Performance Prediction of a Hard-Chine Planing Hull by Employing Different CFD Models
Abstract
1. Introduction
1.1. Background
1.2. Steady Planing Phenomenon
1.3. The Present Paper
2. CFD Models
2.1. Governing Equations
2.2. Computational Domain and BCs
2.3. Grid Structure
2.4. Details of Simulations
2.5. The Studied Vessel
3. Results and Discussion
3.1. Grid Study
3.2. Results of Different CFD Models vs. Experiments
3.3. Differences Between Models in Computation of Pressure and Water Surface Elevation
3.4. Vorticity Field around the Vessel
3.5. A Brief Discussion on Computational Time
4. Conclusions
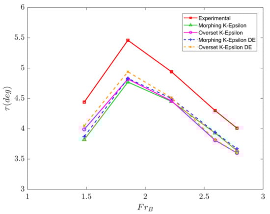
- Compared with a k-ε turbulence model, a DES turbulence model computes the running trim angle of the studied planing hull with a greater level of accuracy. Moreover, the morphing technique was seen to have better accuracy in the prediction of the trim angle at high-speeds, while the overset method was observed to have better accuracy at low-speeds.
- As observed, DES simulations provide a greater level of accuracy in resistance calculation when mesh motion is modeled with morphing technique, compared to k-ε simulations. This showed us that the large-eddy simulations that are performed in the surrounding water can have a positive role in the accurate computation of the resistance force of a vessel operating in a planing mode. The large eddies that are computed by using the DES model are related to the divergent waves emerging near the bow and transom that can partially contribute to resistance. The k-ε model might not be able to capture this extra amount of resistance.
- The overset model was seen to result in overprediction of resistance. This overprediction was seen to be even larger in the case that the DES simulations were used. The sampled vorticity field around the vessel showed that overset method might compute larger shear stresses on the free surface, which can lead to overprediction of the resistance.
- The length of eddies emerged near the vessel were computed for the case of the highest modeled speed. Eddies were seen to have a shorter length in the boundary layer. Eddies were observed to develop in such a way that their length increased from ~0.005B to ~0.07B as the fluid traveled from the walls of the vessel toward the lee of the vessel, or from the chines toward surrendering water. The oveset method was found to compute slightly longer eddies in the lee of the vessel and in the surrendering water. This overprediction was seen to occur in the oveset zone. This implied that either the mesh structure or the interpolation between the velocity and pressure fields of the overset and background regions lead to overprediction of the length of eddies, which resulted in overprediction of resistance.
- It was demonstrated that overset and morphing techniques, respectively overpredict and under-predict the wetted surface of the studied planing hull. The errors of the DES simulations in the computation of the wetted surface were seen to be higher than those of k-ε simulations.
- DES simulations can result in extra damping of the second and third crests of the transom waves. This again proved the strong ability of the large eddy simulations performed in the computation of the eddy viscosity in the water flow of the downstream field.
- The technical information of the CFD models showed that, compared to an overset method, a morphing technique needs longer time to advance one time-step. Such a behavior is linked to the morphing that occurs at each time-step. In addition, the DES approach can result in a longer computation time compared to the k-ε model.
