Observer-Based Autopilot Heading Finite-Time Control Design for Intelligent Ship with Prescribed Performance
Abstract
:1. Introduction
2. Problem Formulation
2.1. Description of Autopilot Heading Control
2.2. Prescribed Performance
2.3. Fuzzy Logic Systems
2.4. Finite-Time Stability
3. Autopilot Control Design and Stability Analysis
3.1. Adaptive Fuzzy State Observer Design
3.2. Design and Stability Analysis of Autopilot Heading Tracking Control
4. Stability Analysis
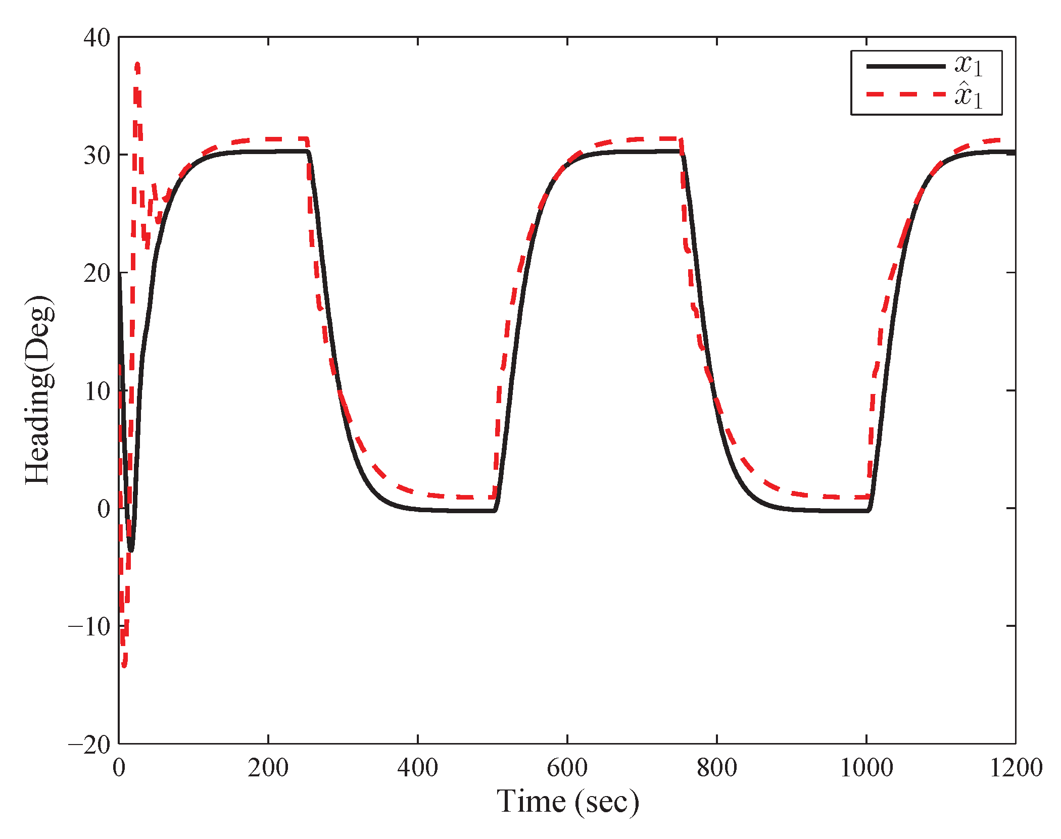
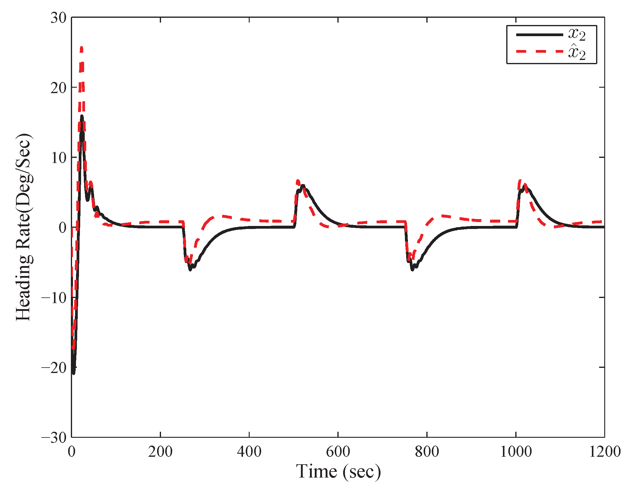
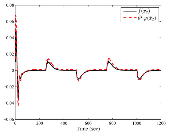
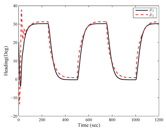
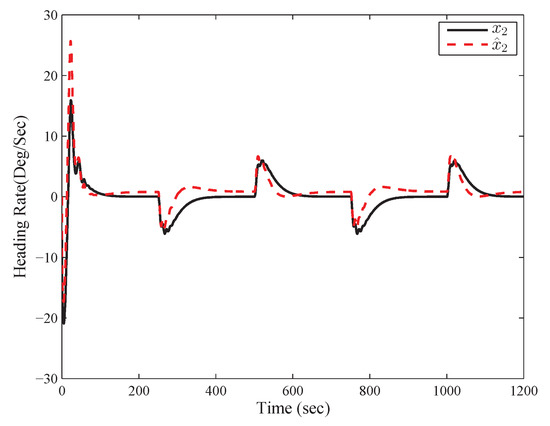
5. Simulation Study
6. Conclusions
Author Contributions
Funding
Institutional Review Board Statement
Informed Consent Statement
Data Availability Statement
Conflicts of Interest
References
- Minorsky, N. Directional stability of automatically steered bodies. J. Am. Soc. Nav. Eng. 1992, 34, 280–309. [Google Scholar] [CrossRef]
- Kallstrom, C. Adaptive autopilots for tankers. Automatica 1979, 15, 241–254. [Google Scholar] [CrossRef]
- Yang, Y.S.; Zhou, C.J.; Ren, J.S. Model reference adaptive robust fuzzy control for ship steering autopilot with uncertain nonlinear systems. Appl. Soft Comput. 2003, 3, 305–316. [Google Scholar] [CrossRef]
- Yang, Y.S.; Ren, J.S. Adaptive fuzzy robust tracking controller design via small gain approach and its application. IEEE Trans. Fuzzy Syst. 2003, 11, 783–795. [Google Scholar] [CrossRef]
- Tung, L.T. Design a ship autopilot using neural network. J. Ship Prod. Des. 2017, 33, 192–196. [Google Scholar] [CrossRef]
- Dai, S.; Wang, M.; Wang, C. Neural learning control of marine surface vessels with guaranteed transient tracking performance. Ind. Electron. IEEE Trans 2016, 63, 1717–1727. [Google Scholar] [CrossRef]
- Perera, L.P.; Soares, C.G. Pre-filtered sliding mode control for nonlinear ship steering associated with disturbances. Ocean. Eng. 2012, 51, 49–62. [Google Scholar] [CrossRef]
- Zhou, Y.; Li, R.; Zhao, D.; Wu, Q. Ship course control using LESO with wave disturbance. In Proceedings of the IEEE International Conference on Robotics and Biomimetics, Qingdao, China, 3–7 December 2016. [Google Scholar]
