Wave Dissipation and Sediment Transport Patterns during Shoreface Nourishment towards Equilibrium
Abstract
1. Introduction
2. Methods
2.1. Experimental Observations
2.1.1. Experimental Setup
2.1.2. Data Treatment
2.1.3. Scale Relationships
2.2. Numerical Model
3. Results
3.1. Experimental Results
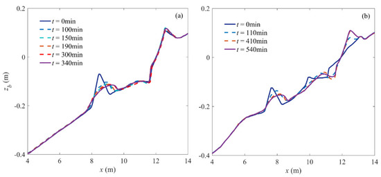
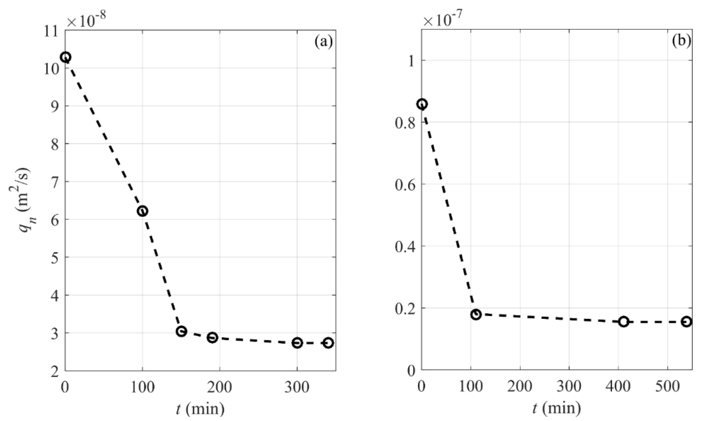
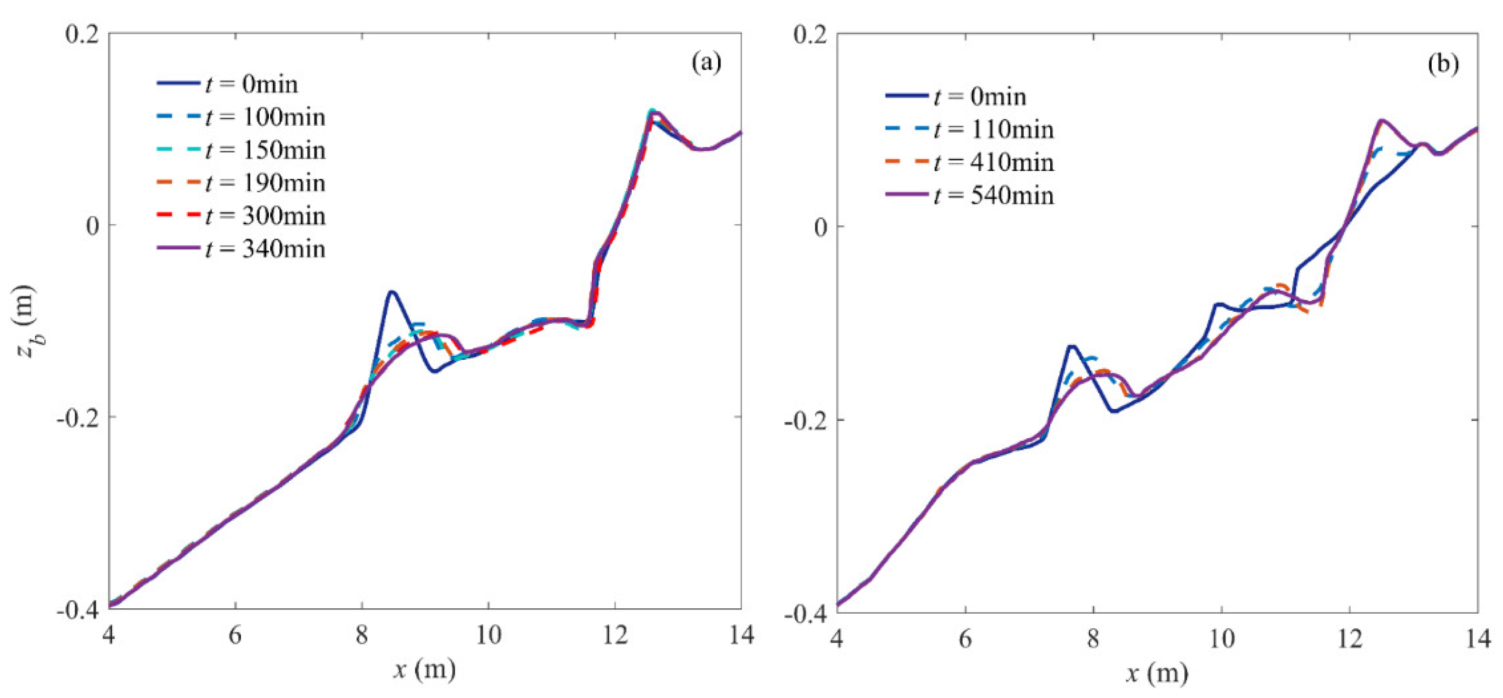
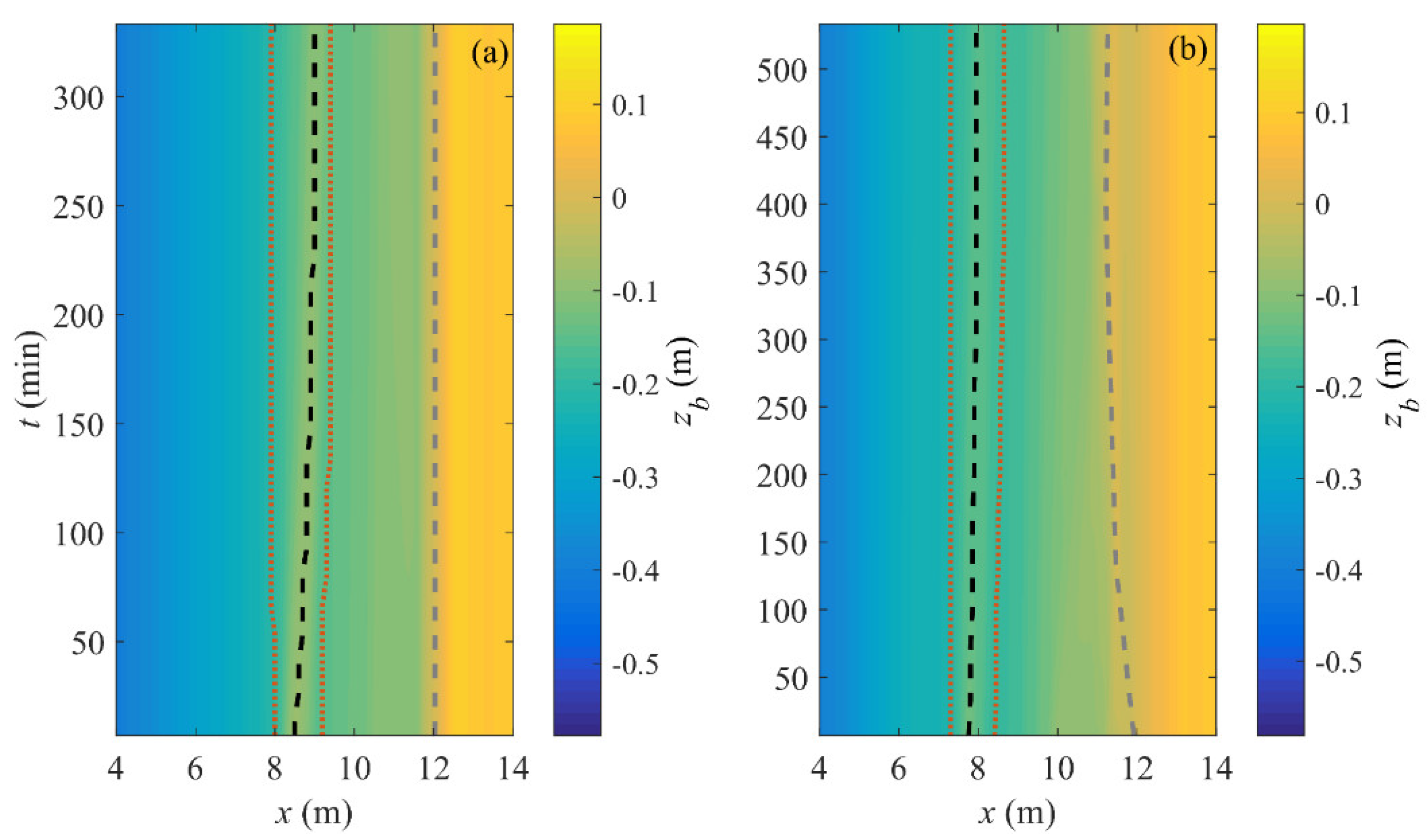
3.1.1. Beach Profile Evolution
3.1.2. Hydrodynamics
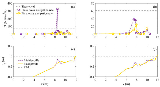
3.1.3. Wave Energy Dissipation
3.2. Numerical Model Validation
4. Discussion
4.1. Sediment Transport Patterns
4.2. Effect of Incident Wave Conditions
4.3. Effect of Sea-Level Rise
5. Conclusions
Author Contributions
Funding
Informed Consent Statement
Data Availability Statement
Acknowledgments
Conflicts of Interest
References
- Luijendijk, A.; Hagenaars, G.; Ranasinghe, R.; Baart, F.; Donchyts, G.; Aarninkhof, S. The State of the World’s Beaches. Sci. Rep. 2018, 8, 6641. [Google Scholar] [CrossRef] [PubMed]
- de Schipper, M.A.; Ludka, B.C.; Raubenheimer, B.; Luijendijk, A.; Schlacher, T.A. Beach nourishment has complex implications for the future of sandy shores. Nat. Rev. Earth Environ. 2020, 2, 70–84. [Google Scholar] [CrossRef]
- Ranasinghe, R.; Callaghan, D.; Stive, M.J.F. Estimating coastal recession due to sea level rise: Beyond the Bruun rule. Clim. Chang. 2012, 110, 561–574. [Google Scholar] [CrossRef]
- Tao, J.; Li, G. Contemporary monitoring of storm surge activity. Prog. Phys. Geog. 2020, 44, 299–314. [Google Scholar]
- Arnell, N.W.; Gousling, S.N. The impacts of climate change on river flood risk at the global scale. Clim. Chang. 2016, 134, 387–401. [Google Scholar] [CrossRef]
- Sinay, L.; Carter, R.W. Climate Change Adaptation Options for Coastal Communities and Local Governments. Climate 2020, 8, 7. [Google Scholar] [CrossRef]
- Maiolo, M.; Mel, R.A.; Sinopoli, S. A Stepwise Approach to Beach Restoration at Calabaia Beach. Water 2020, 12, 2667. [Google Scholar] [CrossRef]
- Cooke, B.C.; Jones, A.R.; Goodwin, I.D.; Bishop, M.J. Nourishment practices on Australian sandy beaches: A review. J. Environ. Manag. 2012, 113, 319–327. [Google Scholar] [CrossRef]
