Next Article in Journal
“No Eden Without Its Serpent?”: Tracing Colonial Discourses in the Early Missionary Writings and the Development of Adventist Theological Education in Indonesia
Previous Article in Journal
On Responsibility: Islamic Ethical Thought Engages with Jewish Ethical Thought
 
 
Font Type:
Arial Georgia Verdana
Font Size:
Aa Aa Aa
Line Spacing:
Column Width:
Background:
Article

How Do Religions and Religiosity Matter for Climate Anxiety?

Department of Communication and Design, Faculty of Arts, Design and Architecture, Bilkent University, 06800 Ankara, Turkey
Religions 2025, 16(3), 275; https://doi.org/10.3390/rel16030275
Submission received: 19 October 2024 / Revised: 23 December 2024 / Accepted: 20 January 2025 / Published: 24 February 2025
(This article belongs to the Section Religions and Health/Psychology/Social Sciences)

Abstract

During the last decade, the discussions about climate change have evolved beyond technical and technological debates, and politicians and religious leaders have started to acknowledge the complexity of the matter more frequently than ever. These discussions aptly underlined the inadequacy of the offered technical solutions to problems due to climate change, which are bound to social and psychological barriers and evaluated through the lenses of existing culture, values, and beliefs, which can hinder appropriate responses. The current study problematises this puzzle by exploring variations in ideological positions, religious affiliations, and religiosity levels and their interactions with climate anxiety. The findings indicate that differing religious affiliations and religiosity levels are robust predictors of variations in climate anxiety. Moreover, their interactions and ideological positions also effectively explain the variations in perceptions related to climate anxiety. These findings provide critical insights into how religious and ideological dimensions influence responses to climate issues, offering practical implications for policymakers.

1. Introduction

During the last decade, the discussions about climate change have evolved beyond technical and technological debates, and politicians and religious leaders have started to acknowledge the complexity of the matter more frequently than ever. In a recent interview, Pope Francis emphasised that addressing climate change-related problems requires profound changes in lifestyles and consumption patterns beyond technological innovation alone. Similarly, political figures such as former U.S. President Obama have stressed the importance of international cooperation and policy frameworks that go beyond technological solutions to tackle the root cause of climate-related problems. These leaders recognise that technological advancements are crucial but must be complemented by shifts in societal values to achieve meaningful and sustainable change. More and more, individuals and communities are grappling with fears about the future, biodiversity loss, and environmental justice, highlighting the need for compassionate and inclusive approaches to addressing climate impacts. Ever since the discourse surrounding climate issues has changed and related anxiety has increased, the abovementioned need for holistic approaches encompassing social, political, and cultural dimensions alongside technological advancements has become more visible. This necessity is mainly based on the fact that the offered technical solutions are bound to social and psychological barriers and are evaluated through the lenses of existing culture, values, and beliefs, which can hinder appropriate responses (Markowitz and Shariff 2012).
In that sense, investigating the impact of religious beliefs and political ideologies on climate anxiety would be enlightening since both factors significantly influence individual perceptions and coping mechanisms regarding climate anxiety, often interacting in complex ways. For instance, while religiosity can mitigate and exacerbate climate anxiety (Jaoude et al. 2024), different ideological positions may shape coping strategies in response to climate change (Mah et al. 2024). Religious influences further complicate this ideological divide, as religious affiliation can moderate the impact of political ideology on climate change concerns, particularly affecting liberals more than conservatives (Arbuckle 2017). These examples suggest that religious and political identities can jointly shape climate change perceptions, and this interaction between religious beliefs and political ideologies creates a multifaceted puzzle where a complex interplay of cultural, ideological, and spiritual factors shapes individual perceptions and coping mechanisms for climate anxiety. Accordingly, a more comprehensive approach is needed to address human behaviour, culture, and attitudes for climate-related problems and their mitigation. The current study aims at this puzzle by exploring variations in ideological positions, religious affiliations, and religiosity levels and their interactions with climate anxiety.

