A Novel Profiler Driven by Tidal Energy for Long Term Oceanographic Measurements in Offshore Areas
Abstract
1. Introduction
2. Theoretical Model
2.1. Working Principle of the System
2.2. Static Analysis of the Model
2.3. Numerical Simulations
2.3.1. Pre-Processing
2.3.2. Governing Equations
- (a)
- The fluid is Newtonian fluid;
- (b)
- The fluid is viscous and incompressible;
- (c)
- The fluid is three-dimensional;
- (d)
- The flow in the field is steady, and the flow parameters of the fluid clusters do not change with time.
2.3.3. Grid Independence Analysis
3. Experimental Setup and Methods
3.1. Facility and Setup
3.2. Similarity Design and Test Conditions
3.3. Experimental Procedure
- (1)
- Startup the pumping system, and then adjust the flow rate and opening degree of the outlet water valve of the flume by upper computer software, until the display of the water level gauge is 0.65 m.
- (2)
- Connect the buoy, cross-plate, and weight with ropes, and adjust the spacing between them as shown in Figure 8.
- (3)
- Place the experimental equipment 5 m from the entrance of the flume. Adjust the position of the cross-plate to the symmetry of the front and rear walls. Observe the posture of the rope in the fluid to see if the rope is tight when the fluid is at rest.
- (4)
- Adjust the x-axis velocity of the velocimeter is in the range of ± 0.005 m/s. is one of the five different current velocities enumerated previously.
- (5)
- Record the water temperature and open the camera to record the whole process of the group of tests.
- (6)
- Repeat step (1) to (5), until all current velocities are tested. For each combination, a repetition of three times is at least.
4. Results and Discussion
4.1. Comparison of the Vertical Motion Range of the Profiler in Theory and Flume Experiments
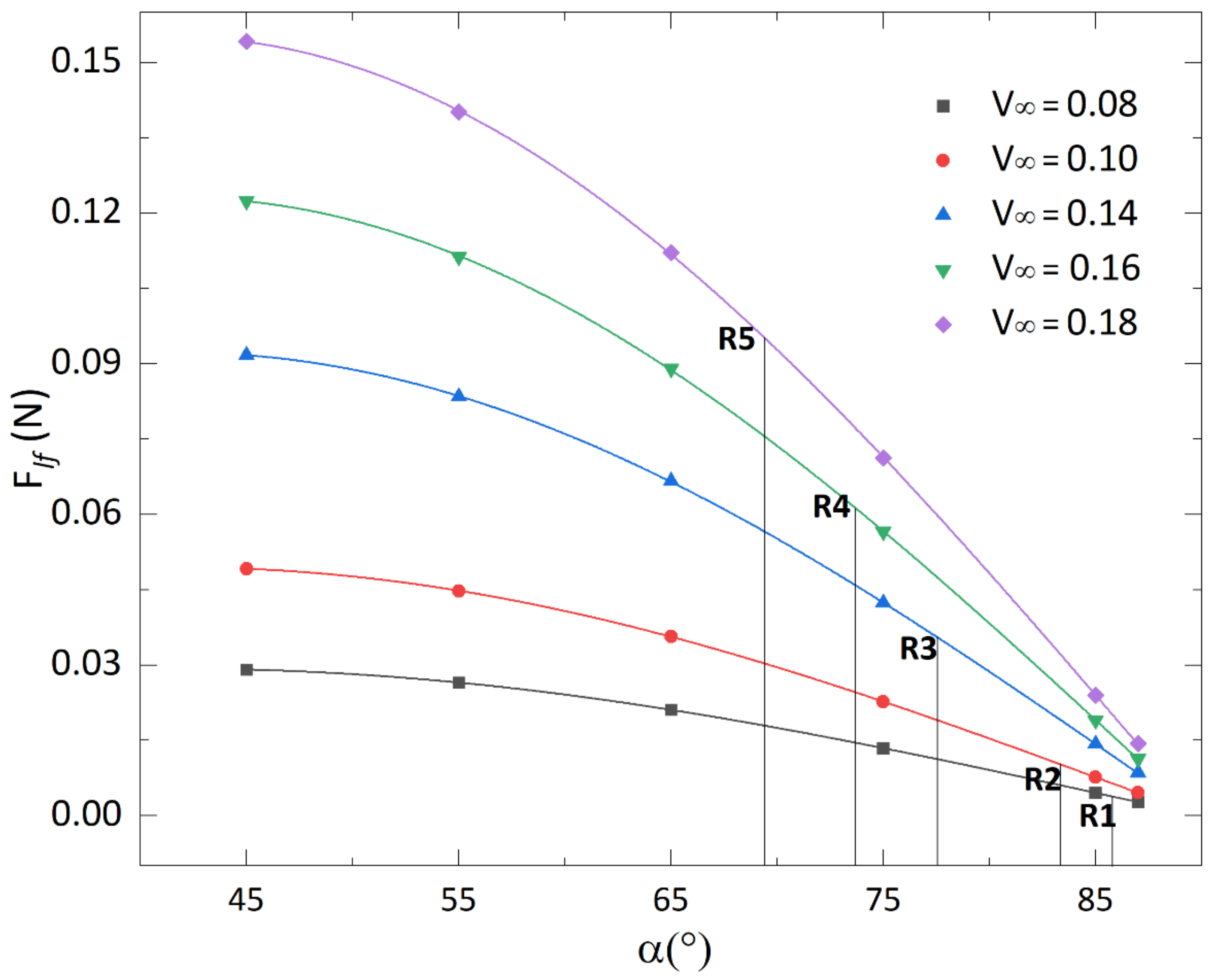
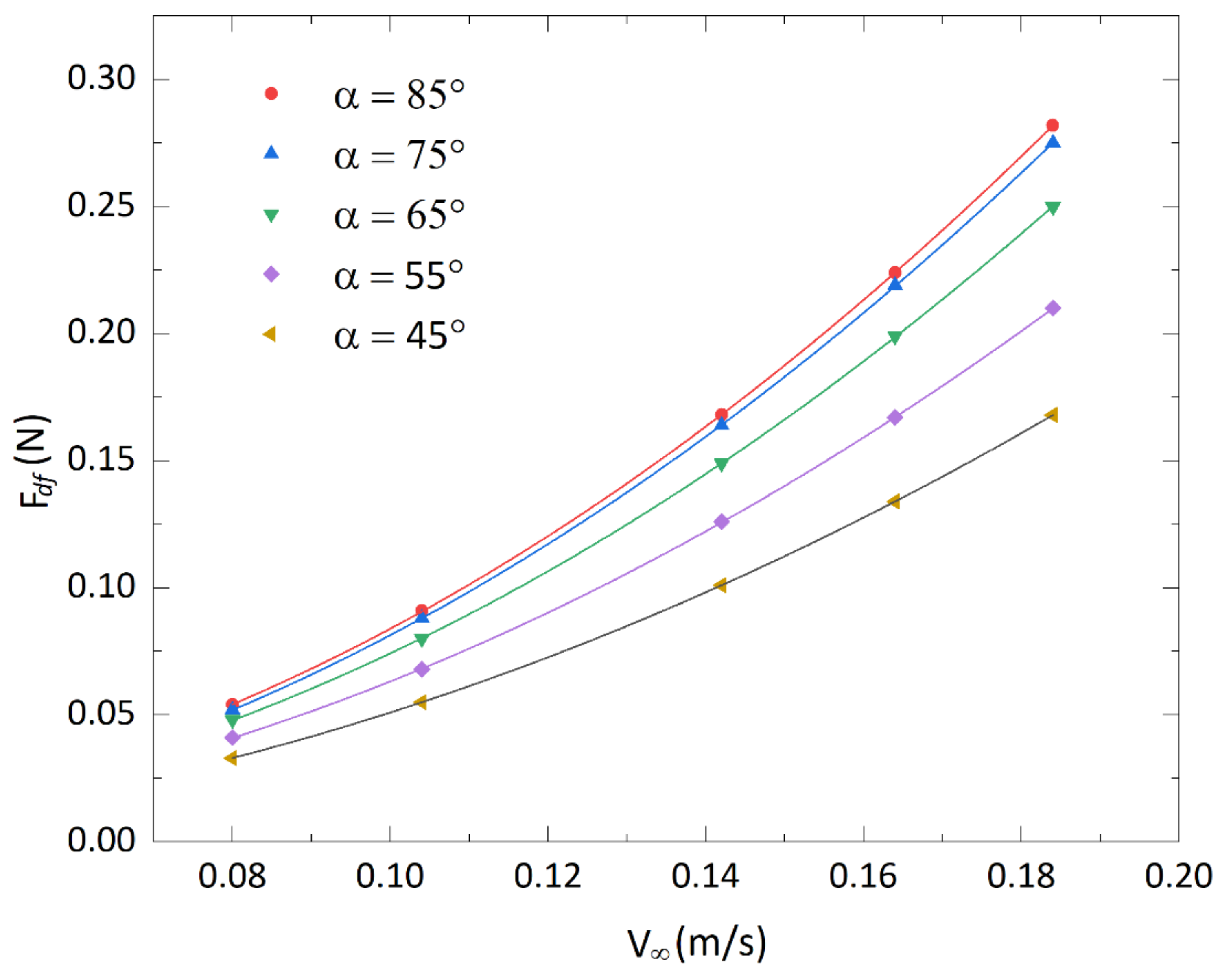
