A Blockchain-Based Efficient and Verifiable Attribute-Based Proxy Re-Encryption Cloud Sharing Scheme
Abstract
:1. Introduction
2. Related Work
3. Preliminaries
3.1. Bilinear Maps
3.2. LSSS [23]
- Each participant has a secret about what constitutes a vector on ;
- There exists a matrix called the sharing-generate matrix for is an matrix, and is an injective function that maps each row of to an attribute set, . Randomly select vector ; is a secret that needs to be shared. So , is the th party of .
3.3. q-Parallel BDHE Assumption
4. Modeling EV-ABPRE
4.1. Scheme Definition
4.2. Scheme Definition
4.2.1. Semantic Security
4.2.2. Verifiability
5. Our Construction
5.1. The EV-ABPRE Construction
5.2. Correctness
5.3. Semantic Security
5.4. Verifiability
6. Performance Evaluation
6.1. Functionality Comparison
6.2. Communication Overhead
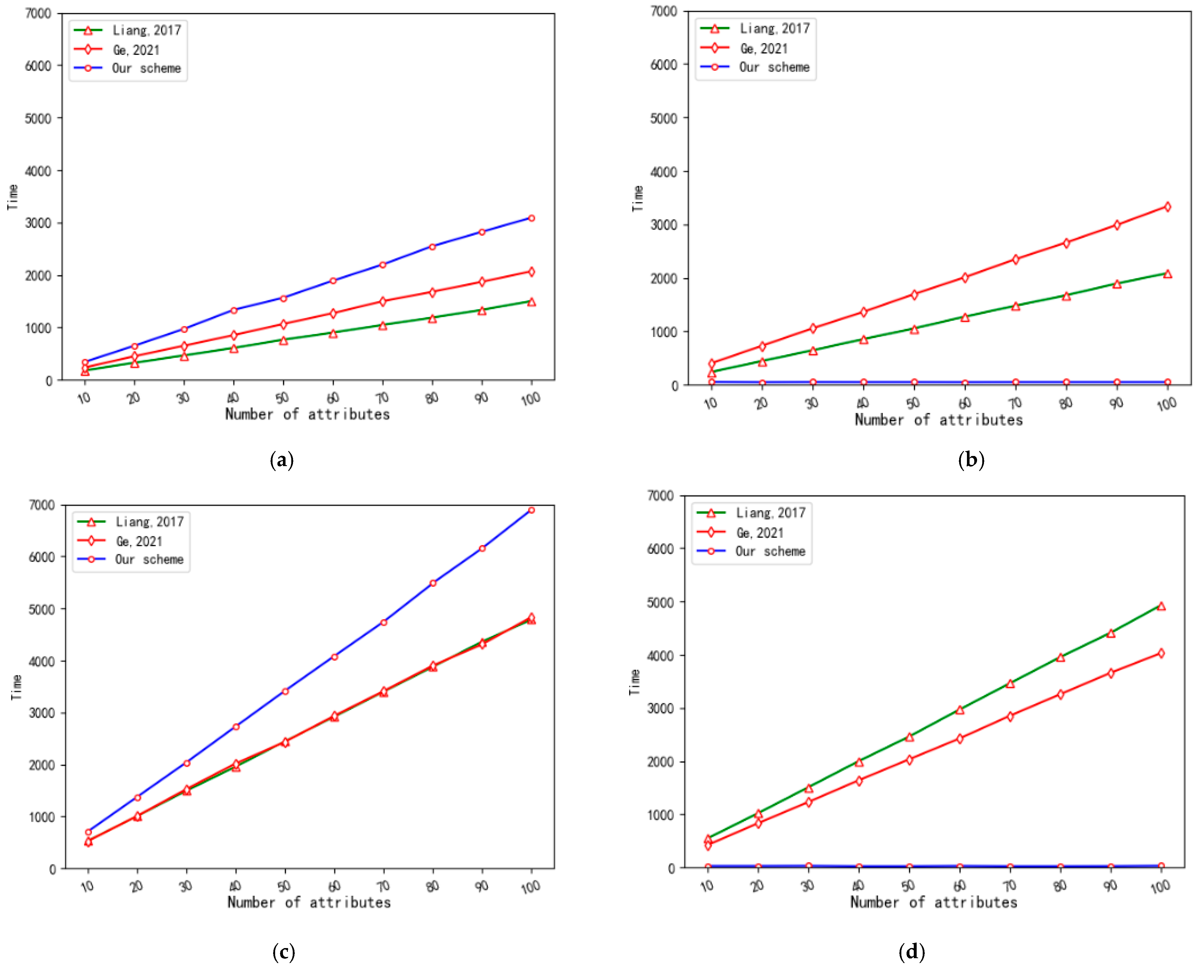
6.3. Computational Overhead
6.4. Security Properties
- Collusion Resistance: By executing the algorithm, it outputs . We are aware that , if the semi-trusted proxy conspires with the delegatee; that is, the re-encryption key and the delegatee’s ID are known, and it is easy for to recover from since contains the IBE encryption of under ID. If wants to obtain the private key of the delegator, it needs to find a way to obtain . However, cannot obtain blinding factor part .
- Verifiability: Existing cloud storage solutions lack trusted third parties, which creates a risk of malicious data deletion by delegatees. To address this issue, our scheme leverages the decentralized nature of the blockchain to provide a trusted environment for verifiable schemes. By utilizing