Occurrence and Distribution of Strains of Saccharomyces cerevisiae in China Seas
Abstract
1. Introduction
2. Materials and Methods
2.1. Yeast Strains
2.2. Medium and Chemicals
2.3. Sampling
2.4. Isolation and Purification of Marine Yeasts
2.5. Identification of the Yeasts
2.6. DNA Extraction and PCR Reactions
2.7. Phylogenetic Analysis
2.8. Alcohol Fermentation Tests
2.9. Ethanol Shock Treatment
2.10. Ethanol Assay
2.11. Trehalose Extraction and Assay
2.12. Measurement of Cell Dry Weight
2.13. Statistical Analysis
3. Results
3.1. Occurrence and Distribution of S. cerevisiae in China Seas
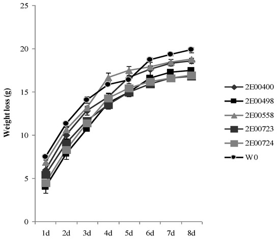
3.2. Alcohol Production
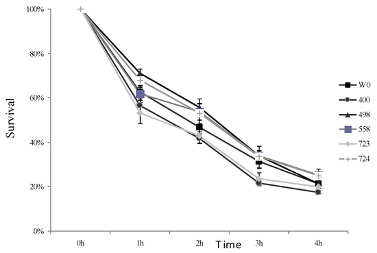
3.3. Alcohol Tolerance
4. Discussion
5. Conclusions
Author Contributions
Funding
Institutional Review Board Statement
Informed Consent Statement
Data Availability Statement
Acknowledgments
Conflicts of Interest
References
- Romano, P.; Capece, A.; Jespersen, L. Taxonomic and ecological diversity of food and beverage yeasts. In The Yeast Handbook, Yeasts in Food and Beverages; Querol, A., Fleet, G.H., Eds.; Springer: Berlin/Heidelberg, Germany, 2006; pp. 20–40. [Google Scholar]
- Buzzini, P.; Vaughan-Martini, A. Yeast Biodiversity and Biotechnology. In The Yeast Handbook, Biodiversity and Ecophysiology of Yeasts; Springer: Berlin/Heidelberg, Germany, 2006; pp. 534–559. [Google Scholar]
- Chi, Z.M.; Chi, Z.; Zhang, T.; Yue, L.X.; Li, J.; Wang, X.H. Production, characterization and gene cloning of the extracellular enzymes from the marine-derived yeasts and their potential applications. Biotechnol. Adv. 2009, 27, 236–255. [Google Scholar] [CrossRef]
- Chi, Z.; Liu, G.L.; Lu, Y.; Jiang, H.; Chi, Z.M. Bio-products produced by marine yeasts and their potential applications. Bioresour. Technol. 2016, 202, 244–252. [Google Scholar] [CrossRef]
- Zhang, X.; Hua, M.X.; Song, C.L.; Chi, Z.M. Occurrence and diversity of marine yeasts in Antarctica environments. J. Ocean Univ. China 2012, 11, 70–74. [Google Scholar] [CrossRef]
- Wei, X.; Chi, Z.; Liu, G.L.; Hu, Z.; Chi, Z.M. The genome-wide mutation shows the importance of cell wall integrity in growth of the psychrophilic yeast Metschnikowia australis W7-5 at different temperatures. Microb. Ecol. 2021, 81, 52–66. [Google Scholar] [CrossRef]
- Nagahama, T. Yeast biodiversity in freshwater, marine and deep-sea environments. In The Yeast Handbook Biodiversity and Ecophysiology of Yeasts; Springer: Berlin/Heidelberg, Germany, 2006; pp. 241–262. [Google Scholar]
- Gatesoupe, F.J. Live yeasts in the gut: Natural occurrence, dietary introduction, and their effects on fish health and development. Aquaculture 2007, 267, 20–30. [Google Scholar] [CrossRef]
- Tovar-Ramírez, D.; Zambonino, J.; Cahu, C.; Gatesoupe, F.J.; Vázquez-Juárez, R.; Lésel, R. Effect of live yeast incorporation in compound diet on digestive enzyme activity in sea bass (Dicentrarchus labrax) larvae. Aquaculure 2002, 204, 113–123. [Google Scholar] [CrossRef]
- Chi, Z.M.; Kohlwein, S.D.; Paltauf, F. Role of phosphatidylinositol (PI) in ethanol production and ethanol tolerance by a high ethanol producing yeast. J. Ind. Microbiol. Biotechnol. 1999, 22, 58–63. [Google Scholar] [CrossRef]
- Chi, Z.M.; Tani, Y.; Hayashida, S. Construction of tetraploid cells by protoplast fusion and heat treatment in ethanol tolerant yeasts. Ann. Rep. ICBiotech. 1991, 14, 135–145. [Google Scholar]
- Kurtzman, C.P.; Fell, J.W. The Yeast: A Taxonomic Study, 4th ed.; Elsevier: Amsterdam, The Netherlands, 1998; pp. 77–107. [Google Scholar]