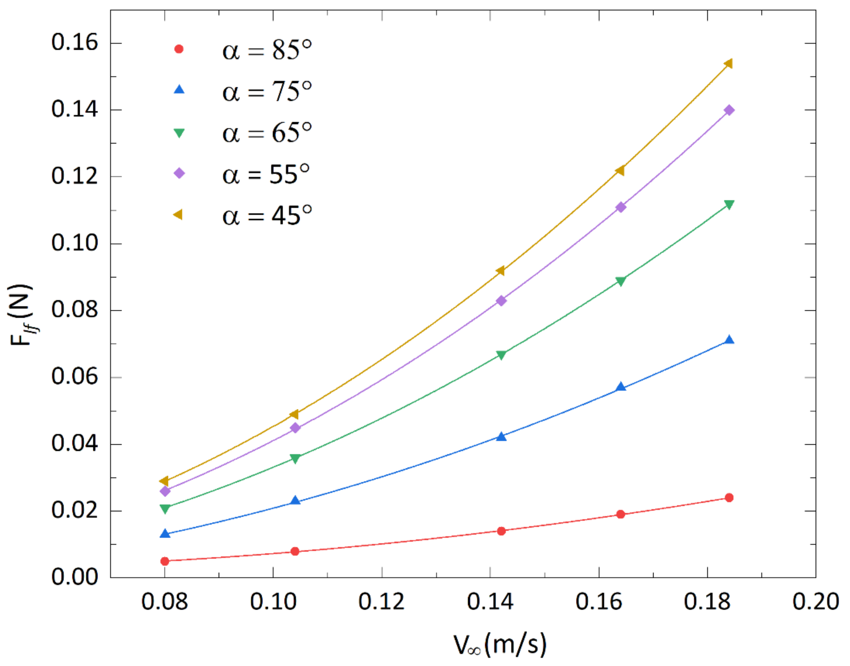
4.2. The Effect of Current Velocity on System Motion Stability
4.3. The Influence of the Velocity in the Z-Direction on the Experimental Results
5. Conclusions
Author Contributions
Funding
Institutional Review Board Statement
Informed Consent Statement
Data Availability Statement
Conflicts of Interest
Nomenclature
| Reynolds number | |
| the approach velocity of the current | |
| the angle between the rope OC connecting the cross-plate to the anchor and the horizontal plane | |
| the angle between the central axis of the cross-plate and the horizontal plane | |
| the angle between the rope AB connecting the buoy to the cross-plate and the horizontal plane | |
| the deflection angle along the counterclockwise direction | |
| the deflection angle along the clockwise direction | |
| outer diameter of the buoy | |
| inner diameter of the buoy | |
| the angle between the central axis of the cross-plate and the horizontal plane in the numerical simulations | |
| the length of the rope between point A and B | |
| the length of the rope between point O and C | |
| the fluid density | |
| the buoy mass | |
| b | the span of the cross-plate |
| c | the chord of cross-plate |
| t | the thickness of cross-plate |
| the buoy’s buoyancy | |
| the buoy’s gravity | |
| the drag of the buoy in the flow field | |
| the rope’s pull on the buoy | |
| the drag coefficient of the buoy | |
| the buoyancy of cross-plate | |
| the gravity of cross-plate | |
| the drag of the flow around the cross-plate | |
| the lift of the flow around the cross-plate | |
| the rope’s pull on the flat | |
| the height H obtained from the experimental fitting curve in Figure 14 without considering the flow velocity in the z-direction | |
| the height H obtained from the experimental fitting curve in Figure 14 considering the flow velocity in the z-direction | |