- Hanson, H.; Brampton, A.; Capobianco, M.; Dette, H.; Hamm, L.; Laustrup, C.; Lechuga, A.; Spanhoff, R. Beach nourishment projects, practices, and objectives—A European overview. Coast. Eng. 2002, 47, 81–111. [Google Scholar] [CrossRef]
- Eichentopf, S.; Karunarathna, H.; Alsina, J.M. Morphodynamics of sandy beaches under the influence of storm sequences: Current research status and future needs. Water Sci. Eng. 2019, 3, 221–234. [Google Scholar] [CrossRef]
- Elko, N.A.; Wang, P. Immediate profile and planform evolution of a beach nourishment project with hurricane influences. Coast. Eng. 2007, 54, 49–66. [Google Scholar] [CrossRef]
- Brutsché, K.E.; Wang, P.; Beck, T.M.; Rosati, J.D.; Legault, K.R. Morphological evolution of a submerged artificial nearshore berm along a low-wave microtidal coast, Fort Myers Beach, west-central Florida, USA. Coast. Eng. 2014, 91, 29–44. [Google Scholar] [CrossRef]
- van Duin, M.J.P.; Wiersma, N.R.; Walstra, D.J.R.; Van Rijn, L.C.; Stive, M.J.F. Nourishing the shoreface: Observations and hindcasting of the Egmond case, The Netherlands. Coast. Eng. 2004, 51, 813–837. [Google Scholar] [CrossRef]
- Ojeda, E.; Ruessink, B.G.; Guillen, J. Morphodynamic response of a two-barred beach to a shoreface nourishment. Coast. Eng. 2008, 55, 1185–1196. [Google Scholar] [CrossRef]
- Grunnet, N.M.; Walstra, D.R.; Ruessink, B.G. Process-based modelling of a shoreface nourishment. Coast. Eng. 2004, 51, 581–607. [Google Scholar] [CrossRef]
- Pan, Y.; Kuang, C.; Zhang, J.; Chen, Y.; Mao, X.; Ma, Y.; Zhang, Y.; Yang, Y.; Qiu, R. Postnourishment evolution of beach profiles in a low-energy sandy beach with a submerged berm. J. Waterw. Port Coast. Ocean Eng. 2017, 143, 05017001. [Google Scholar] [CrossRef]
- Grasso, F.; Michallet, H.; Barthélemy, E. Experimental simulation of shoreface nourishments under storm events: A morphological, hydrodynamic, and sediment grain size analysis. Coast. Eng. 2011, 58, 184–193. [Google Scholar] [CrossRef]
- Kuang, C.; Han, X.; Zhang, J.; Zou, Q.; Dong, B. Morphodynamic Evolution of a Nourished Beach with Artificial Sandbars: Field Observations and Numerical Modeling. J. Mar. Sci. Eng. 2021, 9, 245. [Google Scholar] [CrossRef]