- Sambrook, J.; Fritsch, E.F.; Maniatis, T. Molecular Cloning: A Laboratory Manual, 2nd ed.; Cold Spring Harbor Laboratory: New York, NY, USA, 1989; pp. 367–370. (In Chinese) [Google Scholar]
- Chi, Z.M.; Ma, C.; Wang, P.; Li, H.F. Optimization of medium and cultivation conditions for alkaline protease production by the marine yeast Aureobasidium pullulans. Bioresour. Technol. 2007, 98, 534–538. [Google Scholar] [CrossRef] [PubMed]
- Gao, L.M.; Chi, Z.M.; Sheng, J.; Wang, L.; Li, J.; Gong, F. Inulinase-producing marine yeasts: Evaluation of their diversity and inulin hydrolysis by their crude enzymes. Microb. Ecol. 2007, 54, 722–729. [Google Scholar] [CrossRef]
- Sugita, T.; Takashima, M.; Kodama, M.; Tsuboi, R.; Nishikawa, A. Description of a new yeast species, Malassezia japonica, and its detection in patients with atopic dermatitis and healthy subjects. J. Clin. Microbiol. 2003, 41, 4695–4699. [Google Scholar] [CrossRef]
- Tamura, K.; Dudley, J.; Nei, M.; Kumar, S. MEGA4: Molecular evolutionary genetics analysis (MEGA) Software Version 4.0. Mol. Biol. Evol. 2007, 24, 1596–1599. [Google Scholar] [CrossRef] [PubMed]
- Wang, J.M.; Zhang, T.; Chi, Z.; Liu, G.L.; Chi, Z.M. 18S rDNA integration of the exo-inulinase gene into chromosomes of the high ethanol producing yeast Saccharomyces sp. W0 for direct conversion of inulin to bioethanol. Biomass Bioenergy 2011, 35, 3032–3039. [Google Scholar] [CrossRef]
- Stewart, P.R. Methods in Cell Biology; Prescott, D.M., Ed.; Academic Press: London, UK; New York, NY, USA, 1982; Volume 12, pp. 111–147. [Google Scholar]
- JeffWu, C.F.; Hamada, M. Experiments Planning, Analysis and Parameter Design Optimization; John Wiley and Sons: New York, NY, USA, 2000; pp. 23–34. [Google Scholar]
- Chi, Z.M.; Liu, Z.R. High-concentration alcoholic production from hydrolysate of raw ground corn by a tetraploid yeast strain. Biotechnol. Lett. 1993, 15, 877–882. [Google Scholar] [CrossRef]
- Zhang, T.; Chi, Z.; Chi, Z.M.; Parrou, J.L.; Gong, F. Expression of the inulinase gene from the marine-derived Pichia guilliermondii in Saccharomyces sp. W0 and ethanol production from inulin. Microb. Biotechnol. 2010, 3, 576–582. [Google Scholar] [CrossRef] [PubMed]
- De Araujo, F.V.; Soares, C.A.G.; Hagler, A.N.; Mendonca-Hagler, L.C. Ascomycetous yeast communities of marine invertebrates in a Southeast-Brazillian mangrove ecosystems. Antonie Van Leeuwenhoek 1995, 68, 91–99. [Google Scholar] [CrossRef] [PubMed]
- Zaky, A.S.; Greetham, D.; Louis, E.J.; Tucker, G.A.; Du, C.A. New isolation and evaluation method for marine-derived yeast spp. with potential applications in industrial biotechnology. J. Microbiol. Biotechnol. 2016, 26, 1891–1907. [Google Scholar] [CrossRef] [PubMed]
- Obara, N.; Okai, M.; Ishida, M.; Urano, N. Bioethanol production from mixed biomass (waste of Undaria pinnatifida processing and paper shredding) by fermentation with marine derived Saccharomyces cerevisiae. Fish Sci. 2015, 81, 771–776. [Google Scholar] [CrossRef]
- Zaky, A.S.; French, C.E.; Tucker, G.A.; Du, C. Improving the productivity of bioethanol production using marine yeast and seawater-based media. Biomass Bioenergy 2020, 139, 105615. [Google Scholar] [CrossRef]
- Zaky, A.S.; Tucker, G.A.; Du, C. Use of marine yeast for the efficient production of bioethanol from seawater-based media. New Biotechnol. 2016, 33, S52–S53. [Google Scholar] [CrossRef]
