Abstract
Posidonia oceanica meadows are ecosystem engineers that play several roles in marine environment maintenance. In this sense, monitoring of the spatial distribution and health status of their meadows is key to make decisions about protecting them against their degradation. With the aim of checking the ability of a simple low-cost acoustic method to acquire information about the state of P. oceanica meadows as ecosystem indicators, ground-truthing and acoustic data were acquired over several of these meadows on the Levantine coast of Spain. A 200 kHz side scan sonar in a vertical configuration was used to automatically estimate shoot density, canopy height and cover of the meadows. The wide athwartship angle of the transducer together with its low cost and user friendliness entail the main advantages of this system and configuration: both improved beam path and detection invariance against boat rolling. The results show that canopy height can be measured acoustically. Furthermore, the accumulated intensity of the echoes from P. oceanica in the first 30 centimeters above the bottom is indirectly related to shoot density and cover, showing a relation that should be studied deeply.
1. Introduction
The marine phanerogam Posidonia oceanica (Linnaeus) Delile (1813) forms biodiversity hotspots in the Mediterranean Sea, where it is endemic. P. oceanica meadows are complex and structured ecosystems, and some of them have been dated to be older than 6000 years ([] in []), nevertheless they are experiencing habitat fragmentation [] and their area is declining in many regions []. Considered ecosystem engineers [,], their leaves can reach 120 cm length [] and are grouped in shoots that form rich and broad meadows up to 40 m deep []. They support fisheries, carbon sequestration and coastal protection []. Moreover, P. oceanica presents a high net primary and O2 production together with large amounts of biomass [].
Several factors contribute to the regression of P. oceanica meadows. These valuable ecosystems are vulnerable to coastal development, especially mechanical damage, turbidity and pollution. Effects of warming and a rise in sea level have been observed [,], along with effects of alien species in low-density areas [,,]. Furthermore, the seagrass regression problem is compounded by the fact that their recovery is hampered by their slow rhizome growth and low genetic variability [,].
Owing to the described risky situation of Posidonia oceanica, the development of projects focused on protecting and recovering their meadows are imperative. To take proper measures, the first step is to assess the distribution and health status of the meadows. Gathering traditional and local knowledge about ecosystems, including seagrasses, is a common tool used to assist in marine conservation [,], notwithstanding scientific information is necessary for the basis. Monitoring programs have for many years included direct methods to assess the structural characteristics of P. oceanica such as matte structure, shoot density and bottom cover []. Scuba diving provides valuable detailed data, but involves high economic and time investment, and has limited horizontal coverage. Towed video cameras and remotely operated vehicles have proven useful in obtaining information on the composition of biological communities, but data quality is limited by the water turbidity and their interpretation is time-consuming and likely to be subjective [,].
Remote sensing technologies based on satellite imagery have been used successfully to map large extensions of seagrass meadows []. However, they are limited by depth, light absorption, clouds, high algal coverage and roughness of the sea surface [], potentially underestimating seagrass areal extension []. Acoustic methods are effective for detecting and characterizing targets within the water column and seabed [,]. A variety of scientific echosounders have been used for the mapping and/or monitoring of seagrass [], from the simplest and cheapest single beam [,], through split beam [], to sophisticated and expensive multibeam echosounders that allow full coverage [,,]. Moreover, it has even been possible to classify seagrass meadows according to their relative abundance from measurements at high frequencies []. However, the standard acoustic system for mapping seagrass has been side scan sonar (SSS), a single beam transducer with a broad athwartship angle and a very narrow alongship one that provides wide-area and high-resolution pictures of the seabed due to its low slant angle orientation and high frequencies.
SSS presents a great versatility, high efficiency and relatively low cost for mappings seagrass compared with aerial methods [], discriminating it from rocky and sandy bottoms [] and detecting and quantifying bare patches [,], even comparing different sediment grain size distributions [].
Despite the advantages described, using a beam with low grazing angles does not confer high precision in bottom detection and bathymetry, and it also reduces the scattering volume close to the first echo from the seabed. In 2012, a modified use of SSS, with higher grazing angle (25 from the vertical direction), was employed by Sánchez et al. to improve bottom and P. oceanica detections, also measuring the height of the meadows. Furthermore, they used the SSS transducer supported in the ship band, which avoided the use of a towfish, increasing the simplicity and comfort of the performance and the precision in geographic positioning [].
Following the initiative of these authors, we propose a vertical use of an SSS transducer to improve the bottom detection and to maximize the scattering volume of P. oceanica leaves before the first hit of the acoustic pulse on the sea bottom. The wide angle in the transversal direction will also ensure an improvement in the stability of the acoustic measurements against boat rolling, which is a common problem when using small ships in coastal waters.
This work aims to test the efficiency of such a vertical configuration SSS as a low-cost tool to monitor P. oceanica meadows, evaluate its capability to estimate canopy height and characterize the relationship between shoot density and backscatter intensity. Monitoring of both structural features, canopy height and shoot density, could be used to assess meadows over time, identifying seasonal and interannual variations and allowing the detection of damage after natural or anthropogenic harmful events, as well as signs of recovery after the implementation of protection protocols. The proposed configuration could be especially helpful for monitoring the lower limits of P. oceanica fields, where satellite detection is compromised by depth and the diving effort is hardly affordable.
Two studies are described in this paper. They have been carried out at different times and locations and with slightly different equipment. However, they share the same main definition parameters and use comparable technologies. For these reasons, both experiments and results are shown together, allowing the development of a common conclusion.
2. Materials and Methods
2.1. Study Area
Two areas belonging to the Alicante coast were studied: the coast of Dénia, where the measurements took place in July 2016, and the marine area around the Penyal d’Ifac in Calp, surveyed in August 2018 (Figure 1).

Figure 1.
Study areas on Alicante coast (E Spain). Survey transects in Dénia and Calp depicted in blue and red, respectively.
Both locations presented seagrass meadows mainly formed by Posidonia oceanica and were located within marine protected areas, considered as Important Community Places (LIC).