2. Locating Religion and Political Ideologies in the Climate Anxiety Literature

Climate anxiety is a popular concept widely discussed in academic circles, the media, and the general public (Haseley 2019; Hickman 2020; Ogunbode et al. 2023; Pihkala 2020a, 2020b), which attracts a considerable amount of attention (Cunsolo et al. 2020). Reflecting this heterogeneity, the existing research utilises the idea of climate anxiety in various ways, ranging from intense anxiety (Clayton and Karazsia 2020; Stanley et al. 2021; Taylor 2020) to a prevailing emotion, which includes its role in motivating behaviour change and information seeking (Demski et al. 2016).
So, it is not surprising that we do not observe a consensus on the definition of the term. There are numerous differences in opinion and vocabulary on the term anxiety itself. For example, anxiety can appear when faced with troublesome ambiguity or painful circumstances, which may fall into the domain of social anxiety. Most of the work on climate anxiety highlights specific characteristics and factors evident in the available data regarding people’s climate anxiety experiences. The ecological catastrophe, particularly the climate crisis, generates anxiety-inducing emotions of uncertainty, unpredictability, and lack of control, and it also appears that most of the work linking climate anxiety with politics handles the concept as non-pathological, expressing it as a “practical worry”, resulting in problem-solving attitudes (Pihkala 2020a). However, a fundamental and widely held perspective about climate anxiety refers to a type of worry which is future-oriented and tied to an unclear danger (Grupe and Nitschke 2013).
Not surprisingly, this multifaceted nature of the concept attracts attention from social and political sciences since anxiety or fear can be variables for various social dynamics. So, within these domains, climate anxiety is usually associated with problems that impair the existing social order. In one of the dominant approaches advocated by Beck (1992), for example, it is stated that the fragmentation of traditional sources of norms and meanings gives individuals a great deal more freedom but also increases the likelihood and propensity for anxiety when paired with the fast evolution of cultures and technologies; and this particular type of anxiety manifests itself connected to ecological problems. Further research demonstrated the link between climate anxiety and emotions in detail, providing empirical evidence on how being silenced about matters related to ecological matters through social norms may lead to anxiety among individuals (Brulle and Norgaard 2019). Finally, research also showed that individuals with climate anxiety tend to think that the surrounding society is in a state of ignorance or lack of understanding, and, perhaps more importantly, their anxiety increases because of social incidents (Pihkala 2020a). The relevant literature, which focuses on these socio-political domains, links the individual ability to respond to climate-related issues to political attitudes. Indeed, several studies have adopted this stance and predicted climate-related behaviours based on individuals’ political interests, worries, and risk perceptions (Roser-Renouf et al. 2014; Zhao et al. 2011). Among these attitudes, this study focuses on ideology, religiosity, political interest, and news consumption.
Religious denominations and religiosity constitute this study’s first group of independent variables. The relationship between religious beliefs and climate anxiety is complex, as religious denominations exhibit varying levels of concern and belief regarding climate change (Thomas et al. 2019). This divergence can significantly influence individual perceptions and responses to climate-related issues. For instance, some religious groups may express disbelief or inaction, while others actively engage in interfaith efforts to combat climate change, reflecting a spectrum of responses that can alleviate or exacerbate climate anxiety among adherents (Ferber and Haluza-DeLay 2015). Varying denominations can influence individuals’ attitudes and responses to climate change, impacting the levels of climate anxiety experienced within different religious communities. Research has shown that religious beliefs and practices can affect environmental perceptions and behaviours, with some religious groups showing more significant concern for environmental issues and engaging in more pro-environmental actions (Hope and Jones 2014). For instance, Muslims, as the second-largest faith group globally, are concentrated in regions particularly affected by global warming, underscoring the potential influence of Islam on climate change perceptions and mitigation activities (Köhrsen 2021). Additionally, the organisational characteristics of religious groups can have significant implications for addressing human-induced climate change, highlighting the role of religion in environmental challenges (Haluza-DeLay 2014).
Religious beliefs may offer individuals hope and agency in facing environmental challenges, potentially alleviating feelings of anxiety and despair associated with climate change (Pihkala 2018). The impact of religious denominations on environmental attitudes and behaviours can vary, with some promoting environmental stewardship and sustainability practices, while others may hold different perspectives on climate change and its consequences. Accordingly, religious denominations play a multifaceted role in shaping individuals’ responses to climate change and climate anxiety.