Author Contributions
Funding
Institutional Review Board Statement
Informed Consent Statement
Data Availability Statement
Acknowledgments
Conflicts of Interest
Nomenclature
| B, BWL | Maximum Beam of the boat (m), and its beam at water line (m) |
| E | Error of any computed parameter (%) |
| fb | External forces arising from gravity (N) |
| Fz | Fluid force acting on the vessel in z direction (N) |
| FrB | Beam Froude number |
| g | Gravitational constant (m/s2) |
| I | Mass moment of inertia (Kg-m2) |
| L | Length(m) |
| LOALPPLWL | Boat length (m). Refers to overallbetween perpendicular and on water line length |
| M | Mass of the boat (Kg) |
| My | Moment vector (N-m). Refers to pitch component. |
| p | Fluid pressure (Pa) |
| pmax | Maximum hydrodynamic pressure (Pa) |
| R | Resistance force (N) |
| Sws | Wetted surface (m2) |
| u | Flow velocity vector (m/s) |
| V | Boat speed (m/s) |
| Heave acceleration (m/s2) | |
| zmax | Maximum surface elevation (m) |
| Pitch acceleration (rad/s2 ) | |
| ρc | Density of flow (Kg/m3) |
| μcμT | Viscosity and eddy viscosity of flow (Kg/m-s) |
| γ | Phase fraction of the fluid |
| Δt | Time step (s) |
| Δx | Minimum cell size on hull surface (m) |
| φc | Value of any mixture physical parameter (water and air mixture) |
| φa | Value of any air physical parameter |
| φw | Value of any water physical parameter |
| β | Deadrise angle of the vessel (deg) |
| ττstatic | Dynamic and static trim angle of the vessel (deg) |
| ψexp ψnum | Any computed parameter. Numerical and experimental results. |
| Δ | Displacement of the boat (N) |
References
- Savitsky, D. Planing craft. Nav. Eng. J. 1985, 97, 113–141. [Google Scholar] [CrossRef]
- Blount, D.; Codega, L. Dynamic stability of planing boats. Mar. Technol. 1992, 29, 4–12. [Google Scholar]
- Ikeda, Y.; Katayama, T. Propoising oscillations of very-high-speed marine craft. Philos. Trans. R. Soc. Lond. Ser. A Math. Phys. Eng. Sci. 2000, 358, 1905–1915. [Google Scholar] [CrossRef][Green Version]
- Tavakoli, S.; Najafi, S.; Amini, E.; Dashtimanesh, A. Performance of high-speed planing hulls accelerating from rest under the action of a surface piercing propeller and an outboard engine. Appl. Ocean Res. 2018, 77, 45–60. [Google Scholar] [CrossRef]
- Faltensin, O.M. Hydrodynamics of High-Speed Marine Vehicles; Cambridge University Press: New York, NY, USA, 2005. [Google Scholar]
- Tuck, E.; Scullen, D.; Lazauskas, L. Wave Patterns and Minimum Wave Resistance for High-Speed Vessels. In Proceedings of the 24th Symposium on Naval Hydrodynamics, Fukuoka, Japan, 8–13 July 2002. [Google Scholar]
- Savitsky, D.; Brown, P. Procedures for hydrodynamic evaluation of planing hulls in smooth and rough water. Mar. Technol. 1976, 13, 381–400. [Google Scholar]
- Savitsky, D. Hydrodynamic design of planing hulls. Mar. Technol. 1964, 1, 71–95. [Google Scholar]
- Ghadimi, P.; Tavakoli, S.; Feizi, M.; Dashtimanesh, A. Introducing a particular mathematical model for predicting the resistance and performance of prismatic planing hulls in calm water by means of total pressure distribution. J. Nav. Archit. Mar. Eng. 2015, 12, 73–94. [Google Scholar] [CrossRef]
- Katayama, T.; Iida, T.; Ikeda, Y. Effects of change in running attitude on turning diameter of planing craft. In Proceedings of the 2nd PAMES and AMEC 2006, Jeju, Korea, 17–20 October 2006. [Google Scholar]
- Tavakoli, S.; Dashtimanesh, A. Running attitudes of yawed planing hulls in calm water: Development of an oblique 2D+T approach. J. Ships Offshore Struct. 2017, 12, 1086–1099. [Google Scholar] [CrossRef]
