Sign in to use this feature.

Years

Between: -

Subjects

remove_circle_outline
remove_circle_outline
remove_circle_outline
remove_circle_outline
remove_circle_outline
remove_circle_outline
remove_circle_outline
remove_circle_outline
remove_circle_outline

Journals

remove_circle_outline
remove_circle_outline
remove_circle_outline
remove_circle_outline
remove_circle_outline
remove_circle_outline
remove_circle_outline
remove_circle_outline
remove_circle_outline
remove_circle_outline
remove_circle_outline

Article Types

Countries / Regions

remove_circle_outline
remove_circle_outline
remove_circle_outline
remove_circle_outline
remove_circle_outline
remove_circle_outline

Search Results (806)

Search Parameters:
Keywords = religiosity

Order results
Result details
Results per page
Select all
Export citation of selected articles as:
0 pages, 308 KB  
Article
Religious and Spiritual Changes After Near-Death Experience: A Survey-Based Study Among Urban Indonesians
by Rena Latifa, Maryam Abidah Masykuroh and Stefan Huber
Religions 2026, 17(3), 355; https://doi.org/10.3390/rel17030355 - 12 Mar 2026
Viewed by 120
Abstract
Near-death experiences (NDEs) are profound psychological events known to catalyze significant spiritual transformation, though most research has been conducted in Western contexts. This study investigated perceived changes in spirituality or religiosity following NDEs among adults residing in Jakarta, Indonesia (N = 402 NDErs; [...] Read more.
Near-death experiences (NDEs) are profound psychological events known to catalyze significant spiritual transformation, though most research has been conducted in Western contexts. This study investigated perceived changes in spirituality or religiosity following NDEs among adults residing in Jakarta, Indonesia (N = 402 NDErs; 70% female; Mage = 23, SD = 7.93). This population is crucial as spirituality or religiosity are deeply intertwined yet understudied here. Gender differences were non-significant in both continuous (t(400) = 0.43, p = 0.671) and categorical analyses (χ2(2) = 1.03, p = 0.597). Crucially, age emerged as a significant moderator. Early adulthood showed the highest rate of post-NDE increase, significantly exceeding adolescence (z = −2.86, p = 0.004). Conversely, middle adulthood showed higher baseline levels but greater post-NDE stability. Furthermore, pre-existing spirituality or religiosity significantly predicted post-NDE changes (r = 0.174, p < 0.001). Interestingly, non-religious individuals were paradoxically overrepresented among those reporting a decrease (χ2(4) = 15.10, p = 0.004). These findings indicate that age and pre-existing levels of spirituality or religiosity potentially moderate the relationship between NDEs and changes in spiritual or religious levels following NDEs, highlighting the role of developmental and cognitive factors in transformative experiences. This study suggests that NDEs are associated with increased spirituality or religiosity among Indonesians, consistent with the broader global literature on their transformative aftereffects. Full article
(This article belongs to the Special Issue Links Between Psychology/Psychiatry and Religion)
19 pages, 387 KB  
Article
Sexual Orientation and Suicide Risk: Examining the Contributions of Hopelessness, Life Satisfaction, and Spirituality
by Félix Arbinaga, Jara Durán-Andrada, Cristina Fuentes-Méndez, Manuel Flores-Pérez, Nehemías Romero-Pérez, Lidia Torres-Rosado and Miriam Bernal-López
Behav. Sci. 2026, 16(3), 406; https://doi.org/10.3390/bs16030406 - 10 Mar 2026
Viewed by 168
Abstract
Suicidal behaviors constitute a major global public health problem, with sexual minority groups showing a higher risk of engaging in such behaviors. This study aimed to analyze the influence of hopelessness, life satisfaction, and spirituality on suicide risk according to self-reported sexual orientation. [...] Read more.