Despite their protection, both locations are influenced by human impact due to sewage discharge, recreational activities and, in Dénia, also the proximity to a fishing industry harbor.
Two sampling sites were surveyed in Dénia, one comprising a lateral meadow limit (site D_1) and another one in the midst of the same meadow (site D_2). Both stations were approximately 5 m deep.
In Calp, the sampling strategy comprised four sampling sites. In this case, it was decided to maximize the depth variability, so two transects were placed at 8 and 12.5 m deep (sites C_1 and C_2, respectively), south of Penyal d’Ifac, where there is a large P. oceanica meadow, and two transects at 4.5 and 6 m deep (sites C_3 and C_4), north of Penyal d’Ifac, where the meadow extends all along the beach La Fossa.
Furthermore, in both study areas, transects over sandy seabed were surveyed as control measurements (site D_0 in Dénia and C_0 in Calp).
A line transect was delimited in every sampling site, along which acoustic measurements and ground-truthing were carried out. The orientation thereof was defined by the way that the variation in bottom depth within the site was minimized (less than 1 m). Figure 1 shows the locations of the sites and their transects in Dénia and Calp. The transects’ lengths and depths can be seen in Table 1.

Table 1.
Transect length in every survey site. Depth is considered as the distance between bottom and tranducer, regardless of the draft.
2.2. Acoustic Data Acquisition
Every transect was acoustically covered using a 200 kHz SSS installed on one side of a boat, with its beam axis facing vertically downwards. Figure 2 depicts the influence of this choice on the volume of Posidonia oceanica leaves that contribute to the acoustic backscattering before the first strike of the acoustic pulse on the sediment or the hardest parts of the rhizome. Figure 3 illustrates the influence of this arrangement of the SSS beam geometry on the spatial resolution of the acoustical mapping and the installation of the transducer below the water line on one side of the boat.

Figure 2.
SSS transducer configurations: (a) standard SSS, (b) higher grazing angle used by [], (c) symmetric vertical configuration used in this work. Panel (d) shows for comparison the insonified Posidonia oceanica leaf volume for a vertical single beam echosounder with typical aperture of 10 degrees.

Figure 3.
Left: comparison of single beam echosounder and vertical SSS geometries. Right: SSS transducer below the vessel during measurements in Dénia.
In both works, we used SIMRAD transceivers with an SSS transducer provided by Airmar with asymmetric beam apertures at −3 dB: 0.5 alongship and 49 athwartship. Ping duration was set to 64 s, offering a sample interval of 16 s, working at 100 W for Dénia measurements and 90 W for Calp ones. Both transceivers were controlled by a laptop connected to a GPS receiver, allowing recording of one position per second. The equipment was powered by 12 V batteries. A 8.5 m long ship was used in Dénia, which kept a speed of 3 knots during measurements and each transect was covered once by acoustics. In Calp, a 4 m long ship was used at a speed of 1.5 knots and each transect was covered 6 times. Ping interval was 100 ms in Dénia and the minimum supported (60 to 70 ms) in Calp. That means that one ping was emitted every 15 cm for the Dénia study and around every 5 cm in Calp. The resulting beam path was a very narrow insonified area of just 4 cm in the navigation direction (alongship) and a much wider one of 4.5 m in athwartship, for the case of a 5 m depth.
Salinity and temperature data from water were provided by handheld multiparameter probes, since they were going to be required for part of the acoustic data processing that is described later in the text. Due to the relatively shallow working depths, the environmental parameters were considered uniform throughout the water column.
2.3. Ground-Truthing
Due to the broad athwartship aperture of the acoustic beam, the area covered by acoustics extended from 2 to 5.70 m on either side of the line for 4.5 to 12.5 m depths, respectively. Scuba divers collected observation data with quadrats sampled randomly within that area.
In Dénia, ground-truthing data were collected from 10 points at each site, using a 40 × 40 cm quadrat following Pergent et al. [], as shown in Figure 4. Three structural descriptors where measured: shoot density (shoots·m) from the number of shoots within quadrats; leaf length (cm) from the length of 3 leaves chosen randomly in every quadrat; and canopy height, measuring the height of the canopy in 5 of the 10 quadrats, considering that leaves are usually curved and the canopy height could be acoustically estimated more than leaf length.

Figure 4.
Handmade quadrat used in Dénia to calculate shoot density.
In Calp, shoot density and cover measurements were conducted. Shoot density was sampled from 15 points at each site using a 25 × 25 cm quadrat []. Cover sampling was performed using 50 × 50 cm quadrats [] with 30 repetitions at each site. Every quadrat was subdivided into four sub-quadrats. Each cover measurement was carried out by two scuba divers who recorded the percentage occupied by Posidonia oceanica in each one of the four quadrats. Afterwards, each datapoint was compared to avoid large deviations. If the deviation was greater than 15%, that sub-square was surveyed again by both divers. For this measurement, locations of maximum density were sought, avoiding barren spots.
It is noticeable that shoot density is surveyed in both sites using different quadrat sizes. Ground-truthing was performed in each study area at different times and in the framework of collaborations with two different research groups. Each group had defined protocols for the assessment of the evolution of the P. oceanica meadows in their own area, attending to their spatial characteristics. Both dimensions are referenced in the literature on sampling of seagrass descriptors [], therefore, they were considered well suited for representing the shoot density of the meadows. However, a bigger quadrat size was used in the Dénia area, whose meadows are less dense than in the Calp area. In dense meadows, smaller quadrats turn out to be more efficient. Furthermore, recognizing the differences between both quadrat sizes, survey results are presented in the same units of measurement (shoots·m), which allows their comparison.
Statistical analysis of ground-truthing data was carried out using the statistical software Statgraphics.