| the vertical distance in theory between point O and point C | |
| the vertical distance in experiments between point O and point C | |
| the minimum value of | |
| the maximum value of | |
| the average value of |
References
- Jouffroy, J.; Zhou, Q.; Zielinski, O. Towards Selective Tidal-Stream Transport for Lagrangian profilers. In Proceedings of the Oceans’11 MTS/IEEE KONA, Kona, HI, USA, 19–22 September 2011. [Google Scholar]
- Dabholkar, N.; Desa, E.; Afzulpurkar, S.; Madhan, R.; Navelkar, G.; Maurya, P.; Prabhudesai, S.; Nagvekar, S.; Martins, H.; Sawkar, G.; et al. Development of an Autonomous Vertical Profiler for Oceanographic Studies. In Proceedings of the International Symposium on Ocean Electronics (SYMPOL-2007), Kerala, India, 11–14 December 2007; Available online: https://www.researchgate.net/publication/27667479_Development_of_an_autonomous_vertical_profiler_for_oceanographic_studies (accessed on 16 May 2021).
- Freeland, H.J.; Roemmich, D.; Garzoli, S.L.; Le Traon, P.-Y.; Ravichandran, M.; Riser, S.; Thierry, V.; Wijffels, S.; Belbéoch, M.; Gould, J.; et al. Argo—A decade of progress. In Proceedings of the OceanObs’09: Sustained Ocean Observations and Information for Society, Venice, Italy, 21–25 September 2009; pp. 332–345. [Google Scholar]
- Gould, J.; Roemmich, D.; Wijffels, S.; Freeland, H.; Ignaszewsky, M.; Jianping, X.; Pouliquen, S.; Desaubies, Y.; Send, U.; Radhakrishnan, K.; et al. Argo profiling floats bring new era of in situ ocean observations. Eos Trans. Am. Geophys. Union 2004, 85, 185–191. [Google Scholar] [CrossRef]
- Roemmich, D.; Alford, M.H.; Claustre, H.; Johnson, K.; King, B.; Moum, J.; Oke, P.; Owens, W.B.; Pouliquen, S.; Purkey, S.; et al. On the Future of Argo: A Global, Full-Depth, Multi-Disciplinary Array. Front. Mar. Sci. 2019, 6, 1–439. [Google Scholar] [CrossRef]