- van der Meulen, T.; Gourlay, M.R. Beach and Dune Erosion Tests; American Society of Civil Engineers (ASCE): New York, NY, USA, 1969. [Google Scholar]
- Wright, L.; Short, A.; Green, M. Short-term changes in the morphodynamic states of beaches and surf zones: An empirical predictive model. Mar. Geol. 1985, 62, 339–364. [Google Scholar] [CrossRef]
- Baldock, T.E.; Birrien, F.; Atkinson, A.; Shimamoto, T.; Wu, S.; Callaghan, D.P.; Nielsen, P. Morphological hysteresis in the evolution of beach profiles under sequences of wave climates-Part 1: Observations. Coast. Eng. 2017, 128, 92–105. [Google Scholar] [CrossRef]
- Birrien, F.; Atkinson, A.; Shimamoto, T.; Baldock, T.E. Hysteresis in the evolution of beach profile parameters under sequences of wave climates-Part 2: Modelling. Coast. Eng. 2018, 133, 13–25. [Google Scholar] [CrossRef]
- Birrien, F.; Baldock, T.E. A Coupled Hydrodynamic-Equilibrium Type Beach Profile Evolution Model. J. Mar. Sci. Eng. 2021, 9, 353. [Google Scholar] [CrossRef]
- Dean, R.G. Equilibrium Beach Profiles: US Atlantic and Gulf Coasts; Department of Civil Engineering and College of Marine Studies, University of Delaware: Newark, DE, USA, 1977. [Google Scholar]
- Wang, P.; Kraus, N.C. Beach profile equilibrium and patterns of wave decay and energy dissipation across the surf zone elucidated in a large-scale laboratory experiment. J. Coast. Res. 2005, 21, 522–534. [Google Scholar] [CrossRef]
- Zhang, C.; Zhang, Q.; Zheng, J.; Demirbilek, Z. Parameterization of nearshore wave front slope. Coast. Eng. 2017, 127, 80–87. [Google Scholar] [CrossRef]
- Zheng, J.; Yao, Y.; Chen, S.; Chen, S.; Zhang, Q. Laboratory study on wave-induced setup and wave-driven current in a 2DH reef-lagoon-channel system. Coast. Eng. 2020, 162, 103772. [Google Scholar] [CrossRef]
- Fan, J.; Zheng, J.; Tao, A.; Liu, Y. Upstream-propagating waves induced by steady current over a rippled bottom: Theory and experimental observation. J. Fluid Mech. 2021, 910, A49. [Google Scholar] [CrossRef]