Suicidal behaviors constitute a major global public health problem, with sexual minority groups showing a higher risk of engaging in such behaviors. This study aimed to analyze the influence of hopelessness, life satisfaction, and spirituality on suicide risk according to self-reported sexual orientation. A total of 532 individuals participated (M = 31.15 years, SD = 12.002). Of these, 39.8% identified as heterosexual, 34.2% as gay or lesbian individuals, and 25.9% as bisexual. Participants were assessed using the Plutchik Suicide Risk Scale, Beck’s Hopelessness Scale, the Beliefs and Values Scale, and Diener’s Satisfaction with Life Scale. The results indicate that 52.9% of bisexual participants and 41.2% of gay and lesbian participants presented a high suicide risk, compared with 15.6% of heterosexual participants. Individuals with a high suicide risk reported higher levels of hopelessness (p < 0.001), lower levels of life satisfaction (p < 0.001), and similar levels of spirituality. The proportion of variance explained in suicide risk was 42.8% among bisexual participants, 34.2% among gay and lesbian participants, and 29.9% among heterosexual participants. Hopelessness predicted a similar proportion of across groups (β = 0.446 in heterosexuals, β = 0.447 in gays and lesbians, and β = 0.457 in bisexuals). Life satisfaction showed a protective predictive effect, with β = −0.241 in bisexual participants, followed by gay and lesbian participants (β = −0.186) and heterosexual participants (β = −0.137). Spirituality was significant only among gay and lesbian participants (β = 0.133) and bisexual participants (β = 0.214). Sexual minority groups exhibited a higher risk of suicide, with life satisfaction—but not spirituality—acting as a protective factor. Full article
(This article belongs to the Section Psychiatric, Emotional and Behavioral Disorders)
11 pages, 392 KB  
Article
Aspects of Religious Life as Determinants of the Subjective Health Assessment of Religious Sisters: The Role of Prayer, Community, and Daily Practices
by Paulina Teodorczyk, Paweł Najechalski, Maciej Walędziak and Anna Różańska-Walędziak
Healthcare 2026, 14(5), 691; https://doi.org/10.3390/healthcare14050691 - 9 Mar 2026
Viewed by 124
Abstract
Introduction: Religious practices can shape lifestyles, influence health choices, and help individuals cope with illness and suffering. Understanding which aspects of religiosity support health-promoting attitudes is particularly important. This study explores how belonging to a religious community affects health and well-being among religious [...] Read more.
Introduction: Religious practices can shape lifestyles, influence health choices, and help individuals cope with illness and suffering. Understanding which aspects of religiosity support health-promoting attitudes is particularly important. This study explores how belonging to a religious community affects health and well-being among religious sisters. Materials and Methods: An anonymous survey was conducted among 463 women from international, apostolic Catholic congregations in Poland and 33 other countries. The questionnaire included questions on lifestyle, physical health (including diet, physical activity, sleep, chronic conditions, and medication use), and perceptions of how community life influences health and encourages health-conscious behaviors. Results: Overall, 57% of participants reported following a healthy lifestyle, most commonly sisters aged 65 and older (73%). Non-Polish sisters and those living outside Poland were more likely to report healthy habits. Among sisters who saw their community as beneficial for health, 69% led a healthy lifestyle. Retreats, a sense of belonging, communal prayers, and vacations were consistently rated as having the most positive impact on well-being, particularly among older sisters and missionaries. Conclusions: Life in a religious community appears to support health both directly, through structured daily routines and shared responsibilities, and indirectly, by providing social support and fostering a sense of purpose. Spiritual practices, rest, and close interpersonal relationships emerge as the most influential factors for well-being, while formal obligations such as wearing religious attire or attending formation meetings were rated as less impactful. These findings highlight the important role of communal life in promoting both physical and spiritual health among religious sisters. Full article
Show Figures

