilities to coordinate patient transfers and optimize bed availability. This coordinated effort can help alleviate strain on individual hospitals and ensure that patients are able to receive timely and appropriate care. This increased the number of health expenditures, as shown in Figure 11, Figure 12 and Figure 13, and the number of deaths. Based on these findings, there are two things that the government needs to focus on in handling COVID-19. The first is that the government needs to take a policy that can stabilize the number of newly infected cases every week. Of course, reducing the number of daily new infections to 0 is impossible considering the current status of COVID-19, which has become endemic. The second focus should be on strengthening and expanding the existing health facilities to accommodate the increasing number of cases. This emphasizes that proper investment in additional beds in healthcare facilities will help reduce the burden on hospitals and prevent the rejection of COVID-19 patients, which will ultimately lead to lower healthcare costs and mortality rates.
Additionally, investing in public health education and awareness campaigns can help in promoting preventive measures and responsible behavior among the population. By emphasizing the importance of vaccination, mask-wearing, and social distancing, we can collectively work towards effectively managing the spread of the virus. However, it is possible to suppress the number of new cases at a stable low rate. If this can be done, there will be no cases of patients being denied admission by the hospital. The second focus is the addition of health facilities; the greater the government’s capacity to add beds per period, the less likely it is that healthcare providers will be unable to admit patients. In this study, we used the parameter n = 0.05, meaning that if the government’s capacity to add beds is greater than that, the number of denied admission patients will decrease when a spike occurs, or maybe it can be 0. However, if the government’s capacity is smaller, then the number of denied admission cases will be even greater. Patients who are rejected from medical care are often those with severe symptoms that necessitate appropriate treatment at a healthcare facility. These individuals require urgent attention to manage their conditions effectively. When a large number of these patients are turned away, it can lead to a critical situation where their health deteriorates rapidly. Without timely medical intervention, their chances of recovery diminish significantly. This increase in untreated severe cases can substantially raise mortality rates. Therefore, the healthcare system must ensure that patients with severe symptoms receive the necessary care. Failing to do so not only impacts individual health outcomes but also contributes to a higher overall mortality rate within the community.
This highlights the importance of strategic planning and investment in healthcare infrastructure to ensure adequate capacity during times of increased demand. It also underscores the potential consequences of inadequate government intervention in healthcare system management.
6. Conclusions
This study developed a discrete susceptible-infected-susceptible (SIS) model to project the number of patients requiring hospitalization. The model considers the possibility of transitioning the severity of the patient’s symptoms, either from mild to severe or vice versa. The results showed that early intervention and effective containment measures could significantly reduce the burden on healthcare systems. This dynamic approach to modeling patient outcomes can help inform resource allocation and public health strategies during disease outbreaks. By accurately predicting hospitalization needs, healthcare facilities can better prepare for surges in patients and allocate resources effectively. This proactive approach can ultimately save lives by ensuring that patients receive the appropriate level of care in a timely manner. Additionally, it highlights the importance of implementing preventative measures to control the spread of infectious diseases. This proactive approach can ultimately save lives and prevent overwhelming the healthcare system. The results of the projected number of patients are then used to determine the cost of treatment and additional beds following the provisions set by the Government of Indonesia. This allows for efficient planning and budgeting to ensure that hospitals have the necessary resources to accommodate the predicted influx of patients.
By utilizing this model, healthcare facilities can optimize their response to potential increases in patient volume and provide better care for those in need. The model that has been created is simulated on COVID-19 data from West Java Province. This data-driven approach helps hospitals anticipate and prepare for surges in patient numbers, ultimately improving the overall quality of care provided. Additionally, by analyzing trends and patterns in the data, healthcare facilities can make informed decisions to enhance their capacity and response strategies. This study found that the social distancing scenario gave the best result in COVID-19 intervention. Social distancing reduces the number of hospitalized persons while still maintaining a reasonable cost. The resulting estimated cost of treating COVID-19 patients can be used as input for policies and as an alert to the government about expenses that may occur in various scenarios. This information can help healthcare facilities, and policymakers make informed decisions about resource allocation and planning for future outbreaks. By analyzing the data from this study, authorities can implement effective measures to control the spread of the virus and minimize the economic impact on the healthcare system. Additionally, understanding the cost implications of hospitalizations can aid in developing strategies to ensure adequate funding and support for healthcare systems during times of crisis. This data can also be valuable for predicting potential financial burdens on individuals and families affected by COVID-19.