- Begovic, E.; Bertorello, C. Resistance assessment of warped hullform. Ocean Eng. 2012, 56, 28–42. [Google Scholar] [CrossRef]
- De Luca, F.; Pensa, C. The Naples warped hard chine hulls systematic series. Ocean Eng. 2017, 139, 205–236. [Google Scholar] [CrossRef]
- Ghadimi, P.; Sayyed Mahdi, S.; Tavakoli, S. Experimental study of the wedge effects on the performance of a hard-chine planing craft in calm water. Mech. Eng. 2019, 26, 1316–1334. [Google Scholar] [CrossRef]
- Fridsma, G. A Systematic Study of the Rough-Water Performance of Planing Boats; Technical Report, Davidson Laboratory Report 1275; Stevens Institute of Technology Davidson Laboratory, Castle Point Station: Hoboken, NJ, USA, 1969. [Google Scholar]
- Dashtimanesh, A.; Tavakoli, S.; Sahoo, P. A simplified method to calculate trim and resistance of a two-stepped planing hull. Ships Offshore Struct. 2017, 12, 317–329. [Google Scholar] [CrossRef]
- Dashtimanesh, A.; Tavakoli, S.; Sahoo, P. Development of a simple mathematical model for calculation of trim and resistance of two stepped planing hulls with transverse steps. In Proceedings of the International Conference on Ships and Offshore Structures, Hamburg, Germany, 31 August–2 September 2016. [Google Scholar]
- Matveev, K. On hydrodynamics of a planing plate in a laterally restricted channel. Ocean Eng. 2018, 151, 152–156. [Google Scholar] [CrossRef]
- Iafrati, A.; Broglia, R. Hydrodynamics of planning hulls: A comparison between RANS and 2d+ t potential flows models. In Proceedings of the 27th ONR Symposium on Naval Hydrodynamics, Seoul, Korea, 5–10 October 2008. [Google Scholar]
- Ghadimi, P.; Tavakoli, S.; Dashtimanesh, A.; Zaman, R. Steady performance prediction of heeled planing boat in calm water using asymmetric 2D+T model. J. Eng. Marit. Environ. 2017, 231, 234–257. [Google Scholar] [CrossRef]
- Matveev, K. Two-dimensional modeling of stepped planing hulls with open and pressurized air cavities. Int. J. Nav. Archit. Ocean Eng. 2012, 4, 162–171. [Google Scholar] [CrossRef]
- Tavakoli, S.; Ghadimi, P.; Dashtimanesh, A. A nonlinear mathematical model for coupled heave, pitch, and roll motions of a high-speed planing hull. J. Eng. Math. 2017, 104, 157–194. [Google Scholar] [CrossRef]
- Ghadimi, P.; Tavakoli, S.; Dashtimanesh, A. Coupled heave and pitch motions of planing hulls at non-zero heel angle. Appl. Ocean Res. 2016, 59, 286–303. [Google Scholar] [CrossRef]
- Ghadimi, P.; Tavakoli, S.; Dashtimanesh, A. An analytical procedure for time domain simulation of roll motion of the warped planing hulls. J. Eng. Marit. Environ. 2016, 230, 600–615. [Google Scholar] [CrossRef]
- Niazmand Bilandi, R.; Dashtimanesh, A.; Tavakoli, S. Development of a 2D+T Theory for Performance Prediction of Double-Stepped Planing Hulls in Calm Water. J. Eng. Marit. Environ. 2018, 233, 886–904. [Google Scholar] [CrossRef]
- Tavakoli, S.; Dashtimanesh, A.; Sahoo, P. An oblique 2D+ T approach for hydrodynamic modeling of yawed planing boats in calm water. J. Ship Prod. Des. 2018, 34, 335–346. [Google Scholar] [CrossRef]
- Troesch, A.W.; Hicks, J.D. The Efficient Use of Simulation in Planing Hull Motion Anaylsis. Nav. Eng. J. 1994, 106, 75–85. [Google Scholar] [CrossRef]
- Tavakoli, S.; Dashtimanesh, A. A six-DOF theoretical model for steady turning maneuver of a planing hull. Ocean Eng. 2019, 189, 106328. [Google Scholar] [CrossRef]