the tamper-proof and traceability properties of the blockchain, we store the ciphertext on ciphertext chain-T. After receiving the re-encrypted ciphertext, the trustee sends ciphertext sub-item to the client, and the delegator obtains verification results using the verification algorithm. The blockchain’s traceability property increases the cost of dishonest re-encryption by semi-trusted agents. This approach effectively avoids the risk of the malicious tampering of data by a semi-trusted proxy or an illegal delegatee.
- Extensibility: The blockchain is a decentralized ledger. The data on the chain are generated by consensus, traceable, and cannot be deleted. To ensure that uploaded data can be checked quickly, and the scheme stores the complete ciphertext in ciphertext chain-T. The access policy, storage address, and metadata information are stored in index chain-I for easy verification and traceability. We want to ensure that we address the issue of the limited block storage capacity and prevent a single-point failure due to a large amount of data, which would result in a waste of storage space. Therefore, we combined the chord algorithm with ciphertext chain-T to extend the chain structure.
- Privacy: Our scheme provides protection for both data content privacy and delegatee identity privacy. Specifically, the ciphertext encrypted by ABE is stored in ciphertext chain-T, while index chain-I only stores the storage address and access policy. This approach enables fine-grained control and secure data sharing while protecting the delegatee’s identity privacy via the use of a unique identity identifier for interactions.