- Atkinson, A.L.; Baldock, T.E. Laboratory investigation of nourishment options to mitigate sea level rise induced erosion. Coast. Eng. 2020, 161, 103769. [Google Scholar] [CrossRef]
- Hurther, D.; Thorne, P.D.; Bricault, M.; Lemmin, U.; Barnoud, J.M. A multi-frequency Acoustic Concentration and Velocity Profile (ACVP) for boundary layer measurements of fine-scale flow and sediment transport processes. Coast. Eng. 2011, 58, 594–605. [Google Scholar] [CrossRef]
- van der Zanden, J.; van der A, D.A.; Hurther, D.; Cáceres, I.; O’Donoghue, T.; Ribberink, J.S. Suspended sediment transport around a large-scale laboratory breaker bar. Coast. Eng. 2017, 125, 51–69. [Google Scholar] [CrossRef]
- van der Zanden, J.; van der A, D.A.; Hurther, D.; Cáceres, I.; O’Donoghue, T.; Hulscher, S.J.M.H.; Ribberink, J.S. Bedload and suspended load contributions to breaker bar morphodynamics. Coast. Eng. 2017, 129, 74–92. [Google Scholar] [CrossRef]
- Jacobsen, N.G.; Fredsøe, J. Cross-shore Redistribution of Nourished Sand near a Breaker Bar. J. Waterw. Port Coast. Ocean Eng. 2014, 140, 125–134. [Google Scholar] [CrossRef]
- Cheng, J.; Wang, P. Dynamic equilibrium of sandbar position and height along a low wave energy micro-tidal coast. Cont. Shelf Res. 2018, 165, 120–136. [Google Scholar] [CrossRef]
- Xue, M.; Zheng, J.; Lin, P.; Yuan, X. Experimental study on vertical baffles of different configurations in suppressing sloshing pressure. Ocean Eng. 2017, 136, 178–189. [Google Scholar] [CrossRef]
- Henriquez, M.; Reniers, A.J.H.M.; Ruessink, B.G.; Stive, M.J.F.; Stanton, T.P.; Foster, D.L. On the scaling of sediment transport in the nearshore. In Proceedings of the Second International Conference on the Application of Physical Modelling to Port and Coastal Protection, Bari, Italy, 2–5 July 2008; International Association for Hydro-Environmental Engineering and Research: Bari, Italy, 2008; pp. 193–204. [Google Scholar]
- van Rijn, L.C. Principles of Sediment Transport in Rivers, Estuaries, and Coastal Seas; Aqua: Blokzijl, The Netherlands, 1993. [Google Scholar]
- Nielsen, P. Coastal Bottom Boundary Layers and Sediment Transport. In Advanced Series on Ocean Engineering; World Scientific: Singapore, 1992; Volume 4. [Google Scholar]