Political ideology is the second variable this paper utilises as a determinant of climate-related emotions. Political ideology is defined as an interconnected set of attitudes and values that include cognitive, affective, and motivational components that help to explain why people do what they do and how societies work to attain appropriate goals such as social fairness and social order (Jost et al. 2009; Kidwell et al. 2013). In other words, an individual’s position on the left–right spectrum indicates one’s primary personal value and underlying convictions about appropriate societal goals and how to attain them (Chin et al. 2013). Moreover, political ideology can be perceived as a key organising axis for individual beliefs on various issues (Caprara et al. 2006). That is to say, individuals who locate themselves on the right side of the political spectrum place a premium on authority, stability, and the status quo. In contrast, individuals on the left place a premium on civil rights and social issues such as diversity, social justice, social change, and natural environment protection (Hu et al. 2017). Ideological positions often dictate how individuals and groups perceive societal problems, including climate change. For example, political ideologies can influence attitudes towards regulatory measures, international cooperation, and the role of government in addressing environmental issues. Indeed, prior studies have demonstrated that political orientation can influence the connection between education or self-reported comprehension and climate change concerns (Gregersen et al. 2020; Hamilton 2011). However, while ideologies can shape climate-based anxiety, people’s attitudes might still differ based on their other values, which highly correlate with their ideologies, like their religious affiliations. That is to say, while individuals belonging to both ends of the spectrum might hold different evaluations related to climate issues, this study argues that due to the strong connection between religious affiliation and ideological positions, climate anxiety levels that are shaped by ideological positions may also vary depending on a person’s religious affiliation and also their religiosity levels. This is because religious affiliations and beliefs provide another dimension to the discourse on climate change. Different religions often have distinct teachings and values regarding environmental stewardship, sustainability, and human responsibility towards the natural world. Religious leaders and communities can thus mobilise efforts towards climate action, advocate for ethical consumption patterns, and promote environmental justice as integral components of their faith-based teachings.
A typical method for gauging political orientation is to ask respondents to place themselves on a liberal vs. conservative (in the United States; for example, American National Election Studies) or a (political) left versus right (in Europe; for example, European Social Survey) scale. Reviewing the existing research that utilised these scales, McCright et al. (2016) identified political ideology as one of the most important and consistent predictors of climate change perceptions, such as anxiety and concern. They argue that people who identify as left-leaning or liberal are more likely to believe in the truth and anthropogenic character of climate change and to be concerned about it than those who identify as right-leaning or conservative. Other research that mainly focuses on the U.S. context found similar evidence: people who locate themselves on the left tend to have high levels of environmental concerns (Cruz 2017; Goldberg et al. 2019; Hornsey et al. 2016).
Shifting the focus to the international context, Kvaløy et al. (2012) discovered that left-leaning persons are more likely to regard climate change as a severe problem when measuring political orientation on a left–right continuum in an international context. Likewise, Doran et al. (2018) discovered that political orientation predicted support for climate policy even after controlling for views on consequences and moral concerns about climate change. Using the same data, Poortinga et al. (2019) also discovered a straightforward and highly consistent negative correlation between right-leaning political orientation and climate change concerns. However, research from European countries has generally found more minor relationships between political orientation and climate change opinions than studies from the United States (McCright and Dunlap 2011; Song et al. 2020). Smith and Mayer (2018), for example, report that the association between party affiliation and perceived danger from climate change is most robust in English-speaking countries, moderate in non-English-speaking Western European countries, and minimal in post-communist states, mapped on a left–right continuum to allow for cross-country comparisons.
The abovementioned literature highlights how religious identity and beliefs are deeply embedded in political and social culture and can influence perceptions of climate anxiety and behaviour attached to these perceptions. Religious identity often correlates with political attitudes toward climate change, but the relationship is complex and varies across traditions and contexts. For example, in some cases, conservative religious groups may align with political ideologies prioritising economic growth over environmental conservation, while other religious communities advocate for sustainable practices rooted in theological principles (Zeng et al. 2020). These correlations underscore the need for more nuanced research to uncover how religious and political identities intersect to shape climate-related attitudes and behaviours. Likewise, differing religious interpretations of climate change arise from diverse traditions and take multiple forms. These include official statements by religious authorities, confessional scholarship contextualising climate change within specific theological frameworks, and public interpretations that draw on religious imagery and concepts (W. A. Carr et al. 2012). These interpretations shape how communities understand climate change and influence their responses to it. While existing research has shed light on how religious beliefs influence climate attitudes and policy, further research is needed to understand these dynamics, particularly in non-Western contexts and the intersection of religion with other cultural and political factors. In that sense, we observe that scientific research on the relationship between religious affiliation and climate attitudes is disproportionately concentrated in the Global North, often focusing on Christianity, neglecting other religious traditions that are more prominent in the Global South, like Islam, which has unique theological frameworks that influence environmental attitudes and behaviours (Jenkins et al. 2018). Accordingly, this study tries to understand the dynamics of this puzzle by developing a comparative strategy that systematically examines these variations to reveal patterns that transcend individual traditions while highlighting unique contextual factors.