6.5. Simulation Experiment
7. Conclusions
Author Contributions
Funding
Data Availability Statement
Conflicts of Interest
References
- Goyal, V.; Pandey, O.; Sahai, A.; Waters, B. Attribute-Based Encryption for Fine-Grained Access Control of Encrypted Data. In Proceedings of the 13th ACM conference on Computer and Communications Security, Alexandria, VA, USA, 30 October–3 November 2006. [Google Scholar]
- Deng, H.; Qin, Z.; Wu, Q.; Guan, Z.; Zhou, Y. Flexible attribute-based proxy re-encryption for efficient data sharing. Inf. Sci. 2020, 511, 94–113. [Google Scholar] [CrossRef]
- Boneh, D. Identity-based encryption from the Weil pairing. In Advances in Crytology, Crypto 2001; Springer: Berlin/Heidelberg, Germany, 2001. [Google Scholar]
- Waters, B. Ciphertext-Policy Attribute-Based Encryption: An Expressive, Efficient, and Provably Secure Realization. In Proceedings of the 14th International Conference on Practice and Theory in Public Key Cryptography, Taormina, Italy, 6–9 March 2011. [Google Scholar]
- Norhidayah, M.; Jasni, M.Z. Access Control: Ciphertext Policy-Attribute Based Encryption in Cloud Computing. J. Phys. Conf. Ser. 2021, 1830, 012019. [Google Scholar]
- Blaze, M.; Bleumer, G.; Strauss, M. Divertible Protocols and Atomic Proxy Cryptography; Springer: Berlin/Heidelberg, Germany, 1998. [Google Scholar]
- Lang, X.; Wei, L.; Wang, X.; Wu, X. Cryptographic access control scheme for cloud storage based on proxy re-encryption. J. Comput. Appl. 2014, 34, 724. [Google Scholar]
- Ateniese, G.; Fu, K.; Green, M.; Hohenberger, S. Improved proxy re-encryption schemes with applications to secure distributed storage. ACM Trans. Inf. Syst. Secur. 2006, 9, 1–30. [Google Scholar] [CrossRef]
- Chen, W.; Zhu, S.; Li, J.; Wu, J.; Chen, C.; Deng, Y. Authorized Shared Electronic Medical Record System with Proxy Re-Encryption and Blockchain Technology. Sensors 2021, 21, 7765. [Google Scholar] [CrossRef] [PubMed]
- Liang, X.; Cao, Z.; Huang, L.; Shao, J. Attribute based proxy re-encryption with delegating capabilities. In Proceedings of the International Symposium on Information, Computer, and Communications Security, Sydney, Australia, 10–12 March 2009. [Google Scholar]
- Song, L.; Hu, J.; Zhong, C. Ciphertext Policy Attribute-Based Proxy Re-encryption. In Proceedings of the Information & Communications Security-international Conference, Barcelona, Spain, 15–17 December 2010. [Google Scholar]
- Liang, K.; Fang, L.; Wong, D.S.; Susilo, W. A ciphertext-policy attribute-based proxy re-encryption scheme for data sharing in public clouds. Concurr. Comput. 2015, 27, 2004–2027. [Google Scholar] [CrossRef]
- Hong, H.; Liu, X.; Sun, Z. A Fine-Grained Attribute Based Data Retrieval with Proxy Re-Encryption Scheme for Data Outsourcing Systems. Mob. Netw. Appl. 2018, 26, 2509–2514. [Google Scholar] [CrossRef]
- Luo, F.; Al-Kuwari, S.; Wang, F.; Chen, K. Attribute-based proxy re-encryption from standard lattices. Theor. Comput. Sci. 2021, 865, 52–62. [Google Scholar] [CrossRef]
- Yang, G.; Guo, R.; Zhuang, C.; Wang, X. Dynamically Updatable Attribute Based Proxy Re-encryption Scheme in Cloud. J. Cyber Secur. 2022, 7, 43–55. [Google Scholar]
- Hong, H.; Sun, Z. Sharing your privileges securely: A key-insulated attribute based proxy re-encryption scheme for IoT. World Wide Web 2018, 21, 595–607. [Google Scholar] [CrossRef]
- Lai, J.; Deng, R.H.; Guan, C.; Weng, J. Attribute-Based Encryption with Verifiable Outsourced Decryption. IEEE Trans. Inf. Forensics Secur. 2013, 8, 1343–1354. [Google Scholar]
- Lin, S.; Zhang, R.; Wang, M. Verifiable attribute-based proxy re-encryption for secure public cloud data sharing. Secur. Commun. Netw. 2016, 9, 1748–1758. [Google Scholar] [CrossRef]