- Zheng, J.; Zhang, C.; Demirbilek, Z.; Lin, L. Numerical Study of Sandbar Migration under Wave-Undertow Interaction. J. Waterw. Port Coast. Ocean Eng. 2014, 140, 146–159. [Google Scholar] [CrossRef]
- Li, Y.; Zhang, C.; Chen, D.; Zheng, J.; Sun, J.; Wang, P. Barred beach profile equilibrium investigated with a process-based numerical model. Cont. Shelf Res. 2021, 222, 104432. [Google Scholar] [CrossRef]
- Janssen, T.T.; Battjes, J.A. A note on wave energy dissipation over steep beaches. Coast. Eng. 2007, 54, 711–716. [Google Scholar] [CrossRef]
- Zhang, C.; Zheng, J.; Wang, Y.; Demirbilek, Z. Modeling wave-current bottom boundary layers beneath shoaling and breaking waves. Geo-Mar. Lett. 2011, 31, 189–201. [Google Scholar] [CrossRef]
- Ruessink, B.G.; Ramaekers, G.; van Rijn, L.C. On the parameterization of the free-stream non-linear wave orbital motion in nearshore morphodynamic models. Coast. Eng. 2012, 65, 56–63. [Google Scholar] [CrossRef]
- Nielsen, P.; Callaghan, D.P. Shear stress and sediment transport calculations for sheet flow under waves. Coast. Eng. 2003, 47, 347–354. [Google Scholar] [CrossRef]
- Reniers, A.J.H.M.; Thornton, E.B.; Stanton, T.P.; Roelvink, J.A. Vertical flow structure during Sandy Duck: Observations and modeling. Coast. Eng. 2004, 51, 237–260. [Google Scholar] [CrossRef]
- Chen, D.; Wang, Y.; Melville, B.; Huang, H.; Zhang, W. Unified formula for critical shear stress for erosion of sand, mud, and sand-mud mixtures. J. Hydraul. Eng. 2018, 144, 04018046. [Google Scholar] [CrossRef]
- Chen, D.; Melville, B.; Zheng, J.; Wang, Y.; Zhang, C.; Guan, D.; Chen, C. Pick up rate of non-cohesive sediments in low-velocity flows. J. Hydraul. Res. 2021. [Google Scholar] [CrossRef]
- Ribberink, J.S. Bed-load transport for steady flows and unsteady oscillatory flows. Coast. Eng. 1998, 34, 59–82. [Google Scholar] [CrossRef]
- Richardson, J.F.; Zaki, W.N. Sedimentation and fluidization. I. Trans. ICE. 1954, 32, 35–53. [Google Scholar]
- Zyserman, J.A.; Fredsøe, J. Data-analysis of bed concentration of suspended sediment. J. Hydraul. Div. Am. Soc. Civ. Eng. 1994, 9, 1021–1042. [Google Scholar] [CrossRef]
