Optimizing GNN Architectures Through Nonlinear Activation Functions for Potent Molecular Property Prediction
Abstract
1. Introduction
2. Preliminaries on Molecular Representations and GNNs
- Graph-level tasks encompass a multitude of applications, such as forecasting distinct features across the entirety of the graph. This task can enclose activities like determining toxicity or carrying out regressions. Within this guide, we will focus on implementing regression tasks aimed at anticipating molecular properties. Another vital graph-level endeavor involves predicting entirely novel graphs or molecules, a pivotal aspect, especially within the realm of drug discovery, which revolves around identifying new drug candidates.
 - Tasks at the node level involve the ability to make predictions about a specific node within a graph, such as determining the atomic charges associated with each atom. Another aspect is the ability to foreseeing the addition of a new node into the graph. This is commonly seen in the context of molecule creation, where the goal is to sequentially incorporate multiple atoms to generate novel molecules.
 - Edge-level tasks entail predicting edge characteristics, such as molecular forces or the formation of new connections within a graph. In the context of generating molecules, the goal is to speculating potential links between atoms. Edge forecasting also serves to deduce relationships or interactions, like those in a genetic regulatory network.
 
3. Sine Linear Unit
- Continuity: In Figure 5, SLU is portrayed as a continuous activation function with a unique characteristic compared to traditional activation functions.
- For :
 
- The function is defined as for .
 - The identity function is continuous everywhere, including at .For :
 - The function is defined as for .
 - The sine function is continuous for all real numbers, including .
 
 
- II.
 - Differentiability: The differentiability of across its domain requires examining its differentiability at each point.
- For :
 
- The function is , which is a polynomial function. Polynomials are differentiable everywhere, so is differentiable for .For :
 - The function is , which is also differentiable for all real numbers. The derivative of with respect to is , and since is defined for all real numbers, is differentiable for .At :
 - We need to check the differentiability at . To do this, we need to verify if the left-hand derivative and the right-hand derivative at match.
 - Left-hand derivative at :
 - Right-hand derivative at :
 - Since both left-hand and right-hand derivatives at exist and are equal, is differentiable at .
 
 
- III.
 - Nonmonotonicity: The function defined in (3) is non-monotonic because it doesn’t consistently increase or decrease across its entire domain.
- For :
 
is a linear function. As increases, also increases. This portion of the function is monotonic.- For :
 
is a periodic function. It oscillates between −1 and 1 as changes. Therefore, the function is not monotonic in this region because it doesn’t consistently increase or decrease. 
- IV.
 - Boundedness: It is noteworthy that SLU has a lower bound and an unbounded upper limit within the range of approximately −1 to infinity.
- For Bounded Below:
 
- For , which is non-negative for all .
 - For , which ranges between −1 and 1, inclusive.
 - Therefore, for all in its domain, indicating that is bounded below by −1.For Not Bounded Above:
 - For , which increases without bound as approaches positive infinity.
 - For , which oscillates between −1 and 1, and there is no upper limit as approaches negative infinity.
 - Therefore, is not bounded above because it can take arbitrarily large positive values for and oscillates between −1 and 1 for .
 
 
- V.
 - Vanishing gradient: A good activation function is crucial for deep learning networks because it should not cause the gradient to vanish, as this can hinder the training process. SLU fulfills this requirement by guaranteeing the gradient’s stability. This makes SLU a solid choice for deep learning networks, as it allows for effective training without facing the issue of vanishing gradients.
 - VI.
 - Non linearity: Unlike traditional activation functions like ReLU or LeakyReLU, SLU offers a unique method for introducing non-linearity into neural networks.
 
4. Experiments
- The FreeSolv dataset is designed for regression applications, specifically for estimating the hydration free energy of 642 small molecules in water. The SMILES format used to depict the molecules is devoid of spatial information.
 - The QM9 dataset, which includes 133,885 molecules with 12 target attributes, is used for problems involving the regression of quantum mechanical parameters. The dataset’s exact spatial information for each molecule makes it perfect for applications like chemical property prediction based on quantum chemistry computations. Out of the diverse regression targets within the dataset, we will specifically address the prediction of the dipole moment .
 - BACE, a binary classification task for predicting the inhibition of human β-secretase (BACE), an enzyme linked to Alzheimer’s disease. The dataset contains 1513 molecules represented in SMILES format and is used to evaluate potential inhibitors for drug discovery.
 - BBBP (Blood-Brain Barrier Penetration) is used for binary classification tasks, predicting whether a compound can penetrate the blood-brain barrier. It contains 2039 molecules labeled as either permeable or non-permeable to the blood-brain barrier.
 