Figure 1

18 pages, 584 KB  
Article
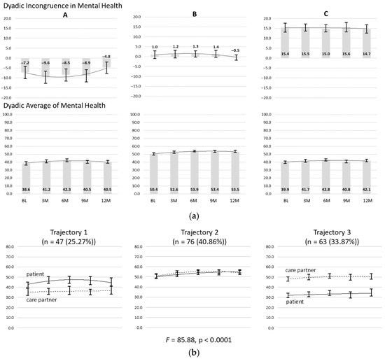
Distinct Patterns of Dyadic Mental Health in Patients with End-Stage Liver Disease and Their Care Partners
by Lissi Hansen, Karen S. Lyons, Nathan F. Dieckmann, Michael F. Chang, Shirin O. Hiatt, Susan J. Rosenkranz and Christopher S. Lee
Healthcare 2026, 14(5), 645; https://doi.org/10.3390/healthcare14050645 - 4 Mar 2026
Viewed by 189
Abstract
Background/Objectives: Little research has examined changes over time in mental health within end-stage liver disease (ESLD) patient–care partner dyads. Therefore, the aim of this observational study was to identify patterns of dyadic mental health over time in a sample of ESLD dyads [...] Read more.
Background/Objectives: Little research has examined changes over time in mental health within end-stage liver disease (ESLD) patient–care partner dyads. Therefore, the aim of this observational study was to identify patterns of dyadic mental health over time in a sample of ESLD dyads and associations with individual- and dyadic-level characteristics. Methods: Adult men and women with ESLD and their care partners were recruited at liver clinics at two healthcare centers in the U.S. Pacific Northwest. Survey data were collected at the time of study enrollment and at 3, 6, 9, and 12 months. Patients and care partners completed the Mishel Uncertainty in Illness Scale, the Multidimensional Perceived Social Support Scale, the Mutuality Scale, the Short-Form Health Survey, and one religiosity item. Standard summary statistics and multilevel and latent growth mixture modeling were used to analyze the data. Results: In total, 186 dyads were included in the analyses, which revealed three distinct patterns of dyadic mental health: “disparate: patient better” (n = 47 [25.3%]), “shared mental health” (n = 76 [40.86%]), and “disparate: care partner better” (n = 63 [33.87%]). Significant characteristics associated with the patterns included care-related strain, uncertainty, relationship quality, and social support. Conclusions: Clinical implications include greater attention to both members of the dyad, with particular attention to low levels of mental health in patients or care partners as identified by the different patterns. Future research should employ a dyadic approach to address the prevalence of characteristics and identify others to improve the mental health of both members of the dyad. Full article
Show Figures

Figure 1

15 pages, 712 KB  
Article
The Association Between Religiosity and Lifelong Cancer Incidence in an Israeli Male Cohort: A Competing Risk Survival Analysis
by Lipaz Varkel, Uri Goldbourt and Yariv Gerber
Epidemiologia 2026, 7(2), 38; https://doi.org/10.3390/epidemiologia7020038 - 3 Mar 2026
Viewed by 263
Abstract
Background: While religious involvement has been linked to better health outcomes, its specific association with cancer incidence remains uncertain. The potential for confounding by lifestyle factors, such as physical activity, body weight, and smoking, complicates the interpretation of this relationship, necessitating further research [...] Read more.
Background: While religious involvement has been linked to better health outcomes, its specific association with cancer incidence remains uncertain. The potential for confounding by lifestyle factors, such as physical activity, body weight, and smoking, complicates the interpretation of this relationship, necessitating further research in large, well-defined cohorts. This study aims to investigate the association between religiosity and cancer incidence in a large Israeli cohort while controlling for a comprehensive set of confounders and the competing risk of mortality. Methods: We conducted a retrospective analysis of 8746 male city-hall employees from the Israeli Ischemic Heart Disease (IIHD) cohort, enrolled in 1963. Cancer and mortality follow-up lasted through 2019. Religiosity was self-reported at baseline and categorized as secular, traditional, or religious. We employed a cause-specific Cox proportional hazards model with age as the time scale to analyze the risk of cancer incidence, treating death as a competing risk. The model was adjusted for a comprehensive set of baseline confounders, including socioeconomic status, smoking, physical activity, body mass index, systolic blood pressure, cholesterol, and diabetes. Results: During the follow-up period, cancer was diagnosed in 2692 participants. We observed a significant inverse association between religiosity and cancer incidence. Compared to secular participants, the religious group had a significantly lower risk of cancer (multivariable-adjusted hazard ratio [HR] = 0.80, 95% CI: 0.73–0.87; p < 0.001); the traditional group had a nonsignificantly lower risk (HR = 0.91, 95% CI: 0.82–1.02; p = 0.10). This association was specific to cancer incidence, as religiosity was not significantly associated with the competing risk of mortality. Conclusions: In this cohort study, a higher level of religiosity was associated with a significantly lower risk of lifelong cancer incidence, independent of a wide range of lifestyle, social, and clinical factors. These findings suggest that psychosocial and biobehavioral pathways associated with a religious lifestyle may play a protective role in cancer etiology. Full article
Show Figures