- Larson, M.; Kraus, N.C. SBEACH: Numerical Model for Simulating Storm-Induced Beach Change; CERC: Vicksburg, MS, USA, 1989. [Google Scholar]
- Ruessink, B.G.; Kuriyama, Y.; Reniers, A.J.H.M.; Roelvink, J.A.; Walstra, D.J.R. Modeling cross-shore sandbar behavior on the timescale of weeks. J. Geophys. Res. 2007, 112. [Google Scholar] [CrossRef]
- Hunt, I.A. Design of seawalls and breakwaters. J. Waterw. Harb. Div. 1959, 85, 123–152. [Google Scholar] [CrossRef]
- Liu, B.; Cheng, D.; Sun, Z.; Zhao, X.; Chen, Y.; Lin, W. Experimental and numerical study of regular waves past a submerged breakwater. J. Hydrodyn. 2019, 31, 641–653. [Google Scholar] [CrossRef]
- Ruessink, B.G.; Walstra, D.J.R.; Southgate, H.N. Calibration and verification of a parametric wave model on barred beaches. Coast. Eng. 2003, 48, 139–149. [Google Scholar] [CrossRef]
- van der Westhuysen, A.J. Modeling of depth-induced wave breaking under finite depth wave growth conditions. J. Geophys. Res. Oceans. 2010, 115. [Google Scholar] [CrossRef]
- Zhang, C.; Li, Y.; Cai, Y.; Shi, J.; Zheng, J.; Cai, F.; Qi, H. Parameterization of nearshore wave breaker index. Coast. Eng. 2021, 103914. [Google Scholar] [CrossRef]
- Eichentopf, S.; van der Zanden, J.; Cáceres, I.; Alsina, J.M. Beach Profile Evolution towards Equilibrium from Varying Initial Morphologies. J. Mar. Sci. Eng. 2019, 7, 406. [Google Scholar] [CrossRef]
- Hoefel, F.; Elgar, S. Wave-Induced Sediment Transport and Sandbar Migration. Science 2003, 299, 1885–1887. [Google Scholar] [CrossRef]
- Hsu, T.J.; Elgar, S.; Guza, R.T. Wave-induced sediment transport and onshore sandbar migration. Coast. Eng. 2006, 53, 817–824. [Google Scholar] [CrossRef]
- Dong, G.; Chen, H.; Ma, Y. Parameterization of nonlinear shallow water waves over sloping bottoms. Coast. Eng. 2014, 94, 23–32. [Google Scholar] [CrossRef]
- Peng, Z.; Zou, Q.; Reeve, D.; Wang, B. Parameterisation and transformation of wave asymmetries over a low-crested breakwater. Coast. Eng. 2009, 56, 1123–1132. [Google Scholar] [CrossRef]
- Zou, Q.; Peng, Z. Evolution of wave shape over a low-crested structure. Coast. Eng. 2011, 58, 478–488. [Google Scholar] [CrossRef]