4.1. Experimental Results on FreeSolv
4.2. Experimental Results on QM9
4.3. Experimental Results on BACE
4.4. Experimental Results on BBBP
5. Conclusions and Future Directions
Author Contributions
Funding
Data Availability Statement
Conflicts of Interest
References
- Jin, W.; Coley, C.; Barzilay, R.; Jaakkola, T. Predicting organic reaction outcomes with weisfeilerlehman network. Adv. Neural Inf. Process. Syst. 2017, 30. [Google Scholar]
 - Schwaller, P.; Gaudin, T.; Lanyi, D.; Bekas, C.; Laino, T. “Found in Translation”: Predicting outcomes of complex organic chemistry reactions using neural sequence-to-sequence models. Chem. Sci. 2018, 9, 6091–6098. [Google Scholar] [CrossRef] [PubMed]
 - Zhang, X.C.; Wu, C.K.; Yang, Z.J.; Wu, Z.X.; Yi, J.C.; Hsieh, C.Y.; Hou, T.J.; Cao, D.S. MGBERT: Leveraging unsupervised atomic representation learning for molecular property prediction. Brief. Bioinform. 2021, 22, bbab152. [Google Scholar] [CrossRef] [PubMed]
 - Mahmood, O.; Mansimov, E.; Bonneau, R.; Cho, K. Masked graph modeling for molecule generation. Nat. Commun. 2021, 12, 3156. [Google Scholar] [CrossRef] [PubMed]
 - Rathi, P.C.; Ludlow, R.F.; Verdonk, M.L. Practical high-quality electrostatic potential surfaces for drug discovery using a graph-convolutional deep neural network. J. Med. Chem. 2019, 63, 8778–8790. [Google Scholar] [CrossRef]
 - Segler, M.H.; Preuss, M.; Waller, M.P. Planning chemical syntheses with deep neural networks and symbolic AI. Nature 2018, 555, 604–610. [Google Scholar] [CrossRef]
 - Krallinger, M.; Rabal, O.; Lourenco, A.; Oyarzabal, J.; Valencia, A. Information retrieval and text mining technologies for chemistry. Chem. Rev. 2017, 117, 7673–7761. [Google Scholar] [CrossRef]
 - Bean, D.M.; Wu, H.; Iqbal, E.; Dzahini, O.; Ibrahim, Z.M.; Broadbent, M.; Stewart, R.; Dobson, R.J.B. Knowledge graph prediction of unknown adverse drug reactions and validation in electronic health records. Sci. Rep. 2017, 7, 16416. [Google Scholar] [CrossRef]
 - Fabian, B.; Edlich, T.; Gaspar, H.; Segler, M.; Meyers, J.; Fiscato, M.; Ahmed, M. Molecular representation learning with language models and domain-relevant auxiliary tasks. arXiv 2020, arXiv:2011.13230. [Google Scholar]
 - Chithrananda, S.; Grand, G.; Ramsundar, B. ChemBERTa: Large-scale self-supervised pretraining for molecular property prediction. arXiv 2020, arXiv:2010.09885. [Google Scholar]
 - Honda, S.; Shi, S.; Ueda, H.R. Smiles transformer: Pre-trained molecular fingerprint for low data drug discovery. arXiv 2019, arXiv:1911.04738. [Google Scholar]
 - Wang, S.; Guo, Y.; Wang, Y.; Sun, H.; Huang, J. Smiles-bert: Large scale unsupervised pre-training for molecular property prediction. In Proceedings of the 10th ACM International Conference on Bioinformatics, Computational Biology and Health Informatics, Niagara Falls, NY, USA, 7–10 September 2019; pp. 429–436. [Google Scholar]