- Du, J.; Hu, X.; Liu, H.; Chen, C. Adaptive robust output feedback control for a marine dynamic positioning system based on a high-gain observer. IEEE Trans. Neural Netw. Learn. Syst. 2015, 26, 2775–2786. [Google Scholar] [CrossRef]
- Wang, Z.W.; Peng, X.Y. Control of ship course based on NN-adaptive output feedback. Trans. Beijing Inst. Technol. 2011, 31, 425–429. [Google Scholar]
- Zheng, Y.F.; Li, J.M.; Li, R.H. Output feedback control design for ship’s course keeping nonlinear system based on state observer. In Proceedings of the 29th Chinese Control Conference, Beijing, China, 29–31 July 2010; pp. 606–609. [Google Scholar]
- Peng, X.Y.; Hu, Z.H. Adaptive nonlinear output feedback control with wave filter for ship course. Control. Theory Appl. 2013, 30, 863–868. [Google Scholar]
- Wang, L.X. Stable adaptive fuzzy control of nonlinear systems. IEEE Trans. Fuzzy Syst. 1993, 1, 146–155. [Google Scholar] [CrossRef]
- Perera, L.P.; Soares, C.G. Lyapunov and Hurwitz based controls for input–output linearisation applied to nonlinear vessel steering. Ocean. Eng. 2013, 66, 58–68. [Google Scholar] [CrossRef]
- Weng, Y.; Wang, N.; Soares, C.G. Data-driven sideslip observer-based adaptive sliding-mode path-following control of underactuated marine vessels. Ocean. Eng. 2020, 197, 106910. [Google Scholar] [CrossRef]
- Hx, A.; Tif, B.; Cgs, A. Uniformly semiglobally exponential stability of vector field guidance law and autopilot for path-following. Eur. J. Control. 2020, 53, 88–97. [Google Scholar]
- Wang, N.; Sun, Z.; Su, S.F.; Wang, Y.Y. Fuzzy uncertainty observer-based path-following control of underactuated marine vehicles with unmodeled dynamics and disturbances. Int. J. Fuzzy Syst. 2018, 20, 2593–2604. [Google Scholar] [CrossRef]
- Perera, L.P.; Carvalho, J.P.; Soares, C.G. Intelligent Ocean Navigation and Fuzzy-Bayesian Decision/Action Formulation. IEEE J. Ocean. Eng. 2012, 37, 204–219. [Google Scholar] [CrossRef]
- Wang, F.; Chen, B.; Liu, X.P.; Lin, C. Finite-time adaptive fuzzy tracking control design for nonlinear systems. IEEE Trans. Fuzzy Syst. 2018, 26, 1207–1216. [Google Scholar] [CrossRef]
- Sun, Y.M.; Lin, B.C.; Wang, H.H. Finite-time adaptive control for a class of nonlinear systems with nonstrict feedback structure. IEEE Trans. Cybern. 2018, 48, 2774–2782. [Google Scholar] [CrossRef]