This research underscores the critical importance of effectively managing infection rates and adequately preparing for patient care in the event of a pandemic. The COVID-19 pandemic has profoundly impacted both the population and the economy, illustrating the necessity for robust contingency plans to ensure better preparedness for future pandemics. Initial governmental responses played a pivotal role in containing the spread of the virus. Swift interventions, such as lockdowns, travel restrictions, and social distancing mandates, were implemented to prevent the healthcare system from being overwhelmed by new infections. Simultaneously, the government undertook significant efforts to increase the bed capacity in healthcare facilities, including the rapid construction of temporary hospitals, the conversion of existing facilities to COVID-19 treatment centers, and the procurement of additional medical equipment and supplies. These measures were designed to address potential worst-case scenarios involving sudden and substantial surges in infection rates. Proactive strategies are essential for minimizing mortality rates and preserving human lives. By expanding healthcare capacity, governments can ensure that adequate medical care is available for all patients, thus reducing the strain on existing resources and maintaining the functionality of the healthcare system for essential services beyond COVID-19 treatment. This study illustrates that a comprehensive approach, encompassing both infection control and healthcare capacity expansion, is paramount in mitigating the detrimental effects of pandemics. The effective management of infection rates through targeted interventions, combined with strategic enhancements to healthcare infrastructure, can significantly reduce the impact on public health and the economy. This research advocates for the continuous development and refinement of pandemic preparedness plans to safeguard against future outbreaks and ensure a resilient healthcare system capable of responding to crises efficiently and effectively.
In this study, we used the parameter n = 0.05, meaning that if the government’s capacity to add beds is greater than that, then the number of denied admissions will decrease the government’s capacity to add beds is greater than that, then the number of patients denied admission will decrease when there is a surge, or it could possibly be 0. However, if the capacity of the government is smaller, then the number of cases denied admission will be even greater. This highlights the importance of strategic planning and investment in health infrastructure to ensure adequate capacity during times of increased demand. It also underscores the potential consequences of inadequate government intervention in healthcare system management. The limitation of this study is that it only examines the dynamics between the financing components of pandemic intervention without paying attention to its impact on the macroeconomy as a whole. The link between pandemic financing and macroeconomics is also important, considering that the sustainability of society in a pandemic situation depends on both.
In future research, accurately estimating this parameter will yield more precise results regarding the costs associated with managing the COVID-19 pandemic. With a well-estimated value of the parameter n, hospitals can reduce the number of patients they must turn away and diminish the expenses associated with expanding hospital capacity. This is because an accurately estimated n will enable the determination of the optimal number of additional beds required by the government. Consequently, this minimizes the disparity between the current number of available beds and the number of new infections, ensuring a more efficient allocation of resources and better preparedness for future waves of the pandemic.
Author Contributions
Conceptualization, D.S.P. and S.; methodology, N.A.; software, D.S.P.; validation, D.S.P., S. and N.M.Y.; formal analysis, S.; investigation, N.A. and N.M.Y.; resources, N.A.; data curation, D.S.P.; writing—original draft preparation, D.S.P.; writing—review and editing, S. and N.M.Y.; visualization, D.S.P.; supervision, N.A.; project administration, S.; funding acquisition, S. All authors have read and agreed to the published version of the manuscript.
Funding
This research was funded by the Padjadjaran Postgraduate Excellence Scholarship (BUPP) grant number 2203/UN6.3.1/PT.00/2022.
Data Availability Statement
The original data presented in the study are openly available in Github at https://github.com/DhikaSuryaP/SIS-DATASET.
Acknowledgments
The authors would like to thank the Dean of the Faculty of Mathematics and Natural Sciences, Universitas Padjadjaran, and the Directorate of Research and Community Service (DRPM), who has given a grant: Pendidikan Magister Menuju Doktor Bagi Sarjana Unggul (PMDSU/BUPP).
Conflicts of Interest
The authors declare no conflicts of interest.