- Zang, S.; Fan, X.; Wang, H.; Song, D.; Liu, X.; Yang, H. A method of turbulence measurements from a moored reciprocating vertical profiler based on buoyancy-driven. In Proceedings of the Oceans’16 MTS/IEEE Shanghai, Shanghai, China, 10–13 April 2016. [Google Scholar]
- Davis, R.E.; Regier, L.A.; Dufour, J.; Webb, D.C. The Autonomous Lagrangian Circulation Explorer (ALACE). J. Atmos. Ocean. Technol. 1992, 9, 264–285. [Google Scholar] [CrossRef]
- Loaec, G.; Cortes, N.; Menzel, M.; Moliera, J. PROVOR: A hydrographic profiler based on MARVOR technology. In Proceedings of the IEEE Oceanic Engineering Society Oceans’98 Conference Proceedings, Nice, France, 28 September–1 October 1998. [Google Scholar]
- Waldmann, C. Performance data of a buoyancy driven deep sea YOYO-profiler for long term moored deployment. In Proceedings of the Oceans ‘99 MTS/IEEE Riding the Crest into the 21st Century Conference and Exhibition Conference Proceedings, Seattle, WA, USA, 13–16 September 1999. [Google Scholar]
- Ostrovskii, A.G.; Zatsepin, A.G.; Shvoev, D.A.; Volkov, S.V.; Kochetov, O.Y.; Olshanskiy, V.M. Automatic Profiling System for Underice Measurements. Oceanology 2020, 60, 861–868. [Google Scholar] [CrossRef]
- Wilson, W.D. Water quality profiling with a WETLabs Autonomous Moored Profiler (AMP). In Proceedings of the Oceans’11 MTS/IEEE KONA, Kona, HI, USA, 19–22 September 2011. [Google Scholar]
- Barnard, A. The Miniaturized Autonomous Moored Profiler (Mini AMP); Report No. 0704-0188; Defense Technical Information Center: Philomath, OR, USA, 2006. [Google Scholar]
- Morrison, A.T.; Billings, J.D.; Doherty, K.W. The McLane moored profiler: An autonomous platform for oceanographic measurements. In Proceedings of the Oceans 2000 MTS/IEEE Conference and Exhibition Conference Proceedings, Providence, RI, USA, 11–14 September 2000. [Google Scholar]