- Wang, F.; Chen, B.; Lin, C.; Zhang, J.; Meng, X.Z. Adaptive neural network finite-time output feedback control of quantized nonlinear systems. IEEE Trans. Cybern. 2018, 48, 1839–1848. [Google Scholar] [CrossRef]
- Zhu, Z.; Xia, Y.Q.; Fu, M.Y. Attitude stabilization of rigid spacecraft with finite-time convergence. Int. J. Robust Nonlinear Control. 2011, 21, 686–702. [Google Scholar] [CrossRef]
- Khoo, S.Y.; Yin, J.L.; Man, Z.H.; Yu, X.H. Finite-time stabilization of stochastic nonlinear systems in strict-feedback form. Automatica 2013, 49, 1403–1410. [Google Scholar] [CrossRef]
- Si, W.; Dong, X. Neural prescribed performance control for uncertain marine surface vessels without accurate initial errors. Math. Probl. Eng. 2017, 2017, 2618323.1–2618323.11. [Google Scholar] [CrossRef]
- Li, T.S.; Wang, D.; Feng, G.; Tong, S.C. A DSC approach to robust adaptive NN tracking control for strict-feedback nonlinear systems. IEEE Trans. Syst. Man Cybern. Part B 2010, 40, 915–927. [Google Scholar]
- Bechlioulis, C.P.; Rovithakis, G.A. A low-complexity global approximation-free control scheme with prescribed performance for unknown pure feedback systems. Automatica 2014, 50, 1217–1226. [Google Scholar] [CrossRef]
- Qian, C.J.; Lin, W. Non-lipschitz continuous stabilizers for nonlinear systems with uncontrollable unstable linearization. Syst. Control. Lett. 2001, 42, 185–200. [Google Scholar] [CrossRef]
- Li, Y.M.; Li, K.W.; Tong, S.C. Adaptive neural network finite-time control for multi-input and multi-output nonlinear systems with positive powers of odd rational numbers. IEEE Trans. Neural Netw. Learn. Syst. 2020, 31, 2532–2543. [Google Scholar] [CrossRef]
- Nicolau, V. Neuro-fuzzy system for intelligent course control of underactuated conventional ships. In Proceedings of the IEEE International Workshop on Soft Computing Applications, Gyula, Hungary, 21–23 August 2007; pp. 95–101. [Google Scholar]
- Vu, M.T.; Le, T.-H.; Thanh, H.L.N.N.; Huynh, T.-T.; Van, M.; Hoang, Q.-D.; Do, T.D. Robust Position Control of an Over-actuated Underwater Vehicle under Model Uncertainties and Ocean Current Effects Using Dynamic Sliding Mode Surface and Optimal Allocation Control. Sensors 2021, 21, 747. [Google Scholar] [CrossRef] [PubMed]