- Ge, C.; Susilo, W.; Baek, J.; Liu, Z.; Xia, J.; Fang, L. A Verifiable and Fair Attribute-based Proxy Re-encryption Scheme for Data Sharing in Clouds. IEEE Trans. Dependable Secur. Comput. 2021, 19, 2907–2919. [Google Scholar] [CrossRef]
- Zuo, Y.; Kang, Z.; Xu, J.; Chen, Z. BCAS: A blockchain-based ciphertext-policy attribute-based encryption scheme for cloud data security sharing. Int. J. Distrib. Sens. Netw. 2021, 17, 1550147721999616. [Google Scholar] [CrossRef]
- Eltayieb, N.; Sun, L.; Wang, K.; Li, F. A Certificateless Proxy Re-encryption Scheme for Cloud-Based Blockchain. In Frontiers in Cyber Security, Proceedings of the Second International Conference on Frontiers in Cyber Security, FCS 2019, Xi’an, China, 15–17 November 2019; Springer: Berlin/Heidelberg, Germany, 2019. [Google Scholar]
- Zhang, X.; Sun, L. Attribute Proxy Re-encryption for Ciphertext Storage Sharing Scheme on Blockchain. J. Syst. Simul. 2020, 32, 1009–1020. [Google Scholar]
- Beimel, A. Secure Schemes for Secret Sharing and Key Distribution. Ph.D. Thesis, Technion-Israel Institute of Technology, Haifa, Israel, 1996. [Google Scholar]
- Sun, Z.; Zhang, X.; Xiang, F.; Chen, L. Survey of Storage Scalability on Blockchain. J. Softw. 2021, 32, 1–20. [Google Scholar]
- Tiwari, D.; Gangadharan, G.R. SecCloudSharing: Secure data sharing in public cloud using ciphertext-policy attribute-based proxy re-encryption with revocation. Int. J. Commun. Syst. 2017, 31, e3494. [Google Scholar] [CrossRef]
- Zhai, S.; Tong, T.; Bai, X. Blockchain-based attribute proxy re-encryption data sharing scheme. Comput. Eng. Appl. 2023, 59, 270–279. [Google Scholar]


| Scheme | Attribute Sets | Blockchain | ABE | PRE | Verifiable | Security |
|---|---|---|---|---|---|---|
| [12] | √ | × | √ | √ | √ | CPA |
| [19] | √ | × | √ | √ | √ | Semantic security |
| [25] | √ | × | √ | √ | × | CPA |
| [26] | √ | √ | √ | √ | × | CPA |
| Our scheme | √ | √ | √ | √ | √ | Semantic security |
| Scheme | Secret Key | Ciphertext | Public Parameters |
|---|---|---|---|
| [12] | |||
| [19] | |||
| [25] | |||
| [26] | |||
| Our scheme |
Disclaimer/Publisher’s Note: The statements, opinions and data contained in all publications are solely those of the individual author(s) and contributor(s) and not of MDPI and/or the editor(s). MDPI and/or the editor(s) disclaim responsibility for any injury to people or property resulting from any ideas, methods, instructions or products referred to in the content. |
© 2023 by the authors. Licensee MDPI, Basel, Switzerland. This article is an open access article distributed under the terms and conditions of the Creative Commons Attribution (CC BY) license (https://creativecommons.org/licenses/by/4.0/).
Share and Cite
Feng, T.; Wang, D.; Gong, R. A Blockchain-Based Efficient and Verifiable Attribute-Based Proxy Re-Encryption Cloud Sharing Scheme. Information 2023, 14, 281. https://doi.org/10.3390/info14050281
Feng T, Wang D, Gong R. A Blockchain-Based Efficient and Verifiable Attribute-Based Proxy Re-Encryption Cloud Sharing Scheme. Information. 2023; 14(5):281. https://doi.org/10.3390/info14050281
Chicago/Turabian StyleFeng, Tao, Dewei Wang, and Renbin Gong. 2023. "A Blockchain-Based Efficient and Verifiable Attribute-Based Proxy Re-Encryption Cloud Sharing Scheme" Information 14, no. 5: 281. https://doi.org/10.3390/info14050281
APA StyleFeng, T., Wang, D., & Gong, R. (2023). A Blockchain-Based Efficient and Verifiable Attribute-Based Proxy Re-Encryption Cloud Sharing Scheme. Information, 14(5), 281. https://doi.org/10.3390/info14050281