 - Shin, B.; Park, S.; Kang, K.; Ho, J.C. Self-attention based molecule representation for predicting drug-target interaction. In Proceedings of the Machine Learning for Healthcare Conference, Ann Arbor, MI, USA, 8–10 August 2019; PMLR. pp. 230–248. [Google Scholar]
 - Zheng, S.; Yan, X.; Yang, Y.; Xu, J. Identifying structure-property relationships through smiles syntax analysis with self-attention mechanism. J. Chem. Inf. Model. 2019, 59, 914923. [Google Scholar] [CrossRef] [PubMed]
 - Vaswani, A.; Shazeer, N.; Parmar, N.; Uszkoreit, J.; Jones, L.; Gomez, A.N.; Kaiser, L.; Polosukhin, I. Attention is all you need. Adv. Neural Inf. Process. Syst. 2017, 30. [Google Scholar]
 - Devlin, J.; Chang, M.W.; Lee, K.; Toutanova, K. Bert: Pre-training of deep bidirectional transformers for language understanding. arXiv 2018, arXiv:1810.04805. [Google Scholar]
 - Wang, H.; Li, W.; Jin, X.; Cho, K.; Ji, H.; Han, J.; Burke, M.D. Chemical-reaction-aware molecule representation learning. arXiv 2021, arXiv:2109.09888. [Google Scholar]
 - Goodfellow, I.; Bengio, Y.; Courville, A. Deep Learning; MIT Press: Cambridge, MA, USA, 2016. [Google Scholar]
 - Rahman, J.U.; Danish, S.; Lu, D. Oscillator Simulation with Deep Neural Networks. Mathematics 2024, 12, 959. [Google Scholar] [CrossRef]
 - Ul Rahman, J.; Danish, S.; Lu, D. Deep Neural Network-Based Simulation of Sel’kov Model in Glycolysis: A Comprehensive Analysis. Mathematics 2023, 11, 3216. [Google Scholar] [CrossRef]
 - Kipf, T.N.; Welling, M. Semi-supervised classification with graph convolutional networks. arXiv 2016, arXiv:1609.02907. [Google Scholar]
 - Gilmer, J.; Schoenholz, S.S.; Riley, P.F.; Vinyals, O.; Dahl, G.E. Neural message passing for quantum chemistry. In Proceedings of the International Conference on Machine Learning, Sydney, Australia, 6–11 August 2017; PMLR. pp. 1263–1272. [Google Scholar]
 - Ishida, S.; Miyazaki, T.; Sugaya, Y.; Omachi, S. Graph neural networks with multiple feature extraction paths for chemical property estimation. Molecules 2021, 26, 3125. [Google Scholar] [CrossRef]
 - Duvenaud, D.K.; Maclaurin, D.; Iparraguirre, J.; Bombarell, R.; Hirzel, T.; Aspuru-Guzik, A.; Adams, R.P. Convolutional networks on graphs for learning molecular fingerprints. Adv. Neural Inf. Process. Syst. 2015, 28. [Google Scholar]
 - Gasteiger, J.; Groß, J.; Günnemann, S. Directional message passing for molecular graphs. arXiv 2020, arXiv:2003.03123. [Google Scholar]
 - Schütt, K.; Unke, O.; Gastegger, M. Equivariant message passing for the prediction of tensorial properties and molecular spectra. In Proceedings of the International Conference on Machine Learning, Online, 18–24 July 2021; PMLR. p. 93779388. [Google Scholar]
 - Schütt, K.T.; Sauceda, H.E.; Kindermans, P.J.; Tkatchenko, A.; Müller, K.R. Schnet-a deep learning architecture for molecules and materials. J. Chem. Phys. 2018, 148, 241722. [Google Scholar] [CrossRef] [PubMed]