- Doherty, K.; Frye, D.; Liberatore, S.; Toole, J. A moored profiling instrument. J. Atmos. Ocean. Technol. 1998, 16, 1816–1829. [Google Scholar] [CrossRef]
- Morrison, A.T.; Billings, J.D.; Doherty, K.W.; Toole, J.M. The McLane moored profiler: A platform for physical, biological, and chemical oceanographic measurements. In Proceedings of the Oceanology International 2000 Conference, Brighton, UK, 7–10 March 2000. [Google Scholar]
- Xu, M.; Tian, J.; Zhao, W. A New Idea for Moored Profiling System Based on Potential-energy-driven concept and method. In Proceedings of the Oceans 2018 MTS/IEEE Charleston, Charleston, SC, USA, 22–25 October 2018. [Google Scholar]
- McGinnis, T.; Hart, N.M.; Mathewson, M.; Shanahan, T. Deep profiler for the ocean observatories initiative Regional Scale Nodes: Rechargeable, adaptive, ROV serviceable. In Proceedings of the 2013 Oceans—San Diego, San Diego, CA, USA, 23–26 September 2013. [Google Scholar]
- Ostrovskii, A.G.; Zatsepin, A.G.; Soloviev, V.A.; Tsibulsky, A.L.; Shvoev, D.A. Autonomous system for vertical profiling of the marine environment at a moored station. Oceanology 2013, 53, 233–242. [Google Scholar] [CrossRef]
- Xu, M.; Tian, J.; Zhao, W. System Design and sea trial of Reciprocating Ocean Profiler based on Potential-energy-driven. In Proceedings of the Oceans 2019 MTS/IEEE Seattle, Seattle, WA, USA, 16–19 September 2019. [Google Scholar]
- Xia, Q.; Chen, Y.; Zang, Y.; Shan, X.; Yang, C.; Zhang, Z. Ocean profiler power system driven by temperature difference energy. In Proceedings of the Oceans 2017, Anchorage, AK, USA, 18–21 September 2017. [Google Scholar]
- Pinkel, R.; Goldin, M.A.; Smith, J.A.; Sun, O.M.; Aja, A.A.; Bui, M.N.; Hughen, T. The Wirewalker: A Vertically Profiling Instrument Carrier Powered by Ocean Waves. J. Atmos. Ocean. Technol. 2011, 28, 426–435. [Google Scholar] [CrossRef]