3. Data, Methods, and Findings

This study uses a quantitative research design and utilises the existing European Social Survey Round 10 data, combined with new face-to-face country-representative survey data, the Turkey Trust Research (TTR) Project survey data, to combine the climate perceptions and emotions in Turkey with the ESS data. The TTR survey fieldwork conducted face-to-face interviews in 12NUTS-1 statistical areas in Turkey, 30 provinces, and 98 districts; respondents were selected using a multi-stage, stratified, clustered random sampling procedure without replacement. The total response rate for TTR was approximately 22 per cent, and the fieldwork was conducted during April 2023 with 1217 participants.
The dependent variable of this study aims to measure the level of climate anxiety using the following question: “How worried are you about climate change?” The question’s scale ranged from 1 to 5 in ESS and 1 to 4 in TTR questionnaires, respectively. To create uniformity among the questionnaires, the last two categories in the ESS questionnaire (4—Very worried and 5—Extremely worried) were recoded into one category. The variable was then coded into a binary form where the value “1” represents high anxiety and “0” otherwise.
The first independent variable of the analysis is the ideological position scale, which ranges from 0 to 10, with 0 representing the far-left and 10 representing the far-right positions. The second independent variable gauges the religiosity levels of respondents. Since ESS and TTR used different scales, both questionnaire questions were recoded into two levels representing low and high religiosity levels. The political interest variable ranges from 1 to 4 in the combined questionnaire, with 4 representing the highest level of political interest. The development index consists of the Human Development Index (HDI) value for 2022, which the UNDP calculated.1 The remaining independent variables represent the denominations of the respondents. Table 1 provides the descriptive statistics of these variables, and Table 2 provides a multilevel analysis.
Table 2 portrays two models, and the results provide significant insights into the complex relationship between religious identity, political ideology, and climate anxiety. By analysing two models, the study reveals a layered understanding of how sociocultural and political factors intersect to shape individuals’ emotional responses to climate change.
In Model 1, the findings demonstrate a strong association between religious denomination and climate anxiety. Compared to the reference category—Muslims—individuals identifying as Eastern Orthodox, Protestant, or Roman Catholic exhibit significantly higher levels of climate anxiety. Protestants, in particular, show the strongest positive association, followed by Roman Catholics and Eastern Orthodox Christians. This pattern highlights the role of religious identity as a cultural lens through which individuals perceive existential threats like climate change. The elevated anxiety levels among Christians may stem from doctrinal, historical, or cultural narratives that emphasise stewardship, environmental morality, or apocalyptic concerns, fostering greater sensitivity to environmental risks.
The effect of political ideology further reinforces the well-established link between conservative positions and lower concern for climate change. In both models, the negative and statistically significant coefficient for ideology indicates that as individuals lean more toward the political right, their likelihood of experiencing climate anxiety decreases. This finding aligns with broader trends in the literature, where right-leaning individuals are often more sceptical of climate change narratives or perceive environmental concerns as conflicting with economic priorities. The consistent influence of ideology across models underscores its central role in shaping climate perceptions. Religiosity emerges as another important predictor of climate anxiety. In Model 1, higher levels of religiosity are associated with an increased likelihood of experiencing climate anxiety. This finding suggests that religiosity, rather than serving as a source of reassurance, amplifies individuals’ sensitivity to environmental degradation. This outcome may be linked to the moral frameworks and existential concerns inherent in religious worldviews, wherein environmental change is viewed as a profound ethical or spiritual issue.
Adding new variables and interaction terms in Model 2 provides a more nuanced picture. Notably, political interest emerges as a significant positive predictor of climate anxiety. Individuals with higher political interest—those who engage more actively with political processes and discourse—are also more likely to experience heightened climate anxiety. This result reflects the central role of climate change in contemporary political debates and suggests that politically engaged individuals may be more exposed to environmental information, debates, and policy discussions, leading to increased awareness and concern. Including the development index further reveals that individuals residing in more developed regions report slightly higher levels of climate anxiety. This association, while modest, highlights the heightened exposure to climate change information and discourse in wealthier, developed contexts. These regions often feature more prominent media coverage, scientific discourse, and political activism surrounding climate change, which may amplify public anxiety.
Crucially, the interaction terms in Model 2 provide evidence that the relationship between political ideology and climate anxiety varies across religious denominations. The significant interaction between ideology and Protestant affiliation indicates that for Protestants, right-leaning political orientations further dampen climate anxiety. This result underscores the interplay between religious identity and political ideology, as religiously conservative individuals often align their attitudes with broader ideological narratives that downplay environmental concerns. In contrast, the interactions for Eastern Orthodox and Roman Catholic affiliations are insignificant, suggesting that ideology’s moderating effect is not universal across Christian denominations.
The comparison of model fit statistics, such as AIC and BIC, confirms that including political interest, the development index, and interaction terms in Model 2 improves the explanatory power of the analysis. The substantial reduction in AIC and BIC values highlights the importance of accounting for political engagement and contextual development factors in understanding climate anxiety.
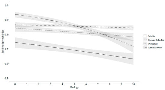
Figure 1 illustrates the predicted probabilities of experiencing climate anxiety across individuals from different religious denominations, and it uncovers significant differences in how these groups perceive or experience climate-related concerns by focusing on the interaction between religious affiliation and ideology.
A clear trend emerges among Muslim respondents, who consistently exhibit the lowest predicted probability of experiencing climate anxiety across the ideological spectrum. Even among individuals with left-leaning ideological orientations, where concern for climate issues is generally higher, the probability of climate anxiety among Muslims remains relatively subdued. Furthermore, this probability gradually decreases as ideological orientation becomes more right-wing-oriented. This finding suggests that factors beyond political ideology—such as cultural or religious teachings—may play a more substantial role in shaping perceptions of climate risk for Muslim respondents. In stark contrast, Protestants display the highest levels of climate anxiety at the leftmost end of the ideological spectrum. However, their predicted probabilities decline sharply as the ideological position moves to the right side of the spectrum. This steep drop highlights a stronger relationship between right-leaning ideology and lower climate anxiety within the Protestant group, a pattern that aligns with previous findings linking right-wing political ideology to diminished concern for environmental issues. The pronounced decline among Protestants suggests that political ideology exerts a powerful influence on their perceptions of climate risk, overshadowing any moderating effects that religion might have. Eastern Orthodox Christians and Roman Catholics, on the other hand, display more stable levels of predicted climate anxiety across the ideological spectrum. While both groups experience a slight decline in predicted probabilities as individuals become more right-wing oriented ideologically, this decrease is far less pronounced than Protestants. This relative stability suggests that their religious frameworks or institutional teachings may act as a buffer, tempering the influence of ideology on climate anxiety. These groups’ moderate and consistent probabilities reflect a more balanced interaction between religion and political orientation. The confidence intervals depicted in the graph further support these interpretations. Although differences between denominations are statistically meaningful, there is some overlap between Eastern Orthodox Christians, Protestants, and Roman Catholics, particularly around the mid-range of the ideological spectrum. This overlap implies that, while ideological polarisation is evident—particularly among Protestants—shared religious or cultural factors still contribute to similarities in climate anxiety levels among certain groups.