- Tavakoli, S.; Dashtimanesh, A. Mathematical simulation of planar motion mechanism test for planing hulls by using 2D+ T theory. Ocean Eng. 2019, 169, 651–672. [Google Scholar] [CrossRef]
- Sun, H.; Faltinsen, O. Dynamic motions of planing vessels in head seas. J. Mar. Sci. Technol. 2011, 16, 168–180. [Google Scholar] [CrossRef]
- Dashtimanesh, A.; Enshaei, H.; Tavakoli, S. Oblique-Asymmetric 2D+ T Model to Compute Hydrodynamic Forces and Moments in Coupled Sway, Roll, and Yaw Motions of Planing Hulls. J. Ship Res. 2018, 63, 1–5. [Google Scholar] [CrossRef]
- Ghadimi, P.; Tavakoli, S.; Dashtimanesh, A.; Taghikhani, P. Dynamic response of a wedge through asymmetric free fall in 2 degrees of freedom. J. Eng. Marit. Environ. 2019, 233, 229–250. [Google Scholar] [CrossRef]
- Izadi, M.; Ghadimi, P.; Fadavi, M.; Tavakoli, S. Hydroelastic analysis of water impact of flexible asymmetric wedge with an oblique speed. Meccanica 2018, 53, 10. [Google Scholar] [CrossRef]
- Izadi, M.; Ghadimi, P.; Fadavi, M.; Tavakoli, S. Numerical modeling of the freefall of two-dimensional wedge bodies into water surface. J. Braz. Soc. Mech. Sci. Eng. 2018, 40, 24. [Google Scholar] [CrossRef]
- Mousaviraad, S.; Wang, Z.; Stern, F. URANS studies of hydrodynamic performance and slamming loads on high-speed planing hulls in calm water and waves for deep and shallow conditions. Appl. Ocean Res. 2015, 51, 222–240. [Google Scholar] [CrossRef]
- De Luca, F.; Mancini, S.; Miranda, S.; Pensa, C. An extended verification and validation study of CFD simulations for planing hulls. J. Ship Res. 2016, 60, 101–118. [Google Scholar] [CrossRef]
- Sukas, O.; Kinaci, O.; Cakici, F. Hydrodynamic assessment of planing hulls using overset grids. Appl. Ocean Res. 2017, 65, 35–46. [Google Scholar] [CrossRef]
- Ferrando, M.; Gaggero, S.; Villa, D. Open source computations of planing hull resistance. Int. J. Small Craft Technol. 2015, 157, 83–98. [Google Scholar] [CrossRef]
- Roshan, F.; Dashtimanesh, A.; Tavakoli, S.; Niazmand, R.; Abyn, H. Hull–propeller interaction for planing boats: A numerical study. Ships Offshore Struct. 2019. [Google Scholar] [CrossRef]
- Niazmand Bilandi, R.; Dashtimanesh, A.; Tavakoli, S. Hydrodynamic study of heeled double-stepped planing hulls using CFD and 2D+ T method. Ocean Eng. 2020, 196, 106813. [Google Scholar] [CrossRef]
- De MarDe Marco, A.; Mancini, S.; Miranda, S. Experimental and numerical hydrodynamic analysis of a stepped planing hull. Appl. Ocean Res. 2017, 64, 135–154. [Google Scholar] [CrossRef]
- Esfandiari, A.; Tavakoli, S.; Dashtimanesh, A. Comparison between the Dynamic Behavior of the Non-stepped and Double-stepped Planing Hulls in Rough Water: A Numerical Study. J. Ship Prod. Des. 2019, 36, 52–66. [Google Scholar] [CrossRef]
- Dashtimanesh, A.; Esfandiari, A.; Mancini, S. Performance Prediction of Two-Stepped Planing Hulls Using Morphing Mesh Approach. J. Ship Prod. Des. 2018, 34, 236–245. [Google Scholar] [CrossRef]
- Dashtimanesh, A.; Roshan, F.; Tavakoli, S.; Kohansal, A.; Barmala, B. Effects of step configuration on hydrodynamic performance of one-and doubled-stepped planing flat plates: A numerical simulation. J. Eng. Marit. Environ. 2019, 234, 181–195. [Google Scholar] [CrossRef]
- Tavakoli, S.; Niazmand Bilandi, R.; Manchini, S.; De Luca, F.; Dashtimanesh, A. Dynamic of a planing hull in regular waves: Comparison of experimental, numerical and mathematical methods. Ocean Eng. 2020, 217, 107959. [Google Scholar] [CrossRef]
- STAR-CCM+ Version 13.04; CD-Adapco, Computational Dynamics-Analysis & Design; Application Company Ltd.: Melville, NY, USA, 2011.