References
- Walløe, L. 3 Medieval and modern bubonic plague: Some clinical continuities. Med. Hist. 2008, 52, 59–73. [Google Scholar] [CrossRef]
- Tumpey, T.M.; Basler, C.F.; Aguilar, P.V.; Zeng, H.; Solórzano, A.; Swayne, D.E.; Cox, N.J.; Katz, J.M.; Taubenberger, J.K.; Palese, P.; et al. Characterization of the reconstructed 1918 Spanish influenza pandemic virus. Science 2005, 310, 77–80. [Google Scholar] [CrossRef] [PubMed]
- Sabin, C.A.; Lundgren, J.D. The natural history of HIV infection. Curr. Opin. HIV AIDS 2013, 8, 311. [Google Scholar] [CrossRef]
- Lam, W.K.; Zhong, N.S.; Tan, W.C. Overview on SARS in Asia and the world. Respirology 2003, 8, S2–S5. [Google Scholar] [CrossRef] [PubMed]
- Ciotti, M.; Ciccozzi, M.; Terrinoni, A.; Jiang, W.C.; Wang, C.B.; Bernardini, S. The COVID-19 pandemic. Crit. Rev. Clin. Lab. Sci. 2020, 57, 365–388. [Google Scholar] [CrossRef] [PubMed]
- Hale, T.; Angrist, N.; Goldszmidt, R.; Kira, B.; Petherick, A.; Phillips, T.; Webster, S.; Cameron-Blake, E.; Hallas, L.; Majumdar, S.; et al. A global panel database of pandemic policies (Oxford COVID-19 Government Response Tracker). Nat. Hum. Behav. 2021, 5, 529–538. [Google Scholar] [CrossRef] [PubMed]
- Izumi, T.; Sukhwani, V.; Surjan, A.; Shaw, R. Managing and responding to pandemics in higher educational institutions: Initial learning from COVID-19. Int. J. Disaster Resil. Built Environ. 2021, 12, 51–66. [Google Scholar] [CrossRef]
- Bai, H.M.; Zaid, A.; Catrin, S.; Ahmed, K.; Ahmed, A. The socio-economic implications of the coronavirus pandemic (COVID-19): A review. Int. J. Surg. 2020, 8, 8–17. [Google Scholar]
- Rahim, F.; Allen, R.; Barroy, H.; Gores, L.; Kutzin, J. COVID-19 Funds in Response to the Pandemic; International Monetary Fund: Washington, DC, USA, 2020. [Google Scholar]
- Sen-Crowe, B.; McKenney, M.; Elkbuli, A. Public health prevention and emergency preparedness funding in the United States: Are we ready for the next pandemic? Ann. Med. Surg. 2020, 59, 242. [Google Scholar] [CrossRef]
- Rudolph, C.W.; Allan, B.; Clark, M.; Hertel, G.; Hirschi, A.; Kunze, F.; Shockley, K.; Shoss, M.; Sonnentag, S.; Zacher, H. Pandemics: Implications for research and practice in industrial and organizational psychology. Ind. Organ. Psychol. 2021, 14, 1–35. [Google Scholar] [CrossRef]
- Bakker, A.; Cai, J.; Zenger, L. Future themes of mathematics education research: An international survey before and during the pandemic. Educ. Stud. Math. 2021, 107, 1–24. [Google Scholar] [CrossRef] [PubMed]
- Adiga, A.; Dubhashi, D.; Lewis, B.; Marathe, M.; Venkatramanan, S.; Vullikanti, A. Mathematical models for covid-19 pandemic: A comparative analysis. J. Indian Inst. Sci. 2020, 100, 793–807. [Google Scholar] [CrossRef] [PubMed]
- Jewell, N.P.; Lewnard, J.A.; Jewell, B.L. Predictive mathematical models of the COVID-19 pandemic: Underlying principles and value of projections. JAMA 2020, 323, 1893–1894. [Google Scholar] [CrossRef] [PubMed]
- Dudine, P.; Hellwig, K.P.; Jahan, S. A Framework for Estimating Health Spending in Response to COVID-19; International Monetary Fund: Washington, DC, USA, 2020. [Google Scholar]
- Torres-Rueda, S.; Sweeney, S.; Bozzani, F.; Naylor, N.R.; Baker, T.; Pearson, C.; Eggo, R.; Procter, S.R.; Davies, N.; Quaife, M.; et al. Stark choices: Exploring health sector costs of policy responses to COVID-19 in low-income and middle-income countries. BMJ Glob. Health 2021, 6, e005759. [Google Scholar] [CrossRef] [PubMed]
- Cook, M.J.; Dri, G.G.; Logan, P.; Tan, J.B.; Flahault, A. COVID-19 Down Under: Australia’s initial pandemic experience. Int. J. Environ. Res. Public Health 2020, 17, 8939. [Google Scholar] [CrossRef]