- Fowler, G.A.; Hamilton, J.M.; Beanlands, B.; Belliveau, D.J.; Furlong, A. A wave powered profiler for long term monitoring. In Proceedings of the Oceans’97 MTS/IEEE Conference Proceedings, Halifax, NS, Canada, 6–9 October 1997. [Google Scholar]
- Echert, D.C.; Geller, E.W.; Whitee, G.B. An Autonomous Ocean Instrument Platform Driven Vertically by the Current; Report No. 448; Flow Research Inc.: Washington, DC, USA, 1988; Available online: https://apps.dtic.mil/docs/citations/ADA198226 (accessed on 16 May 2021).
- Echert, D.; Morison, J.; White, G.; Geller, E. The Autonomous Ocean Profiler: A current-driven oceanographic sensor platform. IEEE J. Ocean. Eng. 1989, 14, 195–202. [Google Scholar] [CrossRef]
- Pearce, N. Worldwide Tidal Current Energy Developments and Opportunities for Canada’s Pacific Coast. Int. J. Green Energy 2005, 2, 365–386. [Google Scholar] [CrossRef]
- Liu, H.-W.; Ma, S.; Li, W.; Gu, H.-G.; Lin, Y.-G.; Sun, X.-J. A review on the development of tidal current energy in China. Renew. Sustain. Energy Rev. 2011, 15, 1141–1146. [Google Scholar] [CrossRef]
- Bryden, I.G.; Couch, S.J. ME1—Marine energy extraction: Tidal resource analysis. Renew. Energy 2006, 31, 133–139. [Google Scholar] [CrossRef]
- Landau, L.D.; Lifschitz, E.M. Fluid Mechanics, 2nd ed.; Pergamon Press: Oxford, UK, 1987; ISBN 978-0-08-033933-7. [Google Scholar]
- Olsen, N.R.B. CFD Algorithms for Hydraulic Engineering, 1st ed.; The Norwegian University of Science and Technology: Trondheim, Norway, 2000; Available online: flok.ntnu.no/nilsol/cfd/cfdalgo.pdf (accessed on 16 May 2021)ISBN 82-7598-044-5.
- Poroseva, S.; Iaccarino, G. Simulating separated flows using the k-ε model. In Annual Research Briefs 2001; Stanford: Stanford, CA, USA, November 2001; Available online: https://web.stanford.edu/group/ctr/ResBriefs01/poroseva2.pdf (accessed on 16 May 2021).
