 - Wu, Z.; Ramsundar, B.; Feinberg, E.N.; Gomes, J.; Geniesse, C.; Pappu, A.S.; Leswing, K.; Pande, V. MoleculeNet: A benchmark for molecular machine learning. Chem. Sci. 2018, 9, 513–530. [Google Scholar] [CrossRef] [PubMed]
 - Rollins, Z.A.; Cheng, A.C.; Metwally, E. MolPROP: Molecular Property prediction with multimodal language and graph fusion. J. Cheminform. 2024, 16, 56. [Google Scholar] [CrossRef] [PubMed]
 - Zhang, Q.; Mao, D.; Tu, Y.; Wu, Y.Y. A New Fingerprint and Graph Hybrid Neural Network for Predicting Molecular Properties. J. Chem. Inf. Model. 2024, 64, 5853–5866. [Google Scholar] [CrossRef]
 - Ren, G.P.; Yin, Y.J.; Wu, K.J.; He, Y. Force field-inspired molecular representation learning for property prediction. J. Cheminform. 2023, 15, 17. [Google Scholar] [CrossRef]
 - Tang, B.; Kramer, S.T.; Fang, M.; Qiu, Y.; Wu, Z.; Xu, D. A self-attention based message passing neural network for predicting molecular lipophilicity and aqueous solubility. J. Cheminform. 2020, 12, 16. [Google Scholar] [CrossRef]
 - Hahnloser, R.H.; Sarpeshkar, R.; Mahowald, M.A.; Douglas, R.J.; Seung, H.S. Digital selection and analogue amplification coexist in a cortex-inspired silicon circuit. Nature 2000, 405, 947–951. [Google Scholar] [CrossRef]
 - Maas, A.L.; Hannun, A.Y.; Ng, A.Y. Rectifier nonlinearities improve neural network acoustic models. In Proceedings of the 30th International Conference on Machine Learning, Atlanta, GA, USA, 16–21 June 2013; Volume 30, p. 3. [Google Scholar]
 - Rahman, J.U.; Makhdoom, F.; Lu, D. Amplifying Sine Unit: An Oscillatory Activation Function for Deep Neural Networks to Recover Nonlinear Oscillations Efficiently. arXiv 2023, arXiv:2304.09759. [Google Scholar]
 - Cayley, F.R.S. LVII. On the mathematical theory of isomers. Lond. Edinb. Dublin Philos. Mag. J. Sci. 1874, 47, 444–447. [Google Scholar] [CrossRef]
 - Richard, A.M.; Judson, R.S.; Houck, K.A.; Grulke, C.M.; Volarath, P.; Thillainadarajah, I.; Yang, C.; Rathman, J.F.; Martin, M.T.; Wambaugh, J.F.; et al. ToxCast chemical landscape: Paving the road to 21st century toxicology. Chem. Res. Toxicol. 2016, 29, 1225–1251. [Google Scholar] [CrossRef] [PubMed]
 - Blum, L.C.; Reymond, J.L. 970 million druglike small molecules for virtual screening in the chemical universe database GDB-13. J. Am. Chem. Soc. 2009, 131, 8732–8733. [Google Scholar] [CrossRef] [PubMed]
 - Schütt, K.; Kindermans, P.J.; Sauceda Felix, H.E.; Chmiela, S.; Tkatchenko, A.; Müller, K.R. Schnet: A continuous-filter convolutional neural network for modeling quantum interactions. Adv. Neural Inf. Process. Syst. 2017, 30. [Google Scholar]
 - Wieder, O.; Kohlbacher, S.; Kuenemann, M.; Garon, A.; Ducrot, P.; Seidel, T.; Langer, T. A compact review of molecular property prediction with graph neural networks. Drug Discov. Today Technol. 2020, 37, 1–12. [Google Scholar] [CrossRef]
 - Xu, K.; Hu, W.; Leskovec, J.; Jegelka, S. How powerful are graph neural networks? arXiv 2018, arXiv:1810.00826. [Google Scholar]
 