2.4. Acoustic Data Processing
Echograms obtained from every transect and stored in raw files were corrected by the compensation of the geometrical spreading and attenuation losses in order to be able to compare echoes from different depths. For the first losses, it was assumed that the acoustic wave is spherical during the outgoing but it is a plane during the echo from the bottom since this is more extensive than the acoustic beam, so only one way was compensated by adding the term calculated by the equation:
where R is the sample range in m []. For the absorption losses, we added:
where is the absorption coefficient calculated by the François and Garrison model [,], in dB·m. The sound velocity used to determine the distance of each sample and the absorption coefficient was calculated from the Mackenzie equation [].
After corrections, the bottom echoes were detected and the bottom range was equalized in every echogram. For every ping, the maximum value from the bottom echoes was taken. The minimum one minus 1 dB was defined as a limit beyond which, for each ping, the first sample before reaching the maximum level that exceeds this limit was identified as the beginning of the bottom. Then, echograms were lined up by equalizing these bottom positions to the maximum detected one.
To characterize the P. oceanica meadows, two acoustic variables were calculated: acoustic canopy height and accumulated acoustic intensity.
The acoustic canopy height was calculated for every ping as the range between bottom and the first three consecutive samples from the bottom to the surface whose level was below the bottom echo level minus 35 dB. This threshold and the number of consecutive samples below it were empirically defined. If the acoustic height exceeded 120 cm, the respective ping was discarded, since leaves do not reach more than this length [,,]. Furthermore, this rule minimizes the risk of considering non-target echoes as P. oceanica (for example, from fish schools over the meadow). The relationship between acoustic height and leaf length and canopy height, the last two directly measured by divers, was analyzed.
The value of the accumulated intensity for each ping is calculated as the sum of the echo intensity from the samples within a specific range. It was computed only for the 30 cm above the bottom line in order to reduce the variability caused by the presence of fish schools and other species on the meadow or by the curvature of the leaves due to water movements. The relationship between accumulated intensity in that 30 cm and shoot density and cover was analysed.
For the particular case of site D_1, located in a meadow limit, only the part of the transect on the meadow was considered to calculate the acoustic height and the accumulated intensity of the canopy, discarding the part on bare seabed for this purpose.
An example of the processing steps is depicted in Figure 5.

Figure 5.
An example of the processing applied in the D_2 transect. On the left, a part of the echogram from transect D_2 where it is possible to identify the echoes from Posidonia oceanica over the echoes with highest intensity values from the bottom. In the middle, the same echogram with bottom line equalized is shown. The solid black line marks the bottom, the red line marks the beginning of the P. oceanica detection, the dashed black line marks the range used to calculate the accumulated energy from P. oceanica (0.3 m above the bottom). On the right, the echoes from ping number 500 are depicted, the same lines mark the different ranges to calculate canopy height and accumulated intensity.
All the previous processes were carried out using the programming and numeric computing platform Matlab. Supplementary Materials Figures S1–S3 for the present article includes information that completes the description of acoustic data processing.
Supplementary Material for the present article includes information that completes the description of acoustic data processing.
3. Results and Discussion
3.1. Density and Cover Direct Estimation Values
Ground-truthing results are presented in Table 2. The stations showed differences in density, with lower densities in Dénia than in Calp, varying from 326 shoots·m in D_1 to 1109 shoots·m in C_3. Figure 6 shows the shoot density as a function of depth. An analysis of variance was carried out in order to compare the mean density values obtained from the surveyed meadows. A significant difference was showed between the means of the six stations (p-value < 0.05). After applying Fisher’s least significant difference test to compare between pairs of samples, it was concluded that there are no statistically significant differences at the 95 % confidence level between D_1–D_2 and C_3–C_4. Therefore, four groups could be established according to shoot density: D_1 and D_2, C_1, C_2, C_3 and C_4.

Table 2.
Ground-truthing data, average and standard deviation for shoot density, leaf length and canopy height and median for cover, for each site.

Figure 6.
Posidonia oceanica shoot density as a function of depth.
In Dénia, both sites are at similar depths and present similar densities, which are low compared to Calp ones. In the case of Calp, data clearly reveal an influence of depth since the meadows present more density in shallower waters, decreasing as the depth increases (r = −0.998, alpha = 0.05). It is noteworthy that this behavior with respect to depth variation has already been observed in the biomass and density of P. oceanica [,]. It is even suggested that this trend is due to acclimatization to high depths, since the reduction in the density of seagrass shoots can improve the relative amount of light available for each shoot within the canopy since self-shading is reduced [,].
It is noteworthy that shoot density and cover from Calp sites are directly related, as expected, as the higher the density is, the more of the area is covered (r = −0.96, alpha = 0.05).
The ground-truthing data have allowed the characterization of the Posidonia oceanica meadows in order to study the relationship between their structural characteristics and their acoustic response. However, contemplating the possibility of conducting future studies, it is considered that the aforementioned relationship would be statistically more robust with more detailed ground-truthing of the surveyed meadows.
3.2. Acoustic Detection and Characterization of P. oceanica Meadows
P. oceanica was easily detected in the echograms generated with vertical configuration of SSS. The methodologies applied to detect the bottom and the top of the canopy have worked adequately. Regarding the bottom detection, the available literature shows several methods. For example, it has been assumed that the beginning of the seabed that is acoustically detected is one pulse length before the range where the maximum intensity of the echo is reached [] or the range where the echo exceeds a particular threshold before the range of the maximum intensity [] and, in the case of seabed covered with vegetation, the bottom has been identified where the echo reaches the maximum backscatter [] or by applying a threshold with respect to the maximum value of the echo []. The methodology applied here, a small threshold relative to the maximum limit, considers the range of the maximum value of the echo without reaching the defined maximum limit and it is between the first two and the last methodologies named above [,,].
Figure 7 shows the echogram from station D_1 as an example. Before ping 350, the seabed was devoid of vegetation except for some isolated clumps of P. oceanica located outside the continuous meadow. If a ping from the bare bottom and a ping from the bottom with vegetation are compared, a large difference in the acoustic height (the range from the bottom to the beginning of the P. oceanica detection) is revealed, as can be seen in the same figure. Owing to the characteristics of the acoustic beam, the transducer setup and the algorithm used, even if there is no vegetation on the bottom, a minimum acoustic height is always detected.