Figure 1

21 pages, 333 KB  
Review
The Role of Religion in Military Socialisation: Toward an Integrative Model
by Boglárka Barna
Religions 2026, 17(3), 305; https://doi.org/10.3390/rel17030305 - 2 Mar 2026
Viewed by 252
Abstract
This study examines religion as a potent pre-socialisation factor in modern military socialisation, exploring how sacred roots and transcendent anchors influence the formation of military identity. By synthesising Ecological Systems Theory, the Religion–Military Model, and an Integrative Model, the analysis frames religiosity as [...] Read more.
This study examines religion as a potent pre-socialisation factor in modern military socialisation, exploring how sacred roots and transcendent anchors influence the formation of military identity. By synthesising Ecological Systems Theory, the Religion–Military Model, and an Integrative Model, the analysis frames religiosity as a multidimensional construct that shapes integration across macro (societal), meso (organisational), and micro (individual) levels. The research reveals the dualistic nature of religious influence. On the one hand, religious pre-socialisation instils a habitus defined by normative commitment, sacrificial ethics, and ritual familiarity. These elements facilitate Person–Organisation fit and act as catalysts for identity fusion, where personal agency is united with the group’s strength. On the other hand, the study identifies a critical theological and psychological vulnerability: moral injury. When absolute religious commandments—such as the sanctity of life—collide with the lethal demands of combat, an irresolvable normative conflict arises, mirroring historical tensions between the Christian conscience and the sacramentum. By identifying strategic intervention points for chaplaincy and leadership, the study demonstrates that integrating the religious dimension is not only an ethical duty but a prerequisite for maintaining triadic equilibrium, resilience, and institutional stability. Full article
(This article belongs to the Special Issue The Ethics of War and Peace: Religious Traditions in Dialogue)
18 pages, 572 KB  
Article
Better Person, Better Society: A Different Perspective on the Association Between Instrumental Religiosity, Interpersonal Empathy and Social Justice Values
by Marina Alexandra Tudoran, Alexandru Neagoe, Cosmin Goian, Theofild-Andrei Lazăr and Laurențiu Gabriel Țîru
Behav. Sci. 2026, 16(3), 331; https://doi.org/10.3390/bs16030331 - 27 Feb 2026
Viewed by 186
Abstract
Religiosity and empathy have been identified as two key variables that may significantly influence an individual’s social justice attitude and behavior. Despite their significance, studies addressing the relationships between these variables are rare. Thus, the present study aims to explore the associations between [...] Read more.
Religiosity and empathy have been identified as two key variables that may significantly influence an individual’s social justice attitude and behavior. Despite their significance, studies addressing the relationships between these variables are rare. Thus, the present study aims to explore the associations between interpersonal empathy, instrumental religiosity, and social justice values using the conceptual framework of motivated information processing theory. Structural equation modeling (SEM) was employed to assess the hypothetical relationships between these variables. The findings indicate that personal instrumental religiosity, social interaction, and cognitive behavior are positively associated with the level of adherence to both instrumental and social terminal values of social justice. In contrast, social instrumental religiosity exerts only a direct influence on the instrumental values of social justice. This study also revealed the role of social interaction and cognitive behavior as mediators between personal instrumental religiosity and the instrumental and social terminal values of social justice. The findings underscore the imperative for researchers to devise educational programs that acknowledge and promote the significance of religion and empathy in fostering a more equitable and compassionate society. Full article
(This article belongs to the Section Social Psychology)
Show Figures