| Typical Representatives of Profiler | Energy Source | Maximum Deployment Depth (Meters) | Sea Trial Deployment | Similar Equipments |
|---|---|---|---|---|
| ARGO | electricity | 6000 | global ocean areas | ALACE, MRVP, PROVOR, YOYO, et al. |
| AMP | electricity | <50 | the Chesapeake Bay | Mini AMP, the Profiling Buoy of NGK |
| MMP | electricity | 30~6000 | the Labrador and Weddell Seas | WHOI Moored Profiler, Aqualog |
| Wirewalker | wave energy | 300 | the North Pacific | Seahorse |
| AOP | currents and electricity | 150~200 | the Arctic Ocean | / |
| PedROP | gravitational potential energy | 300~1300 | the South China Sea | / |
| Ocean Profiler Power System of ZJU | temperature difference energy | 60 | / | / |
| 45 | 55 | 65 | 75 | 85 | 87 | |
|---|---|---|---|---|---|---|
| 0.08 | Case 1-1 | Case 1-2 | Case 1-3 | Case 1-4 | Case 1-5 | Case 1-6 |
| 0.10 | Case 2-1 | Case 2-2 | Case 2-3 | Case 2-4 | Case 2-5 | Case 2-6 |
| 0.14 | Case 3-1 | Case 3-2 | Case 3-3 | Case 3-4 | Case 3-5 | Case 3-6 |
| 0.16 | Case 4-1 | Case 4-2 | Case 4-3 | Case 4-4 | Case 4-5 | Case 4-6 |
| 0.18 | Case 5-1 | Case 5-2 | Case 5-3 | Case 5-4 | Case 5-5 | Case 5-6 |
| Case | Mesh Number | |
|---|---|---|
| 1 | 0.8 | 887814 |
| 2 | 0.6 | 1873399 |
| 3 | 0.3 | 3809366 |
| 4 | 0.1 | 6518992 |
| Model | Prototype | |
|---|---|---|
| Dynamic viscoity μ (N·s/m2) | 1.14 × 10−3 | 1.20 × 10−3 |
| Fluid density ρ (kg/m3) | 998.2 | 1018.25 |
| The size of cross-plate (cm) | b = 16, c = 8 | b = 5.50, c = 2.75 |
| Current velocities (m/s) | 0.08, 0.10, 0.14, 0.16, 0.18 | 0.24, 0.30, 0.42, 0.48, 0.54 |
| Case | (N) | ||||
|---|---|---|---|---|---|
| 1-1 | 0.080 | 45 | 0.054 | 0.003 | 1.131 |
| 1-2 | 55 | 0.054 | 0.005 | 0.621 | |
| 1-3 | 65 | 0.052 | 0.013 | 0.209 | |
| 1-4 | 75 | 0.048 | 0.021 | 0.123 | |
| 1-5 | 85 | 0.041 | 0.026 | 0.084 | |
| 1-6 | 87 | 0.033 | 0.029 | 0.062 | |
| 2-1 | 0.104 | 45 | 0.091 | 0.005 | 1.903 |
| 2-2 | 55 | 0.091 | 0.008 | 1.044 | |
| 2-3 | 65 | 0.088 | 0.023 | 0.353 | |
| 2-4 | 75 | 0.080 | 0.036 | 0.208 | |
| 2-5 | 85 | 0.068 | 0.045 | 0.142 | |
| 2-6 | 87 | 0.055 | 0.049 | 0.104 | |
| 3-1 | 0.142 | 45 | 0.168 | 0.009 | 3.529 |
| 3-2 | 55 | 0.168 | 0.014 | 1.936 | |
| 3-3 | 65 | 0.164 | 0.042 | 0.655 | |
| 3-4 | 75 | 0.149 | 0.067 | 0.386 | |
| 3-5 | 85 | 0.126 | 0.083 | 0.263 | |
| 3-6 | 87 | 0.101 | 0.092 | 0.193 | |
| 4-1 | 0.164 | 45 | 0.223 | 0.011 | 4.697 |
| 4-2 | 55 | 0.224 | 0.019 | 2.578 | |
| 4-3 | 65 | 0.219 | 0.057 | 0.874 | |
| 4-4 | 75 | 0.199 | 0.089 | 0.515 | |
| 4-5 | 85 | 0.167 | 0.111 | 0.350 | |
| 4-6 | 87 | 0.134 | 0.122 | 0.257 | |
| 5-1 | 0.184 | 45 | 0.281 | 0.014 | 5.904 |