- Baldock, T.E.; Alsina, J.M.; Cáceres, I.; Vicinanza, D.; Contestabile, P.; Power, H.; Sanchez-Arcilla, A. Large-scale experiments on beach profile evolution and surf and swash zone sediment transport induced by long waves, wave groups and random waves. Coast. Eng. 2011, 58, 214–227. [Google Scholar] [CrossRef]
- Moore, B.D. Beach Profile Evolution in Response to Changes in Water Level and Wave Height. Master’s Thesis, Department of Civil Engineering, University of Delaware, Newark, Delaware, 1982. [Google Scholar]
- Dean, R.G. Equilibrium beach profiles: Characteristics and applications. J. Coast. Res. 1991, 7, 53–84. [Google Scholar]
- Battjes, J.A.; Stive, M.J.F. Calibration and verification of a dissipation model for random breaking waves. J. Geophys. Res. Ocean. 1985, 90, 9159–9167. [Google Scholar] [CrossRef]
- Baldock, T.E.; Holmes, P.; Bunker, S.; Van Weert, P. Cross-shore hydrodynamics within an unsaturated surf zone. Coast. Eng. 1998, 34, 173–196. [Google Scholar] [CrossRef]
- Power, H.E.; Baldock, T.E.; Callaghan, D.P.; Nielsen, P. Surf Zone States and Energy Dissipation Regimes—A Similarity Model. Coast. Eng. J. 2013, 55, 1350003-1–1350003-18. [Google Scholar] [CrossRef]
- Martins, K.; Blenkinsopp, C.E.; Almar, R.; Zang, J. The influence of swash-based reflection on surf zone hydrodynamics: A wave-by-wave approach. Coast. Eng. 2017, 122, 27–43. [Google Scholar] [CrossRef]
- Chen, W.L.; Dodd, N. An idealised study for the evolution of a shoreface nourishment. Cont. Shelf Res. 2019, 178, 15–26. [Google Scholar] [CrossRef]
- Chen, W.L.; Dodd, N. A nonlinear perturbation study of a shoreface nourishment on a multiply barred beach. Cont. Shelf Res. 2021, 214, 104317. [Google Scholar] [CrossRef]
- Dubarbier, B.; Castelle, B.; Marieu, V.; Ruessink, B.G. Process-based modeling of cross-shore sandbar behavior. Coast. Eng. 2015, 95, 35–50. [Google Scholar] [CrossRef]
- Xie, M.; Li, S.; Zhang, C.; Yang, Z.; Hou, Z.; Zhang, H. Investigation and discussion on the beach morphodynamic response under storm events based on a three-dimensional numerical model. China Ocean Eng. 2021, 35, 12–25. [Google Scholar] [CrossRef]