Figure 1

14 pages, 244 KB  
Article
Islamic Locality and the Failure of the Caliphate Idea: The Role of the Da’wa Movement in Indonesian Islam History
by Syamsudin, Ahmad Sarbini and Dindin Solahudin
Religions 2026, 17(3), 297; https://doi.org/10.3390/rel17030297 - 27 Feb 2026
Viewed by 295
Abstract
This article argues that the da’wa movements initiated by Islamic mass organizations such as Muhammadiyah and Nahdlatul Ulama (NU) through the concept of Islamic locality constitute one of the key factors contributing to the failure of the caliphate idea in Indonesia. This locality [...] Read more.
This article argues that the da’wa movements initiated by Islamic mass organizations such as Muhammadiyah and Nahdlatul Ulama (NU) through the concept of Islamic locality constitute one of the key factors contributing to the failure of the caliphate idea in Indonesia. This locality is characterized by the synthesis of Islamic theology, law, and practice with the sociocultural, political, and historical realities of the Archipelago. Employing a historical–sociological method and document analysis, this article traces how these da’wa movements have embedded a distinctly Indonesian notion of Islamic locality. The findings reveal that through the establishment of socio-educational institutions (schools, hospitals, pesantren), cultural adaptation, and participation in the nation-building project, these Islamic da’wa movements have addressed the social and spiritual needs of Indonesian Muslims within the framework of the nation state. Therefore, the failure of the caliphate idea is not due to a lack of religiosity of Indonesian Muslims, but rather because localized Islamic understanding has rendered the caliphate not only irrelevant but also theologically incongruent with the perspectives of the majority of Indonesian Muslims. Full article
(This article belongs to the Section Religions and Humanities/Philosophies)
19 pages, 862 KB  
Article
Religion as a Factor in the Sustainable Functioning of Emigrant Families: Between Continuity and Modification of Identity in the Context of Catholic Communities in Scotland
by Janina Kotlińska, Anna Spoz, Kazimierz Pek, Zdzisław Adam Błasiak, Paweł Marzec and Piotr Krakowiak
Religions 2026, 17(3), 292; https://doi.org/10.3390/rel17030292 - 26 Feb 2026
Viewed by 312
Abstract
The subject of this article falls within the field of research on emigrants, particularly Polish emigrants in Scotland. Specifically, it analyses the impact of religion on the sustainable functioning of emigrant households. The article tests the following research hypotheses: (1) emigrants’ religiosity influences [...] Read more.
The subject of this article falls within the field of research on emigrants, particularly Polish emigrants in Scotland. Specifically, it analyses the impact of religion on the sustainable functioning of emigrant households. The article tests the following research hypotheses: (1) emigrants’ religiosity influences the ongoing sustainable functioning of their households, including economic decisions; economic decisions made in emigrant households are determined by the importance of Christian values professed by their members; (2) the religious community and commitment to it constitute a significant source of emigrant social identity; (3) the dynamics of cultural identity transformation (inculturation) in emigrant households depend on household type and relationships within the household. The test was conducted within the paradigm of quantitative social research, using the diagnostic survey method. The research technique employed was an online survey conducted in the CAWI (Computer-Assisted Web Interviewing) format. Full article
Show Figures

Figure 1

17 pages, 307 KB  
Article
The Social Distribution of Climate Change Risk Perception: Unraveling Intersectional Patterns of Concern in the United States
by Musabber Ali Chisty
Climate 2026, 14(2), 58; https://doi.org/10.3390/cli14020058 - 16 Feb 2026
Viewed by 579
Abstract
The escalating frequency and severity of extreme weather events globally have underscored the critical importance of addressing anthropogenic climate change. Countries that contribute disproportionately to global warming relative to their population size bear an urgent responsibility to mitigate climate risks. However, effecting substantive [...] Read more.
The escalating frequency and severity of extreme weather events globally have underscored the critical importance of addressing anthropogenic climate change. Countries that contribute disproportionately to global warming relative to their population size bear an urgent responsibility to mitigate climate risks. However, effecting substantive policy change requires a broad public consensus to compel legislative action, a process fundamentally dependent on risk perception. It is theorized that individuals, households, and communities with higher levels of climate change risk perception are more inclined to adopt mitigation behaviors and support collective action. Such perception, however, varies considerably across social dimensions. This study aims to examine how sociodemographic factors shape climate change risk perception among Americans and how intersectionality reveals nuanced patterns beyond single-axis analysis. Using data from the 2023 National Survey of Health Attitudes, the analysis demonstrates that gender, race/ethnicity, educational attainment, religiosity, marital status, and geographic region serve as strong predictors of climate risk perception. Further intersectional analysis reveals that individuals with multiple marginalized social identities, such as race, gender, and socioeconomic status, perceive climate risk distinctly from those without such compounded identities. The study concludes that effective climate communication and policy interventions must prioritize sociodemographic diversity and integrate an intersectional lens to address differential vulnerabilities and perceptions equitably. Full article
14 pages, 294 KB  
Article
Psychosocial Correlates of Social Problem-Solving and Empathy Among Youth in Fifteen Muslim Societies
by Ilham Nasser and Mohammed Abu-Nimer
Societies 2026, 16(2), 63; https://doi.org/10.3390/soc16020063 - 13 Feb 2026
Viewed by 298
Abstract
This article is based on a study that surveyed youth in Muslim-majority societies to investigate the competencies that support youths’ problem-solving skills and empathy. More specifically, it aims to examine attitudes towards psychosocial skills, including self-regulation, forgiveness, religiosity/spirituality, collective orientation, social problem solving, [...] Read more.
This article is based on a study that surveyed youth in Muslim-majority societies to investigate the competencies that support youths’ problem-solving skills and empathy. More specifically, it aims to examine attitudes towards psychosocial skills, including self-regulation, forgiveness, religiosity/spirituality, collective orientation, social problem solving, and empathy. The survey focused on youth (N = 15,790) in secondary and higher education (ages 18 and under and 18–24) from 15 Muslim-majority societies. The 2020–2021 survey findings reveal that age, gender, and group differences significantly affect collectivistic orientation, self-regulation, and problem-solving. Additionally, the results support the hypothesis that all variables except forgiveness predict empathy and problem-solving among Muslim youth. By including skills essential to modern life, such as empathy and problem-solving, and by exploring their roles in youth development and social interactions, the study highlights social and cultural attitudes toward these psychosocial, personal, and interpersonal skills, especially among youth in Muslim societies. Full article
Show Figures