| Activation Function | Mathematical Expression | Graphical Representation | 
|---|---|---|
![]()  | ||
![]()  | ||
![]()  | ||
![]()  | ||
| Sine Linear Unit (SLU) | ![]()  | 
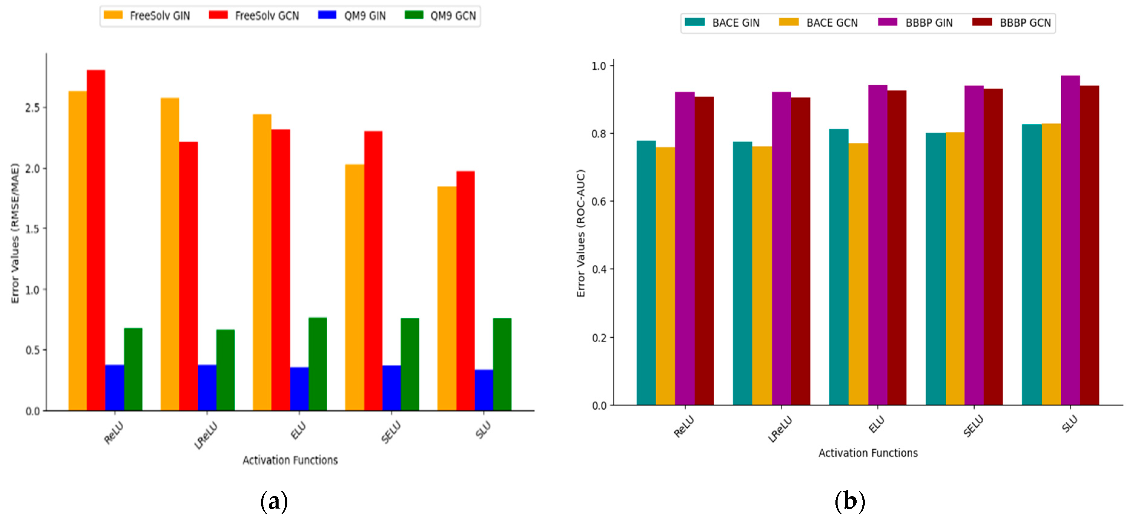
| Model | GIN | GCN | 
|---|---|---|
| ReLU | 2.6280 | 2.8013 | 
| LeakyReLU | 2.5732 | 2.2138 | 
| ELU | 2.4384 | 2.3141 | 
| SELU | 2.0215 | 2.2992 | 
| SLU | 1.8433 | 1.9702 | 
| Model | GIN | GCN | 
|---|---|---|
| ReLU | 0.6742 | |
| LReLU | 0.3738 | 0.6614 | 
| ELU | 0.3558 | 0.7648 | 
| SELU | 0.3652 | 0.7542 | 
| SLU | 0.3315 | 0.7598 | 
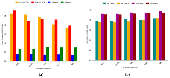
| Model | GIN | GCN | 
|---|---|---|
| ReLU | 0.7760 | 0.7585 | 
| LReLU | 0.7744 | 0.7603 | 
| ELU | 0.8121 | 0.7706 | 
| SELU | 0.8002 | 0.8020 | 
| SLU | 0.8243 | 0.8264 | 
| Model | GIN | GCN | 
|---|---|---|
| ReLU | 0.9209 | 0.9056 | 
| LeakyReLU | 0.9211 | 0.9049 | 
| ELU | 0.9410 | 0.9257 | 
| SELU | 0.9396 | 0.9292 | 
| SLU | 0.9683 | 0.9376 | 
Disclaimer/Publisher’s Note: The statements, opinions and data contained in all publications are solely those of the individual author(s) and contributor(s) and not of MDPI and/or the editor(s). MDPI and/or the editor(s) disclaim responsibility for any injury to people or property resulting from any ideas, methods, instructions or products referred to in the content.  | 
© 2024 by the authors. Licensee MDPI, Basel, Switzerland. This article is an open access article distributed under the terms and conditions of the Creative Commons Attribution (CC BY) license (https://creativecommons.org/licenses/by/4.0/).
Share and Cite
Rasool, A.; Rahman, J.U.; Iqbal, Q. Optimizing GNN Architectures Through Nonlinear Activation Functions for Potent Molecular Property Prediction. Computation 2024, 12, 212. https://doi.org/10.3390/computation12110212
Rasool A, Rahman JU, Iqbal Q. Optimizing GNN Architectures Through Nonlinear Activation Functions for Potent Molecular Property Prediction. Computation. 2024; 12(11):212. https://doi.org/10.3390/computation12110212
Chicago/Turabian StyleRasool, Areen, Jamshaid Ul Rahman, and Quaid Iqbal. 2024. "Optimizing GNN Architectures Through Nonlinear Activation Functions for Potent Molecular Property Prediction" Computation 12, no. 11: 212. https://doi.org/10.3390/computation12110212
APA StyleRasool, A., Rahman, J. U., & Iqbal, Q. (2024). Optimizing GNN Architectures Through Nonlinear Activation Functions for Potent Molecular Property Prediction. Computation, 12(11), 212. https://doi.org/10.3390/computation12110212
        

       