- Vu, M.T.; Thanh, H.L.N.N.; Huynh, T.T.; Do, Q.T.; Do, T.D.; Hoang, Q.D.; Le, T.H. Station-Keeping Control of a Hovering Over-Actuated Autonomous Underwater Vehicle Under Ocean Current Effects and Model Uncertainties in Horizontal Plane. IEEE Access 2020, 9, 6855–6867. [Google Scholar] [CrossRef]
- Thanh, H.L.N.N.; Vu, M.T.; Mung, N.X.; Nguyen, N.P.; Phuong, N.T. Perturbation Observer-Based Robust Control Using a Multiple Sliding Surfaces for Nonlinear Systems with Influences of Matched and Unmatched Uncertainties. Mathematics 2020, 8, 1371. [Google Scholar] [CrossRef]
- Borkowski, P.; Zwierzewicz, Z. Ship course stabilization based on a simplified computer dynamics model. Sci. J. Marit. Univ. Szczec. 2005, 5, 97–109. [Google Scholar]
- Han, Y.Z.; Pan, H.R.X.W.; Wang, C. A fuzzy sliding mode controller and its application on ship course control. In Proceedings of the 7th International Conference on Fuzzy Systems and Knowledge Discovery, Yantai, China, 10–12 August 2010; pp. 635–638. [Google Scholar]










Publisher’s Note: MDPI stays neutral with regard to jurisdictional claims in published maps and institutional affiliations. |
© 2021 by the authors. Licensee MDPI, Basel, Switzerland. This article is an open access article distributed under the terms and conditions of the Creative Commons Attribution (CC BY) license (https://creativecommons.org/licenses/by/4.0/).
Share and Cite
Zhu, L.; Li, T. Observer-Based Autopilot Heading Finite-Time Control Design for Intelligent Ship with Prescribed Performance. J. Mar. Sci. Eng. 2021, 9, 828. https://doi.org/10.3390/jmse9080828
Zhu L, Li T. Observer-Based Autopilot Heading Finite-Time Control Design for Intelligent Ship with Prescribed Performance. Journal of Marine Science and Engineering. 2021; 9(8):828. https://doi.org/10.3390/jmse9080828
Chicago/Turabian StyleZhu, Liyan, and Tieshan Li. 2021. "Observer-Based Autopilot Heading Finite-Time Control Design for Intelligent Ship with Prescribed Performance" Journal of Marine Science and Engineering 9, no. 8: 828. https://doi.org/10.3390/jmse9080828
APA StyleZhu, L., & Li, T. (2021). Observer-Based Autopilot Heading Finite-Time Control Design for Intelligent Ship with Prescribed Performance. Journal of Marine Science and Engineering, 9(8), 828. https://doi.org/10.3390/jmse9080828