Figure 1

15 pages, 419 KB  
Article
Determinants of Preferences for Employment Patriarchy in Turkey
by Tekin Kose and Dogan Kaan Erdinc
Economies 2026, 14(2), 51; https://doi.org/10.3390/economies14020051 - 9 Feb 2026
Viewed by 425
Abstract
Patriarchal attitudes persistently constrain women’s employment outcomes in Turkey. This study investigates individual-level determinants of preferences for employment patriarchy using the World Values Survey (WVS) Wave 7 data for the Turkish case. An ordered probit model is utilized to quantify associations of sociodemographic [...] Read more.
Patriarchal attitudes persistently constrain women’s employment outcomes in Turkey. This study investigates individual-level determinants of preferences for employment patriarchy using the World Values Survey (WVS) Wave 7 data for the Turkish case. An ordered probit model is utilized to quantify associations of sociodemographic characteristics, religiosity, political views, and other patriarchal attitudes with preferences for employment patriarchy in Turkey. Findings reveal that higher religiosity, right-wing views, and other patriarchal attitudes (educational, managerial, and household) are positively associated with preferences for employment patriarchy in Turkey. Females are less likely to have preferences for employment patriarchy. The results imply that there are multidimensional pathways leading to preferences for employment patriarchy. Hence, policies to improve female labor market outcomes should develop multidimensional mechanisms to mitigate the impacts of religious, political and normative factors by moving beyond one-size-fits-all approaches. Full article
(This article belongs to the Special Issue Labour Market Dynamics in European Countries)
Show Figures

Figure 1

23 pages, 5948 KB  
Article
Eco-Anxiety Profiles, Religiosity, and Sustainable Nutrition in Turkish Adults: A Latent Profile and Network Analysis
by Sedat Arslan, Hande Ongun Yilmaz and Salim Yilmaz
Nutrients 2026, 18(3), 545; https://doi.org/10.3390/nu18030545 - 6 Feb 2026
Viewed by 367
Abstract
Background: Eco-anxiety is increasingly viewed as a multidimensional response to the climate crisis, but its links with religiosity and sustainable nutrition behaviors in highly religious settings are unclear. We identified eco-anxiety profiles in Turkish adults; compared religiosity, sustainable nutrition behaviors, and body mass [...] Read more.
Background: Eco-anxiety is increasingly viewed as a multidimensional response to the climate crisis, but its links with religiosity and sustainable nutrition behaviors in highly religious settings are unclear. We identified eco-anxiety profiles in Turkish adults; compared religiosity, sustainable nutrition behaviors, and body mass index (BMI) across profiles; and examined the multivariate network connecting these domains. Methods: This cross-sectional online survey in Türkiye included 1105 adults (69.3% women; age 25.8 ± 8.4 years; BMI 23.5 ± 4.5 kg/m2). Participants completed the Eco-anxiety Scale, Duke University Religion Index, and Behaviors Scale Toward Sustainable Nutrition. Latent profile analysis used four eco-anxiety subscales. Between-profile differences were tested using canonical discriminant analysis and Kruskal–Wallis tests. A Gaussian graphical model estimated with EBICglasso assessed network connectivity. Results: Four profiles emerged: High (11.9%), Moderate (54.8%), Affective-dominant (8.3%), and Low (24.9%). Compared with the Low profile, the High profile showed higher sustainable nutrition scores for food preference, seasonal/local nutrition, and food purchasing (all p < 0.05); however, effect sizes were small (η2H = 0.008–0.014), indicating modest practical differences. BMI did not differ across profiles (p = 0.211). In the network, seasonal/local nutrition had the highest strength centrality, whereas BMI was peripheral and weakly connected to other nodes. Conclusions: Eco-anxiety was heterogeneous and showed modest associations with sustainable nutrition behaviors at the group level, without differences in BMI. These preliminary findings suggest that eco-anxiety may co-occur with more sustainable food-related choices, generating hypotheses for future replication. Full article
(This article belongs to the Special Issue Mega-Trend: Sustainable Nutrition and Human Health)
Show Figures