Figure 7.
On the left, the echogram from transect D_1. The solid black line marks the bottom and the red line marks the beginning of the Posidonia oceanica detection. The vertical dashed black line marks ping number 200 and the dotted green one ping number 450. On the right, the echoes from these pings are depicted with their respective red lines marking the range of the beginning of P. oceanica and the black line marking the range of the bottom.
It is noteworthy that the maximum acoustic height of 120 cm is exceeded in 1% of the pings. It is a small proportion of the surveys, however, it is useful to avoid considering non-target echoes as echoes from P. oceanica. Its effect is illustrated in Figure 7, shortly before ping number 400. There are echoes above the canopy, possibly scattered by the presence of fish swimming in the area. The applied methodology delimits the canopy height from the non-target echoes, and when it is not able to do this, the rule of the maximum canopy height of 120 cm removes the measurement and improves the quality of the resulting set.
Regarding acoustic canopy height, the analysis showed an average height of 74.02 ± 18.95 cm in D_1 and 71.03 ± 11.03 cm in D_2. The acoustic and ground-truthing measures are depicted together in Figure 8. The mean acoustic height is close to the leaf length, slightly lower in both sites, as expected due to the natural curvature of the leaves. Contrary to expectations, acoustic height is higher than directly measured canopy height, especially in D_1. It is probable that the streams of the sea during surveys or those generated by divers during handling modified the natural curvature of the leaves and this was different from the curvature during acoustic survey.

Figure 8.
Acoustic canopy height, together with leaf length and canopy height in Dénia sites.
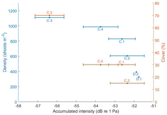
Results for accumulated intensity (Table 3) are presented in relation to shoot density and cover in Figure 9. The results from backscatter intensity analysis related to shoot density and cover are presented together for both locations since the emission configurations and the acoustic systems were very similar. However, the entire systems were not calibrated and the results have to be approached comparatively for each location, not absolutely.

Table 3.
Accumulated intensity results, average and standard deviation, for each site.

Figure 9.
Accumulated intensity 30 cm above bottom vs. shoot density and cover.
Accumulated intensity depicted a decreasing pattern related to increasing shoot density and cover. This result may be contrary to what was expected, since previous studies have shown how the energy of the echo at high frequencies tends to increase with the increasing seagrass biomass []. Nevertheless, biomass and shoot density do not necessarily present a positive relationship [,], since the number of leaves per shoot varies as well as the leaf length, owing to several factors, such as the season or the occurrence of severe storms.
In addition, there are other factors that can contribute to decreasing the level of the echo when the density increases. Photosynthetic activity in seagrasses, which strictly depends on the light irradiance reaching the leaves, provides oxygen to the water and this can dissolve or form bubbles in a proportion that depends on the degree of stirring []. Several studies have revealed that the propagated acoustic signals at lower frequencies (lower than 16 kHz) are sensitive to the void fraction of gas present in the water column in seagrass meadows, being attenuated [,]. According to this, a higher photosynthetic activity and, therefore, a higher oxygen content in the water, can be expected at higher densities and shallower depths. In this sense, high frequency waves, such as the ones we have used in the present work, could be attenuated too. The study carried out by Wilson et al. [] showed that transmission loss for a high frequency, 104 KHz, increases in the presence of seagrass compared with bare substrate. In the present work, an even higher frequency has been used than in [], almost double, and it is expected that the presence of seagrasses causes a similar effect on transmission losses. These transmission losses would explain the lower echo intensities as density increases.
Moreover, aegagropiles from Posidonia oceanica, the spherical aggregates formed by fibers from this phanerogam, show a high sound absorption capacity []. This characteristic might be present in living vegetation, which would also explain the current results.
The effect of the environmental factors described above should be thoroughly studied to accurately describe the acoustic response of the seagrass meadow depending on shoot density and cover variations.
A certain concern could arise from the fact that the used echosounders were not calibrated. Although this is a fundamental issue in other applications, such as biomass estimation in fishery acoustics, it has been a minor matter in habitat mapping performed with single beam echosounders. Bottom classification has been achieved by the parameterization of echo envelope characteristics in a differential way, by comparison of the backscattered energy values from different sea bottom types, obtained with the same echosounder [,,,]. In these well-established methodologies, the assignment of absolute values of backscattering coefficients is generally avoided, and the calibration can be interesting just for the purpose of the assignment of absolute values of backscattering coefficients is generally avoided, and the calibration can be interesting just for the purpose of checking the proper functioning of the equipment, especially in the case of repeating the measurements at the same locations for long periods of assessment. For the detection methodology proposed in this work, echosounder calibration for absolute echo intensity measurements is not as important as the control of the signal-to-noise ratio using a particular echosounder, since echogram thresholding could affect the detected meadow limits and heights. In the presented studies, two different SIMRAD echosounders (EA400 and EK60) were used, both with a dynamic range of 95 dB, offering similar signal-to-noise ratios. Nevertheless, the issue of the echosounder calibration with a side scan sonar type transducer should be addressed in the future, and a suitable methodology investigated. In this case, to apply the standard calibration method with a calibrated sphere [,] is simply not feasible for practical reasons. The SSS transducer is constituted by an eight-element linear array, producing an asymmetric beam with a wide transversal aperture (49) and a very narrow one (0.5) in the longitudinal direction with several side lobes. The calibration sphere must be completely insonified and placed in the center of the main lobe in the transducer farfield, which is estimated by the producer to be several tens of meters, although the directivity pattern is already stable between 5 and 10 m. The athwarth- and alongship −3 dB apertures of the beam at 10 m from the transducer are 9.3 m and 0.087 m, respectively, while the diameter of a tungsten carbide calibration sphere for 200 kHz is 38.1 mm. It seems to be very difficult to obtain an accurate position of the calibration sphere inside such a narrow beam in sea conditions, even more so if we consider that it must be carried out without the angular information provided by a split beam transducer. Therefore, the measurement of source level and beam characteristics at typical working distances in a large pool or pond with a precise positioning system for hydroacoustic measurements seems the most suitable approach, if available. Possible deviations from the spherical decay of the beam with the distance to the transducer along the first meters of propagation could be properly corrected when comparing intensity integration values at different depths.