- Xie, M.; Zhang, C.; Li, J.; Li, S.; Yang, Z.; Zhang, H.; Qu, K. Flow structure and bottom friction of the nonlinear turbulent boundary layer under stormy waves. Coast. Eng. 2021, 164, 103811. [Google Scholar] [CrossRef]














| Case ID | Background | Hs0 (m) | Tp (s) | Duration (min) | |
|---|---|---|---|---|---|
| A1_2 | Reflective | 0.05 | 2 | 0.83 | 340 |
| E1_1 | Intermediate | 0.05 | 2.5 | 0.67 | 540 |
| Case ID | β | fv | φ (o) |
|---|---|---|---|
| A1_2 | 0.07 | 0.015 | 30 |
| E1_1 | 0.02 | 0.02 | 30 |
| Case ID | Hs0 (m) | Tp (s) | SWL (m) | |
|---|---|---|---|---|
| H1 | 0.05 | 2.5 | 0.67 | 0 |
| H2 | 0.1 | 2.5 | 1.33 | 0 |
| H3 | 0.15 | 2.5 | 2 | 0 |
| T1 | 0.05 | 1 | 1.67 | 0 |
| T2 | 0.05 | 1.25 | 1.33 | 0 |
| T3 | 0.05 | 1.5 | 1.11 | 0 |
| W1 | 0.05 | 2.0 | 0.83 | 0 |
| W2 | 0.05 | 2.0 | 0.83 | 0.05 |
| W3 | 0.05 | 2.0 | 0.83 | 0.1 |
Publisher’s Note: MDPI stays neutral with regard to jurisdictional claims in published maps and institutional affiliations. |
© 2021 by the authors. Licensee MDPI, Basel, Switzerland. This article is an open access article distributed under the terms and conditions of the Creative Commons Attribution (CC BY) license (https://creativecommons.org/licenses/by/4.0/).
Share and Cite
Li, Y.; Zhang, C.; Cai, Y.; Xie, M.; Qi, H.; Wang, Y. Wave Dissipation and Sediment Transport Patterns during Shoreface Nourishment towards Equilibrium. J. Mar. Sci. Eng. 2021, 9, 535. https://doi.org/10.3390/jmse9050535
Li Y, Zhang C, Cai Y, Xie M, Qi H, Wang Y. Wave Dissipation and Sediment Transport Patterns during Shoreface Nourishment towards Equilibrium. Journal of Marine Science and Engineering. 2021; 9(5):535. https://doi.org/10.3390/jmse9050535
Chicago/Turabian StyleLi, Yuan, Chi Zhang, Yu Cai, Mingxiao Xie, Hongshuai Qi, and Yigang Wang. 2021. "Wave Dissipation and Sediment Transport Patterns during Shoreface Nourishment towards Equilibrium" Journal of Marine Science and Engineering 9, no. 5: 535. https://doi.org/10.3390/jmse9050535
APA StyleLi, Y., Zhang, C., Cai, Y., Xie, M., Qi, H., & Wang, Y. (2021). Wave Dissipation and Sediment Transport Patterns during Shoreface Nourishment towards Equilibrium. Journal of Marine Science and Engineering, 9(5), 535. https://doi.org/10.3390/jmse9050535