Figure 1

20 pages, 872 KB  
Article
A Systems Perspective on Ecological Citizenship in Libya: Cultural Mediation of Environmental Attitudes in a Socio-Economic Context
by Ahmed Mohamed Saleh Essayah and Askin Kiraz
Systems 2026, 14(2), 162; https://doi.org/10.3390/systems14020162 - 3 Feb 2026
Viewed by 291
Abstract
Ecological citizenship offers a framework for understanding how individuals translate environmental knowledge and concern into civic environmental engagement. However, the cultural mechanisms shaping this process remain understudied, particularly in Libya and comparable socio-cultural contexts. This study examines how environmental concern and the New [...] Read more.
Ecological citizenship offers a framework for understanding how individuals translate environmental knowledge and concern into civic environmental engagement. However, the cultural mechanisms shaping this process remain understudied, particularly in Libya and comparable socio-cultural contexts. This study examines how environmental concern and the New Environmental Paradigm (NEP) influence ecological citizenship and the extent to which cultural factors mediate these relationships in Libya. Using a quantitative design, data were collected from 509 adults through validated scales measuring ecological citizenship, environmental concern, the NEP, and cultural values. The statistical analysis results show that environmental concern positively predicts ecological citizenship, with altruistic and biospheric concerns exerting the strongest effects. While the NEP correlates positively with ecological citizenship, its direct impact becomes non-significant when cultural factors are introduced. Cultural values, particularly religiosity, family orientation, generosity, and interdependence, demonstrate strong positive associations with ecological citizenship and mediate the effects of both the NEP and environmental concern, while materialism shows an inverse relationship. The findings of this research highlight that ecological citizenship is shaped not only by environmental attitudes but also by culturally embedded norms and values. Full article
(This article belongs to the Special Issue Systems Thinking and Modelling in Socio-Economic Systems)
Show Figures

Figure 1

11 pages, 261 KB  
Article
Exploring the Link Between Religiosity and COVID-19 Vaccination Attitudes in Romania
by Darie Cristea, Dragoș-Georgian Ilie and Irina Zamfirache
Societies 2026, 16(2), 46; https://doi.org/10.3390/soc16020046 - 30 Jan 2026
Viewed by 372
Abstract
This study investigates the relationship between religiosity and attitudes toward COVID-19 vaccination in Romania using nationally representative survey data from the Barometer of Religious Life (December 2021). Five survey items measuring religious beliefs and practices were used to construct a Religious Practice Index, [...] Read more.
This study investigates the relationship between religiosity and attitudes toward COVID-19 vaccination in Romania using nationally representative survey data from the Barometer of Religious Life (December 2021). Five survey items measuring religious beliefs and practices were used to construct a Religious Practice Index, whose reliability and one-dimensionality were confirmed through Cronbach’s Alpha and factor analysis. Correlation analysis revealed a small but statistically significant negative association between religiosity and vaccination acceptance (r = −0.106, p = 0.001). Binary logistic regression further indicated that higher religiosity, younger age, lower income, and rural residence were significant predictors of reduced vaccination likelihood, while older age, higher income, and urban residence were associated with greater acceptance. Nevertheless, the model explained only 9.3% of the variance and correctly classified 64.4% of cases, suggesting modest predictive power. These findings indicate that religiosity influences vaccination attitudes but does not serve as a dominant predictor, highlighting the importance of other additional factors that were beyond the scope of this analysis and were not measured. Full article
Back to TopTop