- The International Towing Tank Conference. ITTC Recommended Procedures and Guidelines 7.5-02-02-01; ITTC: Rio de Janeiro, Brazil, 2011. [Google Scholar]
- Waclawczyk, T.; Koronowicz, T. Comparison of CICSAM and HRIC high-resolution schemes for interface capturing. J. Theor. Appl. Mech. 2008, 46, 325–345. [Google Scholar]
- Spalart, P.R. Detached-eddy simulation. Annu. Rev. Fluid Mech. 2009, 41, 181–202. [Google Scholar] [CrossRef]
- Klein, M.; Ketterl, S.; Hasslberger, J. Large eddy simulation of multiphase flows using the volume of fluid method: Part 1—Governing equations and a priori analysis. Exp. Comput. Multiph. Flow 2019, 1, 130–144. [Google Scholar] [CrossRef]
- De Bertodano, M.L.; Lahey, R.T.; Jones’s, O.C. Development of a [kappa]-[epsilon] model for bubbly two-phase flow. J. Fluids Eng. 1993, 116, 128–134. [Google Scholar] [CrossRef]
- Fonseca Soares, L.L.; Manzanares-Filho, N.; Ramirez Camacho, R.G. Velocity decomposition approach for steady incompressible flow around bluff bodies using a transpiration auxiliary surface. Eur. J. Mech. B/Fluids 2021, 85, 134–148. [Google Scholar] [CrossRef]
- Morino, L.; Salvatore, F.; Gennaretti, M. A new velocity decomposition for viscous flows: Lighthill’s equivalent-source method revisited. Comput. Methods Appl. Mech. Eng. 1999, 173, 317–336. [Google Scholar] [CrossRef]
- Hafez, M.; Shatalov, A.; Wahba, E. Numerical simulations of incompressible aerodynamic flows using viscous/inviscid interaction procedures. Comput. Methods Appl. Mech. Eng. 2006, 195, 3110–3127. [Google Scholar] [CrossRef]
- Morabito, M. Empirical Equations for Planing Hull Bottom Pressures. J. Ship Res. 2014, 58, 185–200. [Google Scholar] [CrossRef]
- Dashtimanesh, A.; Ghadimi, P. A three-dimensional SPH model for detailed study of free surface deformation, just behind a rectangular planing hull. J. Braz. Soc. Mech. Sci. Eng. 2013, 35, 369–380. [Google Scholar] [CrossRef]
- Ghadimi, P.; Dashtimanesh, P.; Farsi, M.; Najafi, S. Investigation of free surface flow generated by a planing flat plate using smoothed particle hydrodynamics method and FLOW3D simulations. J. Eng. Marit. Environ. 2013, 227, 125–135. [Google Scholar] [CrossRef]
- Rabaud, M.; Moisy, F. Narrow ship wakes and wave drag for planing hulls. Ocean Eng. 2014, 90, 34–38. [Google Scholar] [CrossRef]
- Moisy, F.; Rabaud, M. Mach-like capillary-gravity wakes. Phys. Rev. 2014, 90, 023009. [Google Scholar] [CrossRef] [PubMed]
- Savitsky, D.; Morabito, M. Surface wave contours associated with the fore body wake of stepped planing hulls. Mar. Technol. 2010, 47, 1–16. [Google Scholar]


















| Prescribed Boundary | Velocity | Pressure | Volume Fraction | |
|---|---|---|---|---|
| Inlet (water) | Velocity inlet | ∇p = 0 | γ = 1 | |
| Inlet (air) | Velocity inlet | ∇p = 0 | γ = 0 | |
| Side | Velocity inlet | ∇p = 0 | ∇γ = 0 | |