SSS in a vertical configuration is presented as an useful tool for monitoring structural features of seagrass meadows. Several studies present acoustic measurements of these variables using acoustic methodologies with satisfactory results. Canopy height has been acoustically surveyed using SSS in a quasi vertical configuration [], with single beam [,,,,,] and multibeam echosounders []. In the same way, vegetation cover has been estimated from SSS [], with single beam [,] and multibeam echosounders [], and biomass and/or abundance using single beam [,], split beam [] and multibeam echosounders [,].
The main advantage of the use of SSS in a vertical configuration against a single beam or split beam echosounder lies in its broad athwartship aperture that not only increases the surveyed area, keeping a high resolution on the alongship axis, but also provides robust measurements against roll movements. On the other hand, multibeam echosounders present broad apertures composed of narrow beam angles producing high-resolution images from bathymetry and intensity, however, their higher cost, the need for specific software and the computational cost and data storing requirements present SSS as a much more accessible tool for seagrass assessment.
4. Conclusions
The use of SSS in a vertical configuration allows the clear detection of the presence of Posidonia oceanica meadows, even of clumps. Due to its wide transversal angle, the beam path is wider than that obtained with the usual single beam echosounders, and the acoustic measurements are stable despite the rolling and provide echograms from which the height of the meadow can be calculated. Spatial resolution in the navigation direction is, on the contrary, improved. Moreover, its low cost and user friendliness make it a more affordable tool than multibeam echosounders. Accumulated intensity has shown a decreasing trend as density and coverage increase. The diversity of the possible causes of this effect implies the need to carry out thorough studies that significantly characterize the relationship between these variables since it would enable us to acoustically assess shoot density and cover of P. oceanica meadows. These results show the potential use of SSS in a vertical direction as an efficient and low-cost tool to monitor structural features of P. oceanica meadows, such as canopy height, shoot density and cover, over time.
Supplementary Materials
The following are available at https://www.mdpi.com/article/10.3390/jmse9121332/s1, Figure S1: Flow chart about the processing algorithm of the acoustic data, Figure S2: Fragment of the echogram from transect D_1. The solid black line marks the bottom and the red line marks the beginning of the Posidonia oceanica detection, Figure S3: Ping 369 from Figure S2 is plotted in blue and ping 377 in red. The points on the pings lines represent the samples. The vertical black line marks the bottom. Intensity values with arrows indicate the intensity of the bottom sample for each ping. The horizontal dashed lines mark the intensity threshold for each ping (bottom intensity −35 dB). Vertical green line marks 1.2 m above the bottom. The ellipses indicate the first three consecutive samples from the bottom that present values less than the threshold for each ping.
Author Contributions
Data curation, S.L.-E., E.T. and S.H.; formal analysis, N.S.-C., I.P.-A. and V.E.; funding acquisition, V.E.; investigation, S.L.-E., E.T., S.H., M.R., V.P.-P. and J.T.-M.; methodology, S.L.-E., N.S.-C., I.P.-A. and V.E.; project administration, V.E.; resources, M.R.; software, S.L.-E. and V.P.-P.; supervision, N.S.-C., I.P.-A., M.M. and V.E.; validation, E.T., S.H., M.R. and J.T.-M.; writing—original draft, S.L.-E., E.T., S.H., N.S.-C. and V.E.; writing—review & editing, I.P.-A., M.M. and V.E. All authors have read and agreed to the published version of the manuscript.
Funding
Funding for open access charge: Universitat Politècnica de València.
Institutional Review Board Statement
Not applicable.
Informed Consent Statement
Not applicable.
Data Availability Statement
The data used in this study are openly available in Mendeley Data at https://data.mendeley.com//datasets/n3cx6n3xyf/1 (accessed on 30 October 2021).
Conflicts of Interest
The authors declare no conflict of interest.