- Saravanakumar, K.; Senthilraja, P.; Kathiresan, K. Bioethanol production by mangrove-derived marine yeast, Sacchromyces cerevisiae. J. King Saud Univ. Sci. 2013, 25, 121–127. [Google Scholar] [CrossRef]
- Obara, N.; Ishida, M.; Hamada-Sato, N.; Urano, N. Efficient bioethanol production from scrap paper shredder by a marine Saccharomyces cerevisiae derived C-19. Stud. Sci. Technol. 2012, 1, 127–132. [Google Scholar]
- Hounsa, C.G.; Brandt, E.V.; Thevelein, J.; Hohmann, S.; Prior, B.A. Role of trehalose in survival of Saccharomyces cerevisiae under osmotic stress. Microbiology 1998, 44, 671–680. [Google Scholar] [CrossRef]
- Lewis, J.G.; Learmonth, R.P.; Attfield, P.V.; Watson, K. Stress co-tolerance and trehalose content in baking strains of Saccharomyces cerevisiae. J. Ind. Microbiol. Biotechnol. 1997, 18, 30–36. [Google Scholar] [CrossRef] [PubMed]
- Mansure, J.J.C.; Panek, A.D.; Crowe, L.M.; Crowe, J.H. Trehalose inhibits ethanol effects on intact yeast cells and liposomes. Biochim. Biophys. Acta 1994, 1191, 309–316. [Google Scholar] [CrossRef]
- Panek, A.D. Trehalose metabolism-new horizons in biotechnological applications. Braz. J. Med. Biol. Res. 1995, 28, 169–181. [Google Scholar] [PubMed]
- Schick, I.; Haltrich, D.; Kulbe, K.D. Trehalose phosphorylase from Pichia fermentans and its role in the metabolism of trehalose. Appl. Microbiol. Biotechnol. 1995, 43, 1088–1095. [Google Scholar] [CrossRef]
- Gao, J.; Chi, Z.M. The relationship between trehalose content and ethanol tolerance in high ethanol tolerant yeast and ethanol sensitive yeast. Food Ferment. Ind. 2001, 27, 4–7. [Google Scholar]
- Aguilera, F.; Peinado, R.A.; Millán, C.; Ortega, J.M.; Mauricio, J.C. Relationship between ethanol tolerance, H+-ATPase activity and the lipid composition of the plasma membrane in different wine yeast strains. Int. J. Food Microbiol. 2006, 110, 34–42. [Google Scholar] [CrossRef] [PubMed]



| Strains | Strain Sources and Sampling Sites | Latitude and Longitude |
|---|---|---|
| 2E00396 | Laminaria japonica, Bohai Sea | 37°30′ N 122°10′ E |
| 2E00400 | Stomach of Scomberomorus niphonius, Bohai Sea | 37°30′ N 122°10′ E |
| 2E00498 | Gill of Pseudosciaena crocea, Bohai Sea | 37°30′ N 122°10′ E |
| 2E00550 | Gill of Acanthopagrus schlegel, Bohai Sea | 37°30′ N 122°09′ E |
| 2E00558 | Gill of Pampus argenteus, Bohai Sea | 37°30′ N 122°08′ E |
| 2E00561 | Skin of Pampus argenteus, Bohai Sea | 38°44′ N 118°49′ E |
| 2E00564 | Gill of Gobio gobio, Bohai Sea | 38°44′ N 118°49′ E |
| 2E00656 | Skin of Pseudosciaena polyactis, Bohai Sea | 38°44′ N 118°49′ E |
| 2E00723 | Stomach of Acanthogobius flavimanus, Bohai Sea | 37°30′ N 122°09′ E |
| 2E00724 | Digestive canals of Paralichthys olivaceus, Bohai Sea | 37°30′ N 122°08′ E |
| 2E00977 | Leaf surface of Aegiceras, South China sea | 21°07′ N 110°45′ E |
| 2E01006 | Gill of horsemackerel, East China Sea | 24°26′ N 118°02′ E |
| 2E01007 | Stomach of Dasyatis akaje, East China Sea | 24°26′ N 118°02′ E |
| 2E01008 | The skin of Goblet, East China Sea | 24°26′ N 118°02′ E |
| 2E01009 | The skin of Muraenesox cinereus, East China Sea | 24°26′ N 118°02′ E |
| 2E01010 | Intestine of Stephanolepis cirrhife, East China Sea | 24°26′ N 118°02′ E |
| 2E01011 | Stomach of Saurida elongate, East China Sea | 24°26′ N 118°02′ E |
| 2E00396 | 2E00400 | 2E00498 | 2E00550 | 2E00558 | 2E00561 | |
| Fermentation | ||||||
| Glucose | + | + | + | + | + | + |
| Maltose | + | − | + | + | + | − |
| Galactose | + | − | + | + | + | + |
| Sucrose | + | + | + | + | + | + |
| Lactose | − | − | − | − | − | − |
| Raffinose | + | + | + | + | + | + |
