Minimum Propulsion Power Assessment of a VLCC to Maintain the Maneuverability in Adverse Conditions
Abstract
:1. Introduction
2. Major Amendments
| (N/m2) | is the quadratic transfer function of the added resistance in regular waves and A is the wave amplitude. |
| is the seaway spectrum specified as JONSWAP spectrum with the peak parameter 3.3. | |
| is the spreading function of wave energy with respect to mean wave direction specified as cos2-directional spreading. | |
| (rad/s) | is the wave frequency of component. |
| (rad) | is the encountered angle between ship and wave. |
| (rad) | is the direction of the wave component. |
3. On the Recommended Methods for Added Resistance Prediction
4. Minimum Propulsion Power Assessment (MPPA) Following the Newly Adopted Guideline
4.1. Minimum Power Lines Assessment
4.2. Minimum Power Assessment
5. Conclusions
- With the introduction of recommended numerical methods for calculating added resistance, the assessment can now be conveniently conducted by engineers without the necessity of carrying out experiments, which makes the design and approving processes smoother.
- The navigational speed used in the assessment changed from 4–9 knots to 2 knots. This change makes the execution of experiments in a towing tank very challenging due to the wall effect. Note that the ITTC guideline for avoiding tank wall effect has been derived for design/service speed only. Its validity at such low speed needs to be re-examined.
- Carrying out experiments to predict the added resistance in short-crested head waves also requires the tests in regular head to beam waves. This cannot be executed in a towing tank, but only in an ocean basin. Besides, such experiments are very costly.
- The method of calculating Xr is not clearly defined, while its influence on the results is consider minor due to its limited contribution to the total resistance.
- The calm-water resistance at 2 knots is very small and its influence on MPPA is negligible.
- The newly introduced item, namely, the rudder resistance, is small.
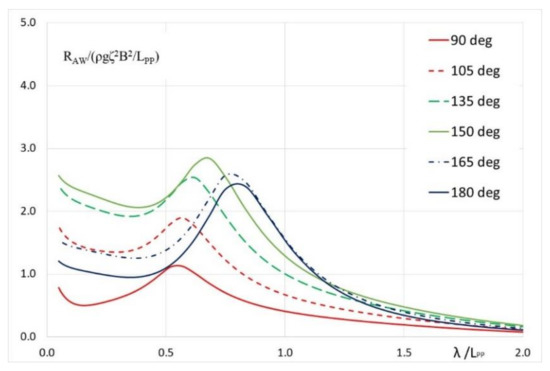
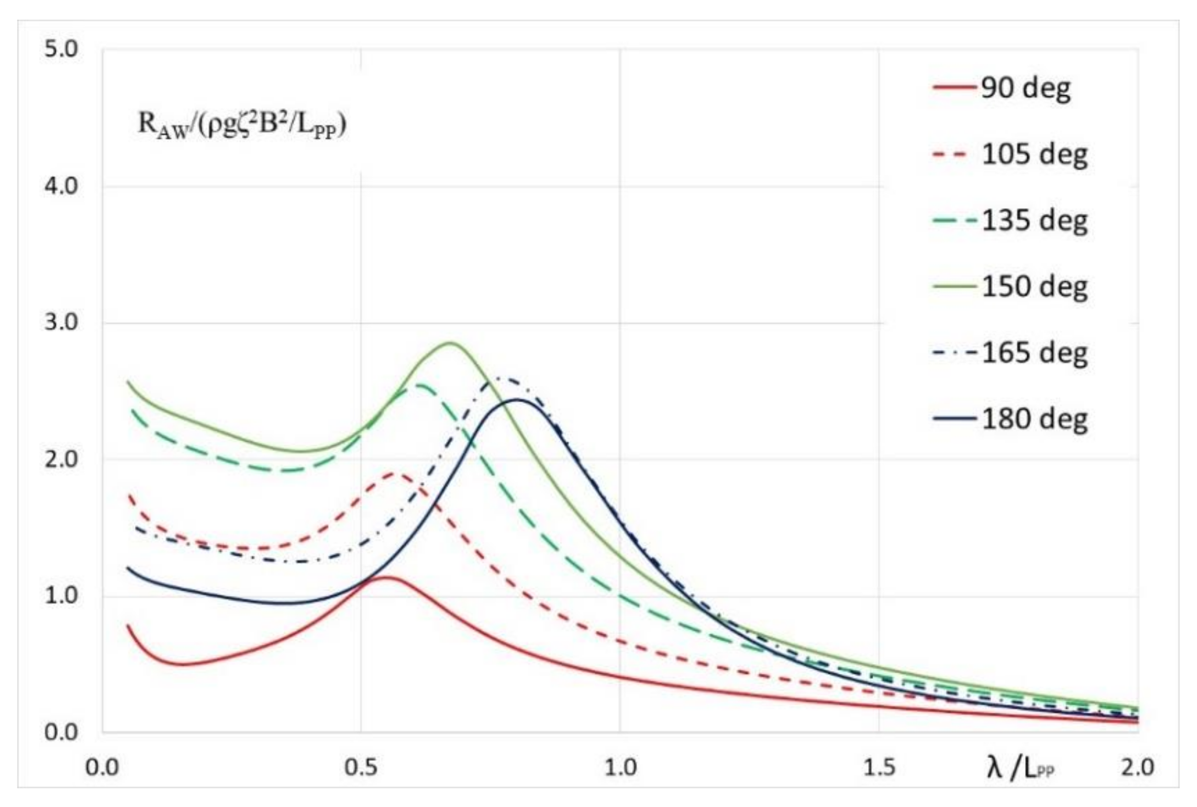
- A ship’s hull form at the ends is important in the calculation of the added resistance in short waves and it may be effectively considered in empirical formulas through the use of lengths of entrance and run. For the added resistance in long waves, main dimensional ratios are more important.
- Higher resistance leads to higher thrust, which can be supplied by the propeller at a lower advance coefficient J, where lower propeller efficiency is observed.