References
- Picard, J. Recherches qualitatives sur les biocoenoses marines des substrats meubles dragables de la région marseillaise. Rec. Trav. Stn. Mar. Endoume Fac. Sci. 2009, 36, 1–60. [Google Scholar]
- Marbà, N.; Duarte, C.M.; Cebrián, J.; Gallegos, M.E.; Olesen, B.; Sand-Jensen, K. Growth and population dynamics of Posidonia oceanica on the Spanish Mediterranean coast: Elucidating seagrass decline. Mar. Ecol. Prog. Ser. 1996, 137, 203–213. [Google Scholar] [CrossRef]
- Montefalcone, M.; Parravicini, V.; Vacchi, M.; Albertelli, G.; Ferrari, M.; Morri, C.; Bianchi, C.N. Human influence on seagrass habitat fragmentation in NW Mediterranean Sea. Estuar. Coast. Shelf Sci. 2010, 86, 292–298. [Google Scholar] [CrossRef]
- Boudouresque, C.F. The Mediterranean Sea: An Overview of its Present State and Plans for Future Protection. In The Erosion of Mediterranean Biodiversity; Rodríguez-Prieto, C., Pardini, G., Eds.; Servei de Publicacions de la Universitat de Girona: Girona, Spain, 2003; pp. 53–112. [Google Scholar]
- Boudouresque, C.; Bernard, G.; Bonhomme, P.; Charbonnel, E.; Diviacco, G.; Meinesz, A.; Pergent, G.; Pergent-Martini, C.; Ruitton, S.; Tunesi, L. Protection and Conservation of Posidonia Oceanica Meadows; Ramoge and RAC/SPA Publisher: Tunis, Marseille, 2012; p. 202. [Google Scholar]
- Coleman, F.C.; Williams, S.L. Overexploiting marine ecosystem engineers: Potential consequences for biodiversity. Trends Ecol. Evol. 2002, 17, 40–44. [Google Scholar] [CrossRef]
- Personnic, S.; Bodouresque, C.F.; Astruch, P.; Ballesteros, E.; Blouet, E.; Bella-Santini, D.; Bonhomme, P.; Thibault-Botha, D.; Feuteun, E.; Harmelin-Vivien, M.; et al. An Ecosystem-Based Approach to Assess the Status of a Mediterranean Ecosystem, the Posidonia oceanica Seagrass Meadow. PLoS ONE 2014, 6, e98994. [Google Scholar] [CrossRef]
- Boudouresque, C.F.; Mayot, N.; Pergent, G. The outstanding traits of the functioning of the Posidonia oceanica seagrass ecosystem. Biol. Mar. Medit. 2006, 13, 109–113. [Google Scholar]
- de los Santos, C.B.; Krause-Jensen, D.; Alcoverro, T.; Marbà, N.; Duarte, C.M.; Van Katwijk, M.M.; Pérez, M.; Romero, J.; Sánchez-Lizaso, J.L.; Roca, G.; et al. Recent trend reversal for declining European seagrass meadows. Nat. Commun. 2019, 10, 3356. [Google Scholar] [CrossRef]
- Jordà, G.; Marbà, M.; Duarte, C.M. Mediterranean seagrass vulnerable to regional climate warming. Nat. Clim. Chang. 2012, 2, 821–824. [Google Scholar] [CrossRef]
- Ballesteros, E.; Cebrián, E.; Alcoverro, T. Mortality of shoots of Posidonia oceanica following meadow invasion by red alga Lophocladia lallemandii. Bot. Mar. 2007, 50, 8–13. [Google Scholar] [CrossRef]
- Sureda, A.; Box, A.; Terrados, J.; Deudero, S.; Pons, A. Antioxidant response of the seagrass Posidonia oceanica when epiphytized by the invasive macroalgae Lophocladia lallemandi. Mar. Environ. Res. 2008, 66, 359–363. [Google Scholar] [CrossRef]
- De Villéle, X.; Verlaque, M. Changes and degradation in a Posidonia oceanica bed invaded by the introduced tropical alga Caulerpa taxifolia in the north western Mediterranean. Bot. Mar. 1995, 38, 79–88. [Google Scholar] [CrossRef]
- Micheli, C.; Paganin, P.; Peirano, A.; Caye, G.; Meinesz, A.; Bianchi, C.N. Genetic variability of Posidonia oceanica (L.) Delile in relation to local factors and biogeographic patterns. Aquat. Bot. 2005, 82, 210–221. [Google Scholar] [CrossRef]
- Schuegraf, M.J. Establishment of Seagrass Decline and Causative Mechanisms in Pearl Lagoon, Nicaragua through Use of traditional Ecological Knowledge, Sediment Coring and Direct Visual Census; FES Outstanding Graduate Student Paper Series; University of New York: New York, NY, USA, 2004; Volume 9. [Google Scholar]
- Newmaster, A.F.; Berg, K.J.; Ragupathy, S.; Palanisamy, M.; Sambandan, K.; Newmaster, S.G. Local knowledge and conservation of seagrasses in the Tamil Nadu State of India. J. Ethnobiol. Ethnomed. 2011, 7, 1–17. [Google Scholar] [CrossRef] [PubMed]
- Pergent-Martini, C.; Leoni, V.; Pasqualini, V.; Ardizzone, G.D.; Balestri, E.; Bedini, R.; Belluscio, A.; Belsher, T.; Borg, J.; Boudouresque, C.F.; et al. Descriptors of Posidonia oceanica meadows: Use and application. Ecol. Indic. 2005, 5, 213–230. [Google Scholar] [CrossRef]
- Crawford, C.M.; Mitchell, I.M.; Macleod, C.K.A. Video assessment of environmental impacts of salmon farms. ICES J. Mar. Sci. 2001, 58, 445–452. [Google Scholar] [CrossRef][Green Version]
- Paul, M.; Lefebvre, A.; Manca, E.; Amos, C.L. An acoustic method for the remote measurement of seagrass metrics. Estuar. Coast. Shelf Sci. 2011, 93, 68–79. [Google Scholar] [CrossRef]
- Traganos, D.; Reinartz, P. Mapping Mediterranean seagrasses with Sentinel-2 imagery. Mar. Pollut. Bull. 2018, 134, 197–209. [Google Scholar] [CrossRef]
- Vis, C.; Hudon, C.; Carignan, R. An evaluation of approaches used to determine the distribution and biomass of emergent and submerged aquatic macrophytes over large spatial scales. Aquat. Bot. 2003, 77, 187–201. [Google Scholar] [CrossRef]