4. Discussion

These findings offer insights into the complex interplay between religion, ideology, and climate anxiety, underscoring the need for policymakers, communicators, and researchers to approach climate engagement with sensitivity to ideological and religious dimensions. Efforts to address climate concerns cannot rely on ideological messaging alone but must also consider how religious frameworks shape attitudes and perceptions across diverse populations.
These findings also yield several discussion points. First, the findings of this study show that the difference between right and left about climate issues is sustained, as discussed in the literature. The lingering difference among ideological orientations is crucial since it significantly shapes governmental approaches to climate action. Studies have shown that right-wing adherents are more likely to deny climate change and are less supportive of mitigation policies than their left-wing counterparts (Clarke et al. 2024). This denial and lack of support from the right can hinder effective climate action, like in the U.S., where there is a clear division along ideological lines, with liberals showing more concern about climate change and being more supportive of actions to address it than conservatives. This ideological split also extends to Europe, and these ideological differences impact beliefs and behaviours, with conservatives being less supportive of pro-environmental policy measures. Research further argues that ideological predispositions also influence local governments’ level of climate action, indicating that political ideologies can shape the response to climate change at various governance levels (Switzer and Jung 2022). Accordingly, the ramifications of ideological disparities between the political left and right on climate action seem significant, extensive, and ongoing. We must consider ideological orientations as vital components in deciding the direction of climate action measures since they can influence government approaches to climate talks and shape public opinion and policy support. The polarisation resulting from these ideological differences might hinder the process of reaching an agreement and working together, eventually affecting the efficacy of initiatives aimed at mitigating and adapting to climate change.
Second and perhaps most crucially, this study demonstrated that concerns regarding climate change vary among different religions and denominations. The analysis showed that environmental attitudes and climate change concerns vary among religions and denominations. Some religious traditions, such as certain strands of Protestant theology, have emphasised human dominion over nature and a lack of environmental stewardship responsibility, which can lead to a diminished sense of concern about environmental issues, including climate change, among adherents of these religious views (Rubial 2021; Village 2015). The findings of this study on Protestants seem to be parallel with these arguments. Protestants with right-leaning ideologies may perceive less climate anxiety due to a combination of fixed world beliefs, economic considerations, and religious influences. Such individuals often perceive the world as fixed and unmalleable, which leads them to believe that individual actions have little impact on mitigating climate change. This perception reduces their engagement in climate change-mitigating behaviours and, consequently, their climate anxiety, as they see less instrumentality in their actions to combat climate change (Chan and Faria 2022). Economic hardships and right-wing political orientations are associated with lower concern for climate issues, as these individuals prioritise immediate economic stability over environmental concerns (Uba et al. 2022). Religious beliefs also play a significant role; conservative Christians, for instance, often hold theological views that diminish the urgency of climate change, such as beliefs in God’s sovereignty and eschatology, which can lead to a range of perceptions from scepticism to active engagement, but generally reduce anxiety about climate change (W. Carr 2010). Furthermore, right-wing individuals, particularly conservative white males, worry less about environmental problems, partly explained by identity-protective cognition and system-justification tendencies that align with their ideological beliefs (McCright and Dunlap 2013). This ideological alignment is further reinforced by susceptibility to climate misinformation, where conservatives are more likely to misidentify false statements that delay climate action as accurate, thus reducing their climate concern (Spampatti et al. 2024). Overall, the interplay of fixed worldviews, economic priorities, religious beliefs, and susceptibility to misinformation contributes to the lower climate anxiety observed among right-leaning Protestants.
In contrast, other religious traditions, such as some Catholic teachings, have placed a greater emphasis on environmental protection and the moral obligation to address ecological challenges, and individuals affiliated with these religious traditions tend to exhibit higher levels of climate anxiety and concern (Onnekink and Ros 2024). Additionally, as the analysis displayed, the degree of religiosity, or the strength of one’s religious beliefs and practices, can also play a role. Unlike the studies which have found that more religious individuals, regardless of their specific religious affiliation, tend to be less concerned about environmental issues and display lower levels of climate anxiety (Onnekink and Ros 2024), this study showed that increased levels of religiosity relate to higher levels of climate anxiety. Since religiosity often instils a heightened sense of moral obligations, including protecting the environment, it is reasonable to expect that individuals with strong religious beliefs may perceive climate change as a moral failing or a divine test, leading to increased anxiety about their responsibilities to safeguard the planet.
These findings evidently show that the relationship between religion, religiosity, and climate anxiety is complex and can vary across cultural and geographical contexts. The differences in climate anxiety observed among individuals with different religious affiliations can be attributed to the varying theological perspectives on the environment, the degree of religiosity, and the political ideologies often associated with certain religious traditions. This multifaceted relationship highlights the importance of understanding the complex interplay between religion, culture, and environmental attitudes in addressing climate change concerns.

5. Conclusions

This study underscores the intricate interplay between religious identity, political ideology, and climate anxiety, highlighting their roles as critical yet underexplored determinants of public engagement with climate change. The findings reveal that religious affiliations and varying levels of religiosity significantly shape individuals’ emotional responses to environmental challenges. Protestant respondents exhibited pronounced ideological differences, whereas other religious groups displayed more consistent levels of climate anxiety across the ideological spectrum. These insights emphasise the necessity of addressing climate discourse’s cultural and spiritual dimensions to foster inclusive and effective climate action.
Moreover, the robust relationship between political ideology and climate anxiety calls for targeted strategies for climate change resilience. Right-leaning individuals, particularly those with strong religious affiliations, may require tailored interventions that align environmental stewardship with their broader ideological and theological worldviews. Conversely, the heightened climate anxiety observed among left-leaning and highly religious groups suggests opportunities for mobilising these populations toward proactive climate mitigation efforts.
Future research should expand on these findings by incorporating longitudinal designs to examine how shifts in political and religious landscapes influence climate perceptions over time. Additionally, exploring the dynamics of these variables in non-Western contexts, particularly among religious traditions prevalent in the Global South, could offer a more holistic understanding of the global climate anxiety phenomenon. Integrating qualitative approaches may also illuminate the nuanced ways cultural narratives and personal beliefs interact to shape environmental attitudes. Addressing these research gaps will be vital for designing culturally sensitive and ideologically resonant policies to combat climate change and its associated anxieties.

Funding

This work was partially supported by TUBITAK 1001 Scheme Project Number 122K368 under the Turkey Trust Research Project.

Institutional Review Board Statement

This study was performed in line with the principles of the Declaration of Helsinki. Approval was granted by the Ethics Committee of Hacettepe University on 18.04.2022 with the document no E-35853172-102.01-00002140032.

Informed Consent Statement

Informed consent was obtained from all subjects involved in the study.

Data Availability Statement

One of the two datasets (TTR data) analysed during the current study is not publicly available due to the embargo period by the funder—TUBITAK, but is available from the corresponding author on reasonable request. The other database is publicly available at https://europeanvaluesstudy.eu/ (accessed on 10 September 2024).

Acknowledgments

I am deeply indebted to Bülent Alten and Mert Moral for their invaluable insights and constructive critiques, which have greatly enriched this work. I also extend my heartfelt gratitude to ARK (Ankara Research Kitchen) and KA Analytica for their meticulous contributions and support throughout the research process. That said, any remaining errors, oversights, or lapses in judgment are solely my own and should not detract from the exemplary guidance and assistance I have been fortunate to receive.

Conflicts of Interest

The author has no relevant financial or non-financial interests to disclose.