| 5-2 | 55 | 0.282 | 0.024 | 3.242 | |
| 5-3 | 65 | 0.275 | 0.071 | 1.099 | |
| 5-4 | 75 | 0.250 | 0.112 | 0.648 | |
| 5-5 | 85 | 0.210 | 0.140 | 0.440 | |
| 5-6 | 87 | 0.168 | 0.154 | 0.323 |
| Points | Abscissa | Ordinate | Points | Abscissa | Ordinate | Points | Abscissa | Ordinate |
|---|---|---|---|---|---|---|---|---|
| P1 | 85.802 | 0.767 | Q1 | 85.802 | 0.054 | R1 | 85.802 | 0.004 |
| P2 | 83.283 | 0.767 | Q2 | 83.283 | 0.091 | R2 | 83.283 | 0.010 |
| P3 | 77.619 | 0.767 | Q3 | 77.619 | 0.167 | R3 | 77.619 | 0.035 |
| P4 | 73.734 | 0.767 | Q4 | 73.734 | 0.217 | R4 | 73.734 | 0.061 |
| P5 | 69.474 | 0.767 | Q5 | 69.474 | 0.263 | R5 | 69.474 | 0.095 |
(m/s) | (cm) | (cm) | (cm) | (cm) |
|---|---|---|---|---|
| 0.08 | 29.559 | 29.336 | 29.850 | 29.593 |
| 0.10 | 28.752 | 26.274 | 28.657 | 27.465 |
| 0.14 | 25.803 | 15.644 | 25.166 | 20.405 |
| 0.16 | 22.883 | 10.295 | 24.466 | 17.381 |
| 0.18 | 19.428 | 1.309 | 21.328 | 11.318 |
| (m/s) | |||
|---|---|---|---|
| 0.080 | −2.50 | 3.00 | 3.00 |
| 0.104 | −4.00 | 3.29 | 4.00 |
| 0.142 | −8.50 | 7.68 | 8.50 |
| 0.164 | −9.88 | 10.42 | 10.42 |
| 0.184 | −10.98 | 11.50 | 11.50 |
| Deviation (%) | |||
|---|---|---|---|
| 0.08 | 29.58 | 29.57 | 0.02 |
| 0.1 | 27.43 | 27.41 | 0.09 |
| 0.14 | 21.24 | 20.95 | 1.43 |
| 0.16 | 17.20 | 16.63 | 3.28 |
| 0.18 | 12.55 | 11.62 | 8.31 |
Publisher’s Note: MDPI stays neutral with regard to jurisdictional claims in published maps and institutional affiliations. |
© 2021 by the authors. Licensee MDPI, Basel, Switzerland. This article is an open access article distributed under the terms and conditions of the Creative Commons Attribution (CC BY) license (https://creativecommons.org/licenses/by/4.0/).
Share and Cite
Zang, X.; Zhang, Z.; Fan, W. A Novel Profiler Driven by Tidal Energy for Long Term Oceanographic Measurements in Offshore Areas. J. Mar. Sci. Eng. 2021, 9, 534. https://doi.org/10.3390/jmse9050534
Zang X, Zhang Z, Fan W. A Novel Profiler Driven by Tidal Energy for Long Term Oceanographic Measurements in Offshore Areas. Journal of Marine Science and Engineering. 2021; 9(5):534. https://doi.org/10.3390/jmse9050534
Chicago/Turabian StyleZang, Xiaoya, Zhujun Zhang, and Wei Fan. 2021. "A Novel Profiler Driven by Tidal Energy for Long Term Oceanographic Measurements in Offshore Areas" Journal of Marine Science and Engineering 9, no. 5: 534. https://doi.org/10.3390/jmse9050534
APA StyleZang, X., Zhang, Z., & Fan, W. (2021). A Novel Profiler Driven by Tidal Energy for Long Term Oceanographic Measurements in Offshore Areas. Journal of Marine Science and Engineering, 9(5), 534. https://doi.org/10.3390/jmse9050534