- McCarthy, E.; Sabol, B. Acoustic characterization of submerged aquatic vegetation: Military and environmental monitoring applications. In Proceedings of the Oceans 2000 MTS/IEEE Conference and Exhibition, Providence, RI, USA, 11–14 September 2000; pp. 1957–1961. [Google Scholar]
- Simmonds, E.J.; MacLennan, D.N. Fisheries Acoustics: Theory and Practice; Blackwell Publishing: London, UK, 2005. [Google Scholar]
- Anderson, J.T.; Van Holliday, D.; Kloser, R.; Reid, D.G.; Simard, Y. Acoustic seabed classification: Current practice and future directions. ICES J. Mar. Sci. 2008, 65, 1004–1011. [Google Scholar] [CrossRef]
- Gumusay, M.U.; Bakirman, T.; Kizilkaya, I.T.; Aykut, N.O. A review of seagrass detection, mapping and monitoring applications using acoustic systems. Eur. J. Remote Sens. 2019, 52, 1–29. [Google Scholar] [CrossRef]
- Mamede, R.; Rodrigues, A.M.; Freitas, R.; Quintino, V. Single-beam acoustic variability associated with seabed habitats. J. Sea Res. 2015, 100, 152–159. [Google Scholar] [CrossRef]
- Jordan, A.; Lawler, M.; Halley, V.; Barret, N. Seabed habitat mapping in the Kent Group of islands and its role in Marine protected area planning. Aquat. Conserv. Mar. Freshw. Ecosyst. 2005, 15, 51–70. [Google Scholar] [CrossRef]
- Brown, C.J.; Blondel, P. Developments in the application of multibeam sonar backscatter for seafloor habitat mapping. Appl. Acoust. 2009, 70, 1242–1247. [Google Scholar] [CrossRef]
- Komatsu, T.; Igarashi, C.; Tatsukawa, K.; Sultana, S.; Matsuoka, Y.; Harada, S. Use of multi-beam sonar to map seagrass beds in Otsuchi Bay on the Sanriku Coast of Japan. Aquat. Living Resour. 2003, 16, 223–230. [Google Scholar] [CrossRef]
- Di Maida, G.; Tomasello, A.; Luzzu, F.; Scannavino, A.; Pirrotta, M.; Orestano, C.; Calvo, S. Discriminating between Posidonia oceanica meadows and sand substratum using multibeam sonar. ICES J. Mar. Sci. 2011, 68, 12–19. [Google Scholar] [CrossRef]
- Hamana, M.; Komatsu, T. Real-Time Classification of Seagrass Meadows on Flat Bottom with Bathymetric Data Measured by a Narrow Multibeam Sonar System. Remote Sens. 2016, 8, 96. [Google Scholar] [CrossRef]
- Greene, A.; Rahman, A.F.; Kline, R.; Rahman, M.S. Side scan sonar: A cost-efficient alternative method for measuring seagrass cover in shallow environments. Estuar. Coast. Shelf Sci. 2018, 207, 250–258. [Google Scholar] [CrossRef]
- Piazzi, L.; Acunto, S.; Cinelli, F. Mapping of Posidonia oceanica beds around Elba Island (western Mediterranean) with integration of direct and indirect methods. Estuar. Coast. Shelf Sci. 2000, 23, 339–346. [Google Scholar] [CrossRef]
- Sánchez-Carnero, N.; Rodríguez-Pérez, D.; Couñago, E.; Aceña, S.; Freire, J. Using vertical Sidescan Sonar as a tool for seagrass cartography. Estuar. Coast. Shelf Sci. 2012, 115, 334–344. [Google Scholar] [CrossRef]
- Rahnemoonfar, M.; Rahman, A.F.; Kline, R.J.; Greene, A. Automatic seagrass disturbance pattern identification on sonar images. IEEE J. Ocean. Eng. 2018, 44, 132–141. [Google Scholar] [CrossRef]
- Collier, J.S.; Brown, C.J. Correlation of sidescan backscatter with grain size distribution of surficial seabed sediments. Mar. Geol. 2005, 214, 431–449. [Google Scholar] [CrossRef]
- Ahmad-Kamil, E.I.; Ramli, R.; Jaaman, S.A.; Bali, J.; Al-Obaidi, J.R. The effects of water parameters on monthly seagrass percentage cover in Lawas, East Malaysia. Sci. World J. 2013, 2013, 1–8. [Google Scholar] [CrossRef]
- Lurton, X. An Introduction to Underwater Acoustics: Principles and Applications; Springer Science and Business Media: Chichester, UK, 2002. [Google Scholar]
- François, R.E.; Garrison, G.R. Sound absorption based on ocean measurements. Part I: Pure water and magnesium sulfate contributions. JASA 1982, 72, 896–907. [Google Scholar] [CrossRef]
- François, R.E.; Garrison, G.R. Sound absorption based on ocean measurements. Part II: Boric acid contribution and equation for total absorption. JASA 1982, 72, 1879–1890. [Google Scholar] [CrossRef]
- Mackenzie, K.V. Nine-term equation for sound speed in the oceans. JASA 1981, 70, 807–812. [Google Scholar] [CrossRef]
- Balestri, E. Flowering of the seagrass Posidonia oceanica in a north-western Mediterranean coastal area: Temporal and spatial variations. Mar. Biol. 2004, 145, 61–68. [Google Scholar] [CrossRef]
- Ciarolo, G.; Ferreri, G.B.; Loggia, G.L. Flow resistance of Posidonia oceanica in shallow water. J. Hydraul. Res. 2006, 44, 189–202. [Google Scholar] [CrossRef]
- Olesen, B.; Enríquez, S.; Duarte, C.M.; Sand-Jensen, K. Depth-acclimation of photosynthesis, morphology and demography of Posidonia oceanica and Cymodocea nodosa in the Spanish Mediterranean Sea. Mar. Ecol. Prog. Ser. 2002, 236, 89–97. [Google Scholar] [CrossRef]
- Olguner, C.; Mutlu, E. Acoustic Estimates of Leaf Height and Biomass of Posidonia oceanica Meadow in Gulf of Antalya, The Eastern Mediterranean. COMU-JMSF 2020, 3, 79–94. [Google Scholar] [CrossRef]
- Dalla Via, J.; Sturmbauer, C.; Schönweger, G.; Sötz, E.; Mathekowitsch, S.; Stifter, M.; Rieger, R. Light gradients and meadow structure in Posidonia oceanica: Ecomorphological and functional correlates. Mar. Ecol. Prog. Ser. 1998, 163, 267–278. [Google Scholar] [CrossRef]