- For the studied VLCC, the employed empirical method proves not conservative in comparison to available model experiments, while the maximum wave added resistances evaluated by methods M-3a and M-4a are close.
- As demonstrated in the case study, propeller design with larger light running margin is an effective way to improve the propulsive performance of a ship in adverse conditions.
Author Contributions
Funding
Informed Consent Statement
Conflicts of Interest
References
- IMO. EE-WG 1/1/1, Annotations to the Provisional Agenda. 2010. Available online: https://docs.imo.org/ (accessed on 15 August 2021).
- IMO. MEPC 61/5/32, Consideration of the Energy Efficiency Design Index for New Ships—Minimum Installed Power to Maintain Safe Navigation in Adverse Conditions. 2010. Available online: https://docs.imo.org/ (accessed on 15 August 2021).
- IMO. Interim Guidelines for Determining Minimum Propulsion Power to Maintain the Maneuverability in Adverse Conditions London, International Maritime Organization. Resolution MEPC 232(65). 2013. Available online: https://wwwcdn.imo.org/localresources/en/KnowledgeCentre/IndexofIMOResolutions/MEPCDocuments/MEPC.232(65).pdf (accessed on 15 August 2021).
- Shigunov, V. Manoeuvrability in adverse conditions: Rational criteria and standards. J. Mar. Sci. Technol. 2018, 23, 958–976. [Google Scholar] [CrossRef] [Green Version]
- Shigunov, V.; Guo, B.; Reddy, D.N.; Lalovic, I. Manoeuvrability in adverse conditions: Case studies. Ocean. Eng. 2019, 179, 371–386. [Google Scholar] [CrossRef]
- Yasukawa, H.; Hirata, N.; Matsumoto, A.; Kuroiwa, R.; Mizokami, S. Evaluations of wave-induced steady forces and turning motion of a full hull ship in waves. J. Mar. Sci. Technol. 2019, 24, 1–15. [Google Scholar] [CrossRef]
- Gerhardt, F.C.; Kjellberg, M.; Korkmaz, B.; Ljungqvist, K.; Shiri, A. Determining the EEDI “Minimum Propulsion Power”. In Influence of EEDI on Ship Design & Operation; Royal Institution of Naval Architects: London, UK, 2020; pp. 1–15. [Google Scholar]
- Liu, S.; Papanikolaou, A.; Bezunartea-Barrio, A.; Shang, B.G.; Sreedharan, M. On the Effect of Biofouling on the Minimum Propulsion Power of Ships for Safe Navigation in Realistic Conditions. J. Biofouling 2021, 37, 194–205. [Google Scholar] [CrossRef] [PubMed]
- IMO. MEPC 69/INF.23, Progress Report of SHOPERA and JASNAOE Projects for Development of the Revised Minimum Propulsion Power Guidelines. 2016. Available online: https://docs.imo.org/ (accessed on 15 August 2021).