| Assimilation | ||||||
| Glucose | + | + | + | + | + | + |
| Maltose | + | + | + | + | + | + |
| Galactose | + | − | + | + | + | + |
| Sucrose | + | + | + | + | + | + |
| Lactose | − | − | − | − | − | − |
| Raffinose | + | + | + | + | + | + |
| Melibiose | − | − | − | − | − | − |
| Amidulin | − | − | − | − | − | − |
| Trehalose | + | − | + | + | + | + |
| Cellobiose | − | +/W | − | − | − | − |
| D-arabinose | − | W/W | − | − | − | − |
| Xylose | − | W | − | − | − | − |
| L-arabinose | − | − | − | − | − | − |
| 2E00564 | 2E00656 | 2E00723 | 2E00724 | 2E00977 | 2E001006 | |
| Fermentation | ||||||
| Glucose | + | + | + | + | + | + |
| Maltose | + | − | + | + | + | − |
| Galactose | + | − | − | + | + | − |
| Sucrose | + | + | + | + | + | + |
| Lactose | − | − | − | − | − | − |
| Raffinose | + | + | + | + | + | + |
| Assimilation | ||||||
| Glucose | + | + | + | + | + | + |
| Maltose | + | + | + | + | + | + |
| Galactose | + | − | + | − | + | − |
| Sucrose | + | + | + | + | + | + |
| Lactose | − | − | − | − | − | − |
| Raffinose | + | + | + | + | + | + |
| Melibiose | − | − | − | − | − | − |
| Amidulin | − | − | − | − | − | − |
| Trehalose | + | − | + | + | + | + |
| Cellobiose | − | W | − | − | − | − |
| D-arabinose | − | − | − | − | − | − |
| Xylose | − | − | − | − | − | − |
| L-arabinose | − | − | − | − | − | − |
| KERRYPNX | 2E01007 | 2E01008 | 2E01009 | 2E01010 | 2E01011 | S. cerevisiae ATCC 32703 |
| Fermentation | ||||||
| Glucose | + | + | + | + | + | + |
| Maltose | + | − | + | + | + | − |
| Galactose | + | − | − | + | + | − |
| Sucrose | + | + | + | + | + | + |
| Lactose | − | − | − | − | − | − |
| Raffinose | + | + | + | + | + | + |
| Assimilation | ||||||
| Glucose | + | + | + | + | + | + |
| Maltose | + | + | + | + | + | + |
| Galactose | + | − | + | − | + | − |
| Sucrose | + | + | + | + | + | + |
| Lactose | − | − | − | − | − | − |
| Raffinose | + | + | + | + | + | + |
| Melibiose | − | − | − | − | − | − |
| Amidulin | − | − | − | − | − | − |
| Trehalose | + | − | + | + | + | + |
| Cellobiose | − | W | − | − | − | − |
| D-arabinose | − | − | − | − | − | − |
| Xylose | − | − | − | − | − | − |
| L-arabinose | − | − | − | − | − | − |
Publisher’s Note: MDPI stays neutral with regard to jurisdictional claims in published maps and institutional affiliations. |
© 2021 by the authors. Licensee MDPI, Basel, Switzerland. This article is an open access article distributed under the terms and conditions of the Creative Commons Attribution (CC BY) license (https://creativecommons.org/licenses/by/4.0/).
Share and Cite
Tian, B.-C.; Liu, G.-L.; Chi, Z.; Hu, Z.; Chi, Z.-M. Occurrence and Distribution of Strains of Saccharomyces cerevisiae in China Seas. J. Mar. Sci. Eng. 2021, 9, 590. https://doi.org/10.3390/jmse9060590
Tian B-C, Liu G-L, Chi Z, Hu Z, Chi Z-M. Occurrence and Distribution of Strains of Saccharomyces cerevisiae in China Seas. Journal of Marine Science and Engineering. 2021; 9(6):590. https://doi.org/10.3390/jmse9060590
Chicago/Turabian StyleTian, Bai-Chuan, Guang-Lei Liu, Zhe Chi, Zhong Hu, and Zhen-Ming Chi. 2021. "Occurrence and Distribution of Strains of Saccharomyces cerevisiae in China Seas" Journal of Marine Science and Engineering 9, no. 6: 590. https://doi.org/10.3390/jmse9060590
APA StyleTian, B.-C., Liu, G.-L., Chi, Z., Hu, Z., & Chi, Z.-M. (2021). Occurrence and Distribution of Strains of Saccharomyces cerevisiae in China Seas. Journal of Marine Science and Engineering, 9(6), 590. https://doi.org/10.3390/jmse9060590