- Krause-Jensen, D.; Middelboe, A.L.; Sand-Jensen, K.; Christensen, P.B. Eelgrass, Zostera marina, growth along depth gradients: Upper boundaries of the variation as a powerful predictive tool. Oikos 2000, 91, 233–244. [Google Scholar] [CrossRef]
- Hamilton, L.J. Acoustic Seabed Classification Systems; Defence Science and Technology Organisation; DSTO Aeronautical and Maritime Research Laboratory: Victoria, Australia, 2001. [Google Scholar]
- Rodríguez-Pérez, D.; Sánchez-Carnero, N.; Freire, J. A pulse-length correction to improve energy-based seabed classification in coastal areas. Cont. Shelf Res. 2014, 77, 1–13. [Google Scholar] [CrossRef]
- Delgado, O.; Ruiz, J.; Pérez, M.; Romero, J.; Ballesteros, E. Effects of fish farming on seagrass (Posidonia oceanica) in a Mediterranean bay: Seagrass decline after organic loading cessation. Oceanol. Acta 1999, 22, 109–117. [Google Scholar] [CrossRef]
- Terrados, J.; Medina-Pons, F.J. Inter-annual variation of shoot density and biomass, nitrogen and phosphorus content of the leaves, and epiphyte load of the seagrass Posidonia oceanica (L.) Delile off Mallorca, western Mediterranean. Sci. Mar. 2011, 75, 61–70. [Google Scholar] [CrossRef]
- Hermand, J.P. Continuous acoustic monitoring of physiological and environmental processes in seagrass prairies with focus on photosynthesis. In Acoustic Sensing Techniques for the Shallow Water Environment; Caiti, A., Chapman, N.R., Hermand, J.P., Jesus, M., Eds.; Springer: Dordrecht, The Nederland, 2006; pp. 183–196. [Google Scholar]
- Felisberto, P.; Jesus, S.M.; Zabel, F.; Santos, R.; Silva, J.; Gobert, S.; Beer, S.; Njörl, M.; Mazzuca, S.; Procaccini, G.; et al. Acoustic monitoring of O2 production of a seagrass meadow. J. Exp. Mar. Biol. Ecol. 2015, 464, 75–87. [Google Scholar] [CrossRef][Green Version]
- Wilson, C.J.; Wilson, P.S.; Greene, C.A.; Dunton, K.H. Seagrass meadows provide an acoustic refuge for estuarine fish. Mar. Ecol. Prog. Ser. 2013, 472, 117–127. [Google Scholar] [CrossRef]
- Barguet, L.; Romero-García, V.; Jiménez, N.; Garcia-Raffi, L.M.; Sánchez-Morcillo, V.J.; Groby, J.P. Natural sonic crystal absorber constituted of seagrass (Posidonia Oceanica) fibrous spheres. Sci. Rep. 2021, 11, 711. [Google Scholar] [CrossRef]
- Freitas, R.; Sampaio, L.; Rodrigues, A.M.; Quintino, V. Sea-bottom classification across a shallow-water bar channel and near-shore shelf, using single-beam acoustics. Estuar. Coast. Shelf Sci. 2005, 65, 625–632. [Google Scholar] [CrossRef]
- Ferretti, R.; Fumagalli, E.; Caccia, M.; Bruzzone, G. Seabed classification using a single beam echosounder. In Proceedings of the Oceans 2015-Genova, IEEE Conference, Genova, Italy, 18–21 May 2015; pp. 1–5. [Google Scholar]
- Snellen, M.; Siemes, K.; Simons, D.G. Model-based sediment classification using single-beam echosounder signals. JASA 2011, 129, 2878–2888. [Google Scholar] [CrossRef]
- Foote, K.G.; Knudsen, H.P.; Vestnes, G.; MacLennan, D.N.; Simmonds, E.J. Calibration of Acoustic Instruments for Fish Density Estimation: A Practical Guide; Cooperative Research Report 144; International Council for the Exploration of the Sea: Copenhagen, Denmark, 1987; p. 69. [Google Scholar]
- Demer, D.A.; Berger, L.; Bernasconi, M.; Bethke, E.; Boswell, K.; Chu, D.; Domokos, R.; Dunford, A.; Fässler, S.; Gauthier, S.; et al. Calibration of Acoustic Instruments; ICES Cooperative Research Report 326; International Council for the Exploration of the Sea (ICES) Publisher: Copenhagen, Denmark, 2015. [Google Scholar]
- Tseng, Y.T. Recognition and Assessment of Seafloor Vegetation Using a Single Beam Echosounder. Ph.D. Thesis, Curtin University, Bentley, Australia, 2009. [Google Scholar]
- Monpert, C.; Legris, M.; Noel, C.; Zerr, B.; Le Caillec, J.M. Studying and modeling of submerged aquatic vegetation environments seen by a single beam echosounder. Proc. Meet. Acoust. 2012, 17, 070044. [Google Scholar]
- Barrell, J.; Grant, J. Detecting hot and cold spots in a seagrass landscape using local indicators of spatial association. Landsc. Ecol. 2013, 28, 2005–2018. [Google Scholar] [CrossRef]
- Chamberlain, R.H.; Doering, P.H.; Orlando, B.; Sabol, B.M. Comparison of manual and hydroacoustic measurement of seagrass distribution in the Caloosahatchee estuary. Fla. Sci. 2009, 72, 386–405. [Google Scholar]
- Sabol, B.M.; Melton, R.E.; Chamberlain, R.; Doering, P.; Haunert, K. Evaluation of a digital echo sounder system for detection of submersed aquatic vegetation. Estuaries 2002, 25, 133–141. [Google Scholar] [CrossRef]
- Quintino, V.; Freitas, R.; Mamede, R.; Ricardo, F.; Rodrigues, A.M.; Mota, J.; Pérez-Ruzafa, A.; Marcos, C. Remote sensing of underwater vegetation using single-beam acoustics. ICES J. Mar. Sci. 2010, 67, 594–605. [Google Scholar] [CrossRef]
Publisher’s Note: MDPI stays neutral with regard to jurisdictional claims in published maps and institutional affiliations. |
© 2021 by the authors. Licensee MDPI, Basel, Switzerland. This article is an open access article distributed under the terms and conditions of the Creative Commons Attribution (CC BY) license (https://creativecommons.org/licenses/by/4.0/).