Note

1

References

  1. Arbuckle, Matthew B. 2017. The Interaction of Religion, Political Ideology, and Concern About Climate Change in the United States. Society & Natural Resources 30: 177–94. [Google Scholar] [CrossRef]
  2. Beck, Ulrich. 1992. Risk Society: Towards a New Modernity. Sage Google Schola 2: 53–74. [Google Scholar]
  3. Brulle, Robert J., and Kari Marie Norgaard. 2019. Avoiding cultural trauma: Climate change and social inertia. Environmental Politics 28: 886–908. [Google Scholar] [CrossRef]
  4. Caprara, Gian Vittorio, Shalom Schwartz, Cristina Capanna, Michele Vecchione, and Claudio Barbaranelli. 2006. Personality and Politics: Values, Traits, and Political Choice. Political Psychology 27: 1–28. [Google Scholar] [CrossRef]
  5. Carr, Wylie Allen. 2010. The Faithful Skeptics: Conservative Christian Religious Beliefs and Perceptions of Climate Change. Available online: https://scholarworks.umt.edu/cgi/viewcontent.cgi?article=2032&context=etd (accessed on 10 October 2024).
  6. Carr, Wylie Allen, Michael Patterson, Laurie Yung, and Daniel Spencer. 2012. The Faithful Skeptics. Journal for the Study of Religion Nature and Culture 6: 276–99. [Google Scholar] [CrossRef]
  7. Chan, Eugene Y., and Amy A. Faria. 2022. Political ideology and climate change-mitigating behaviors: Insights from fixed world beliefs. Global Environmental Change-Human and Policy Dimensions 72: 102440. [Google Scholar] [CrossRef]
  8. Chin, M. Kyun, Donald C. Hambrick, and Linda K. Treviño. 2013. Political Ideologies of CEOs: The Influence of Executives’ Values on Corporate Social Responsibility. Administrative Science Quarterly 58: 197–232. [Google Scholar] [CrossRef]
  9. Clarke, Edward John Roy, Samantha Stanley, Anna Klas, and Emily Dyos. 2024. A Cross-Sectional and Experimental Test of a Climate Policy Systems Threat Account of Climate Change Denial. OSF Preprints. [Google Scholar] [CrossRef]
  10. Clayton, Susan, and Bryan T. Karazsia. 2020. Development and validation of a measure of climate change anxiety. Journal of Environmental Psychology 69: 101434. [Google Scholar] [CrossRef]
  11. Cruz, Shannon M. 2017. The relationships of political ideology and party affiliation with environmental concern: A meta-analysis. Journal of Environmental Psychology 53: 81–91. [Google Scholar] [CrossRef]
  12. Cunsolo, Ashlee, Sherilee L. Harper, Kelton Minor, Katie Hayes, Kimberly G. Williams, and Courtney Howard. 2020. Ecological grief and anxiety: The start of a healthy response to climate change? The Lancet. Planetary Health 4: e261–e263. [Google Scholar] [CrossRef] [PubMed]
  13. Demski, Christina, Stuart Capstick, Nick Pidgeon, Robert Gennaro Sposato, and Alexa Spence. 2016. Experience of extreme weather affects climate change mitigation and adaptation responses. Climatic Change 140: 149–64. [Google Scholar] [CrossRef] [PubMed]
  14. Doran, Rouven, Gisela Böhm, Hans-Rüdiger Pfister, Katharine Steentjes, and Nick Pidgeon. 2018. Consequence evaluations and moral concerns about climate change: Insights from nationally representative surveys across four European countries. Journal of Risk Research 22: 610–26. [Google Scholar] [CrossRef]
  15. Ferber, Michael P., and Randolph Haluza-DeLay. 2015. Scale-Jumping and Climate Change in the Geography of Religion. In The Changing World Religion Map. Dordrecht: Springer, pp. 203–15. [Google Scholar] [CrossRef]
  16. Goldberg, Matthew H., Sander van der Linden, Anthony Leiserowitz, and Edward Maibach. 2019. Perceived Social Consensus Can Reduce Ideological Biases on Climate Change. Environment and Behavior 52: 495–517. [Google Scholar] [CrossRef]
  17. Gregersen, Thea, Rouven Doran, Gisela Böhm, Endre Tvinnereim, and Wouter Poortinga. 2020. Political Orientation Moderates the Relationship Between Climate Change Beliefs and Worry About Climate Change. Frontiers in Psychology 11: 1573. [Google Scholar] [CrossRef] [PubMed]
  18. Grupe, Dan W., and Jack B. Nitschke. 2013. Uncertainty and anticipation in anxiety: An integrated neurobiological and psychological perspective. Nature Reviews. Neuroscience 14: 488–501. [Google Scholar] [CrossRef]
  19. Haluza-DeLay, Randolph. 2014. Religion and Climate Change: Varieties in Viewpoints and Practices. Wiley Interdisciplinary Reviews Climate Change 5: 261–79. [Google Scholar] [CrossRef]
  20. Hamilton, Lawrence C. 2011. Education, politics and opinions about climate change evidence for interaction effects. Climatic Change 104: 231–42. [Google Scholar] [CrossRef]
  21. Haseley, Dennis. 2019. Climate change: Clinical considerations. International Journal of Applied Psychoanalytic Studies 16: 109–15. [Google Scholar] [CrossRef]
  22. Hickman, Caroline. 2020. We need to (find a way to) talk about … Eco-anxiety. Journal of Social Work Practice 34: 411–24. [Google Scholar] [CrossRef]