| Bottom | Velocity inlet | ∇p = 0 | ∇γ = 0 | |
| Outlet | Pressure outlet | ∇p = 0 | ∇γ = 0 | |
| Upper surface | Velocity inlet | p = patm | ∇γ = 0 | |
| Body of the planing hull | No-slip rigid body | uB = dG/dt | ∇p = 0 | ∇γ = 0 |
| CFD Model | Turbulence Model | Mesh Motion Model |
|---|---|---|
| MKE | k-ε | Morphing |
| OKE | k-ε | Overset |
| MDE | DES | Morphing |
| OKE | DES | Overset |
| Parameter | Value |
|---|---|
| BWL | 0.743 |
| LOA/B | 3.51 |
| LWL/B | 3.23 |
| SWS/B2 | 3.079 |
| τstatic | 0 |
| Δ/ρgB3 | 0.264 |
| Grid No. | Minimum Cell Size on Hull Surface in x Direction (Δx/B) | Number of Cells (Million) |
|---|---|---|
| 1 | 0.0269 | 0.52 |
| 2 | 0.0235 | 0.66 |
| 3 | 0.0201 | 0.87 |
| 4 | 0.0168 | 1.24 |
| 5 | 0.0154 | 1.47 |
| MKE | MDE | OKE | ODE | |||||||||
|---|---|---|---|---|---|---|---|---|---|---|---|---|
| 1.48 | 0.93 | 13.96 | 8.69 | 0.86 | 12.8 | 9.4 | 3.13 | 10.13 | 17.39 | 1.37 | 8.78 | 30.43 |
| 1.85 | 3.35 | 12.63 | 1.52 | 1.72 | 11.5 | 0.76 | 0.03 | 11.72 | 3.05 | 1.9 | 9.52 | 3.05 |
| 2.22 | 4.26 | 9.91 | 15.96 | 2.2 | 8.9 | 21.8 | 0.04 | 9.71 | 6.72 | 4.4 | 8.7 | 5.88 |
| 2.59 | 0.76 | 8.6 | 11.76 | 2.49 | 8.37 | 14.7 | 2.43 | 11.39 | 19.6 | 7.4 | 11.16 | 19.6 |
| 2.77 | 1.87 | 9.22 | 15.78 | 0.42 | 8.47 | 22.1 | 4.63 | 10.22 | 15.78 | 6.78 | 10.22 | 16.84 |
| RMSE | 2.62 | 11.06 | 12 | 1.72 | 10.19 | 15.9 | 2.72 | 10.66 | 14.07 | 5 | 9.72 | 18.1 |
Publisher’s Note: MDPI stays neutral with regard to jurisdictional claims in published maps and institutional affiliations. |
© 2021 by the authors. Licensee MDPI, Basel, Switzerland. This article is an open access article distributed under the terms and conditions of the Creative Commons Attribution (CC BY) license (https://creativecommons.org/licenses/by/4.0/).
Share and Cite
Hosseini, A.; Tavakoli, S.; Dashtimanesh, A.; Sahoo, P.K.; Kõrgesaar, M. Performance Prediction of a Hard-Chine Planing Hull by Employing Different CFD Models. J. Mar. Sci. Eng. 2021, 9, 481. https://doi.org/10.3390/jmse9050481
Hosseini A, Tavakoli S, Dashtimanesh A, Sahoo PK, Kõrgesaar M. Performance Prediction of a Hard-Chine Planing Hull by Employing Different CFD Models. Journal of Marine Science and Engineering. 2021; 9(5):481. https://doi.org/10.3390/jmse9050481
Chicago/Turabian StyleHosseini, Azim, Sasan Tavakoli, Abbas Dashtimanesh, Prasanta K. Sahoo, and Mihkel Kõrgesaar. 2021. "Performance Prediction of a Hard-Chine Planing Hull by Employing Different CFD Models" Journal of Marine Science and Engineering 9, no. 5: 481. https://doi.org/10.3390/jmse9050481
APA StyleHosseini, A., Tavakoli, S., Dashtimanesh, A., Sahoo, P. K., & Kõrgesaar, M. (2021). Performance Prediction of a Hard-Chine Planing Hull by Employing Different CFD Models. Journal of Marine Science and Engineering, 9(5), 481. https://doi.org/10.3390/jmse9050481