- McQuade, S.T.; Weightman, R.; Merrill, N.J.; Yadav, A.; Trélat, E.; Allred, S.R.; Piccoli, B. Control of COVID-19 outbreak using an extended SEIR model. Math. Models Methods Appl. Sci. 2021, 31, 2399–2424. [Google Scholar] [CrossRef]
- Samuel, J.; Sinha, S. Optimal control in pandemics. Phys. Rev. E 2021, 103, L010301. [Google Scholar] [CrossRef] [PubMed]
- De Lara-Tuprio, E.P.; Estuar, M.R.; Sescon, J.T.; Lubangco, C.K.; Castillo, R.C.; Teng, T.R.; Tamayo, L.P.; Macalalag, J.M.; Vedeja, G.M. Economic losses from COVID-19 cases in the Philippines: A dynamic model of health and economic policy trade-offs. Humanit. Soc. Sci. Commun. 2022, 9, 111. [Google Scholar] [CrossRef]
- Huppert, A.; Katriel, G. Mathematical modelling and prediction in infectious disease epidemiology. Clin. Microbiol. Infect. 2013, 19, 999–1005. [Google Scholar] [CrossRef]
- Alamo, T.; Reina, D.G.; Millán, P. Data-driven methods to monitor, model, forecast and control covid-19 pandemic: Leveraging data science, epidemiology and control theory. arXiv 2020, arXiv:2006.01731. [Google Scholar]
- Myall, A.; Price, J.; Peach, R.; Abbas, M.; Mookerjee, S.; Ahmad, I.; Ming, D.; Zhu, N.J.; Ramzan, F.; Weisse, A.; et al. Prediction of hospital-onset COVID-19 using networks of patient contact: An observational study. Int. J. Infect. Dis. 2022, 116, S109–S110. [Google Scholar] [CrossRef]
- Jordan, E.; Shin, D.E.; Leekha, S.; Azarm, S. Optimization in the context of COVID-19 prediction and control: A literature review. IEEE Access 2021, 9, 130072–130093. [Google Scholar] [CrossRef] [PubMed]
- Wearing, H.J.; Rohani, P.; Keeling, M.J. Appropriate models for the management of infectious diseases. PLoS Med. 2005, 2, e174. [Google Scholar] [CrossRef] [PubMed]
- Brauer, F.; Fenga, Z.; Castillo-Chaveza, C. Discrete Epidemic Models. Math. Biosci. Eng. 2010, 7, 1–15. [Google Scholar] [PubMed]
- Allen, L.J.; Burgin, A.M. Comparison of deterministic and stochastic SIS and SIR. Math. Biosci. 2000, 163, 1–33. [Google Scholar] [CrossRef] [PubMed]
- Allen, L.J.S. Some Discrete-Time SI, SIR, and SIS Epidemic Models. Math. Biosci. 1994, 124, 83–105. [Google Scholar] [CrossRef] [PubMed]
- Zhou, Y.; Ma, Z. A discrete epidemic model for SARS transmission and control in China. Math. Comput. Model. 2004, 40, 1491–1506. [Google Scholar] [CrossRef] [PubMed]
- Škulj, D. Discrete time Markov chains with interval probabilities. Int. J. Approx. Reason. 2009, 50, 1314–1329. [Google Scholar] [CrossRef]
- Goodwin, P.; Lawton, R. On the asymmetry of the symmetric MAPE. Int. J. Forecast. 1999, 15, 405–408. [Google Scholar] [CrossRef]
- Jawa Barat, P.P. Dashboard Statistik Kasus COVID-19 Provinsi Jawa Barat. Pemerintah Daerah Provinsi Jawa Barat; 2024. Available online: https://dashboard.jabarprov.go.id/id/dashboard-pikobar/trace/statistik (accessed on 21 June 2024).
- Jawa Barat, P.P. Keterisian Tempat Tidur (BOR). Pemerintah Daerah Provinsi Jawa Barat; 2024. Available online: https://dashboard.jabarprov.go.id/id/dashboard-pikobar/treatment/fasyankes (accessed on 21 June 2024).
Disclaimer/Publisher’s Note: The statements, opinions and data contained in all publications are solely those of the individual author(s) and contributor(s) and not of MDPI and/or the editor(s). MDPI and/or the editor(s) disclaim responsibility for any injury to people or property resulting from any ideas, methods, instructions or products referred to in the content. |
© 2024 by the authors. Licensee MDPI, Basel, Switzerland. This article is an open access article distributed under the terms and conditions of the Creative Commons Attribution (CC BY) license (https://creativecommons.org/licenses/by/4.0/).