  23. Hope, Aimie L. B., and Christopher R. Jones. 2014. The Impact of Religious Faith on Attitudes to Environmental Issues and Carbon Capture and Storage (CCS) Technologies: A Mixed Methods Study. Technology in Society 38: 48–59. [Google Scholar] [CrossRef]
  24. Hornsey, Matthew J., Emily A. Harris, Paul G. Bain, and Kelly S. Fielding. 2016. Meta-analyses of the determinants and outcomes of belief in climate change. Nature Climate Change 6: 622–26. [Google Scholar] [CrossRef]
  25. Hu, Saiquan, Xiao Jia, Xiaojin Zhang, Xiaoying Zheng, and Junming Zhu. 2017. How political ideology affects climate perception: Moderation effects of time orientation and knowledge. Resources, Conservation and Recycling 127: 124–31. [Google Scholar] [CrossRef]
  26. Jaoude, Jad Abou, Sahar Obeid, Diana Malaeb, Fouad Sakr, Mariam Dabbous, Sami El Khatib, Souheil Hallit, Feten Fekih-Romdhane, and Rabih Hallit. 2024. The moderating effect of religiosity between climate change anxiety and death anxiety among a sample of Lebanese adults. BMC Psychology 12: 453. [Google Scholar] [CrossRef]
  27. Jenkins, Willis, Evan Berry, and Luke Beck Kreider. 2018. Religion and Climate Change. Annual Review of Environment and Resources 43: 85–108. [Google Scholar] [CrossRef]
  28. Jost, John T., Christopher M. Federico, and Jaime L. Napier. 2009. Political ideology: Its structure, functions, and elective affinities. Annual Review of Psychology 60: 307–37. [Google Scholar] [CrossRef] [PubMed]
  29. Kidwell, Blair, Adam Farmer, and David M. Hardesty. 2013. Getting Liberals and Conservatives to Go Green: Political Ideology and Congruent Appeals. Journal of Consumer Research 40: 350–67. [Google Scholar] [CrossRef]
  30. Köhrsen, Jens. 2021. Muslims and Climate Change: How Islam, Muslim Organizations, and Religious Leaders Influence Climate Change Perceptions and Mitigation Activities. Wiley Interdisciplinary Reviews Climate Change 12: e702. [Google Scholar] [CrossRef]
  31. Kvaløy, Berit, Henning Finseraas, and Ola Listhaug. 2012. The publics’ concern for global warming: A cross-national study of 47 countries. Journal of Peace Research 49: 11–22. [Google Scholar] [CrossRef]
  32. Mah, Andrea, Brian Lickel, Ezra Markowitz, and Allecia Reid. 2024. Climate Change Stress Leads to Diverse Coping Approaches Depending on Political Beliefs. Ecopsychology 16: 85–98. [Google Scholar] [CrossRef]
  33. Markowitz, Ezra M., and Azim F. Shariff. 2012. Climate change and moral judgement. Nature Climate Change 2: 243–47. [Google Scholar] [CrossRef]
  34. McCright, Aaron M., and Riley E. Dunlap. 2011. The Politicisation of Climate Change and Polarisation in The American Public’s Views of Global Warming, 2001–2010. The Sociological Quarterly 52: 155–94. [Google Scholar] [CrossRef]
  35. McCright, Aaron M., and Riley E. Dunlap. 2013. Bringing ideology in: The conservative white male effect on worry about environmental problems in the USA. Journal of Risk Research 16: 211–26. [Google Scholar] [CrossRef]
  36. McCright, Aaron M., Riley E. Dunlap, and Sandra T. Marquart-Pyatt. 2016. Political ideology and views about climate change in the European Union. Environmental Politics 25: 338–58. [Google Scholar] [CrossRef]
  37. Ogunbode, Charles Adedayo, Ståle Pallesen, Gisela Böhm, Rouven Doran, Navjot Bhullar, Sibele Aquino, Tiago Marot, Julie Aitken Schermer, Anna Wlodarczyk, Su Lu, and et al. 2023. Negative emotions about climate change are related to insomnia symptoms and mental health: Cross-sectional evidence from 25 countries. Current Psychology 42: 845–54. [Google Scholar] [CrossRef]
  38. Onnekink, David, and Suzanne Ros. 2024. The Greening of Dutch Protestant Christianity (1960–2020). BMGN—Low Countries Historical Review 139: 66–95. [Google Scholar] [CrossRef]
  39. Pihkala, Panu. 2018. Eco-anxiety, Tragedy, and Hope: Psychological and Spiritual Dimensions of Climate Change. Zygon 53: 545–69. [Google Scholar] [CrossRef]
  40. Pihkala, Panu. 2020a. Anxiety and the Ecological Crisis: An Analysis of Eco-Anxiety and Climate Anxiety. Sustainability 12: 7836. [Google Scholar] [CrossRef]
  41. Pihkala, Panu. 2020b. Eco-Anxiety and Environmental Education. Sustainability 12: 10149. [Google Scholar] [CrossRef]
  42. Poortinga, Wouter, Lorraine Whitmarsh, Linda Steg, Gisela Böhm, and Stephen Fisher. 2019. Climate change perceptions and their individual-level determinants: A cross-European analysis. Global Environmental Change 55: 25–35. [Google Scholar] [CrossRef]
  43. Roser-Renouf, Connie, Edward W. Maibach, Anthony Leiserowitz, and Xiaoquan Zhao. 2014. The genesis of climate change activism: From key beliefs to political action. Climatic Change 125: 163–78. [Google Scholar] [CrossRef]
  44. Rubial, María del Pilar Bueno. 2021. The Evolution of the United States Climate Change Policies and Missed Leadership Opportunities. Estudios Internacionales 53: 9. [Google Scholar] [CrossRef]
  45. Smith, E. Keith, and Adam Mayer. 2018. Anomalous Anglophones? Contours of free market ideology, political polarisation, and climate change attitudes in English-speaking countries, Western European and post-Communist states. Climatic Change 152: 17–34. [Google Scholar] [CrossRef]
  46. Song, Hwanseok, Neil A. Lewis, Jr., Matthew T. Ballew, Mario Bravo, Julie Davydova, H. Oliver Gao, Robert J. Garcia, Sofia Hiltner, Sarah M. Naiman, Adam R. Pearson, and et al. 2020. What counts as an “environmental” issue? Differences in issue conceptualisation by race, ethnicity, and socioeconomic status. Journal of Environmental Psychology 68: 101404. [Google Scholar] [CrossRef]
  47. Spampatti, Tobia, Ulf J. J. Hahnel, and Tobias Brosch. 2024. Conservatives are less accurate than liberals at recognising false climate statements, and disinformation makes conservatives less discerning: Evidence from 12 countries. Harvard Kennedy School Misinformation Review 5: 1–28. [Google Scholar] [CrossRef]
  48. Stanley, Samantha K., Teaghan L. Hogg, Zoe Leviston, and Iain Walker. 2021. From anger to action: Differential impacts of eco-anxiety, eco-depression, and eco-anger on climate action and wellbeing. The Journal of Climate Change and Health 1: 100003. [Google Scholar] [CrossRef]
  49. Switzer, David, and Jiwoong Jung. 2022. Contextual Responsiveness in U.S. Local Government Climate Policy. Review of Policy Research 40: 920–49. [Google Scholar] [CrossRef]
  50. Taylor, Steven. 2020. Anxiety disorders, climate change, and the challenges ahead: Introduction to the special issue. Journal of Anxiety Disorders 76: 102313. [Google Scholar] [CrossRef]
  51. Thomas, Amanda, Raven Cretney, and Bronwyn Hayward. 2019. Student Strike 4 Climate: Justice, Emergency and Citizenship. New Zealand Geographer 75: 96–100. [Google Scholar] [CrossRef]
  52. Uba, Katrin, Anna Lavizzari, and Martín Portos. 2022. Experience of economic hardship and right-wing political orientation hinder climate concern among European young people. Journal of Contemporary European Studies 31: 835–56. [Google Scholar] [CrossRef]
  53. Village, Andrew. 2015. Was White Right? Biblical Interpretation, Theological Stance and Environmental Attitudes Among a Sample of Uk Churchgoers. Journal of Empirical Theology 28: 23–48. [Google Scholar] [CrossRef]
  54. Zeng, Sheng, Lin Wu, and Tianyuan Liu. 2020. Religious Identity and Public Pro-Environmental Behavior in China: The Mediating Role of Environmental Risk Perception. Religions 11: 165. [Google Scholar] [CrossRef]
  55. Zhao, Xiaoquan, Anthony A. Leiserowitz, Edward W. Maibach, and Connie Roser-Renouf. 2011. Attention to Science/Environment News Positively Predicts and Attention to Political News Negatively Predicts Global Warming Risk Perceptions and Policy Support. Journal of Communication 61: 713–31. [Google Scholar] [CrossRef]
Figure 1. Predicted probabilities.
Figure 1. Predicted probabilities.
Religions 16 00275 g001
Table 1. Descriptive statistics.
Table 1. Descriptive statistics.
NMeanMedianMinMaxSe
Climate anxiety19,4090.821.000.001.00 0.00
Ideology19,4095.385.000.0010.000.02
Political interest19,4092.352.001.004.000.01
Development index19,4090.880.890.770.960.00
Religiosity19,4090.611.000.001.000.00
Table 2. Logistic regression models.
Table 2. Logistic regression models.
Model 1Model 2
(Intercept)2.65 ***8.81 ***
(0.10)(0.40)
Denominations
  Eastern Orthodox1.78 ***1.84 ***
(0.13)(0.13)
  Protestant4.65 ***5.07 ***
(0.18)(0.19)
  Roman Catholic2.04 ***2.21 ***
(0.12)(0.12)
Ideology0.96 **0.95 ***
(0.02)(0.02)
Religiosity1.11 **1.13 **
(0.04)(0.04)
Political Interest 1.20 ***
(0.02)
Development Index 0.15 ***
(0.45)
Ideology x Eastern Orthodox 1.01
(0.02)
Ideology x Protestant 0.88 ***
(0.03)
Ideology x Roman Catholic 1.04
(0.02)
N19,40919,409
AIC18,296.8018,208.25
BIC18,367.6618,294.86
*** p < 0.001; ** p < 0.01. The reference category for denominations and interactions is Muslim.
Disclaimer/Publisher’s Note: The statements, opinions and data contained in all publications are solely those of the individual author(s) and contributor(s) and not of MDPI and/or the editor(s). MDPI and/or the editor(s) disclaim responsibility for any injury to people or property resulting from any ideas, methods, instructions or products referred to in the content.

Share and Cite

MDPI and ACS Style

Toros, E. How Do Religions and Religiosity Matter for Climate Anxiety? Religions 2025, 16, 275. https://doi.org/10.3390/rel16030275

AMA Style

Toros E. How Do Religions and Religiosity Matter for Climate Anxiety? Religions. 2025; 16(3):275. https://doi.org/10.3390/rel16030275

Chicago/Turabian Style

Toros, Emre. 2025. "How Do Religions and Religiosity Matter for Climate Anxiety?" Religions 16, no. 3: 275. https://doi.org/10.3390/rel16030275

APA Style

Toros, E. (2025). How Do Religions and Religiosity Matter for Climate Anxiety? Religions, 16(3), 275. https://doi.org/10.3390/rel16030275

Note that from the first issue of 2016, this journal uses article numbers instead of page numbers. See further details here.

Article Metrics

Back to TopTop