- IMO. MEPC 70/INF.30, Supplementary Information on the Draft Revised Guidelines for Determining Minimum Propulsion Power to Maintain the Maneuverability of Ships in Adverse Conditions. 2016. Available online: https://docs.imo.org/ (accessed on 15 August 2021).
- IMO. MEPC 71/INF.28, Draft Revised Guidelines for Determining Minimum Propulsion Power to Maintain the Maneuverability of Ships in Adverse Conditions. 2017. Available online: https://docs.imo.org/ (accessed on 15 August 2021).
- IMO. (Resolution MEPC.1/Circ.850/Rev.2). 2017. Available online: https://docs.imo.org/ (accessed on 15 August 2021).
- IMO. MEPC 76/5/1, Report of the Correspondence Group on Air Pollution and Energy Efficiency. 2021. Available online: https://docs.imo.org/ (accessed on 15 August 2021).
- IMO. MEPC 75/6/3, Finalization of the Revised 2013 Interim Guidelines for Determining Minimum Propulsion Power to Maintain the Maneuverability of Ships in Adverse Conditions. 2019. Available online: https://docs.imo.org/ (accessed on 15 August 2021).
- IMO. Guidelines for Determining Minimum Propulsion Power to Maintain the Manoeuvrability of Ships in Adverse Conditions; MEPC.1/Circ.850/Rev.3; International Maritime Organization: London, UK, 2021. [Google Scholar]
- Liu, S.; Papanikolaou, A. Regression analysis of experimental data for added resistance in waves of arbitrary heading and development of a semi-empirical formula. Ocean. Eng. 2020, 206, 107357. [Google Scholar] [CrossRef]
- Minsaas, K.; Faltinsen, O.M.; Persson, B. On the Importance of Added Resistance, Propeller Immersion and Propeller Ventilation for Large Ships in a Seaway, PRADS’83—The 2nd Int Symp. on practical Design in Shipbuilding, Tokyo and Seoul. 1983. Available online: https://trid.trb.org/view/418624 (accessed on 15 August 2021).
- Liu, S.; Papanikolaou, A. On the Prediction of Added Resistance of Large Ships in Representative Seaways. Ships Offshore Struct. 2017, 12, 690–696. [Google Scholar] [CrossRef]
- Liu, S.; Shang, B.; Papanikolaou, A. On the resistance and speed loss of full type ships in a seaway. Ship Technol. Res. 2019, 66, 161–179. [Google Scholar] [CrossRef]
- International Towing Tank Conference. Recommended Procedures and Guidelines Prediction of Power Increase in Irregular Waves from Model Test. 7.5-02-07-02.2, Effective Date 2014. Revision 05. 2014. Available online: https://www.ittc.info/downloads/archive-of-recommended-procedures/ (accessed on 15 August 2021).
- International Towing Tank Conference. Recommended Procedures and Guidelines Resistance Test. 7.5-02-02-01, Effective Date 2011. Revision 03. 2011. Available online: https://www.ittc.info/downloads/archive-of-recommended-procedures/ (accessed on 15 August 2021).
- International Towing Tank Conference. Recommended Procedures and Guidelines Seakeeping Experiments. 7.5-02-07-02.1, Effective Date 2014. Revision 04. 2014. Available online: https://www.ittc.info/downloads/archive-of-recommended-procedures/ (accessed on 15 August 2021).
- Liu, S.; Sprenger, F.; Papanikolaou, A.; Dafermos, G.; Zaraphonitis, G. Experimental and Numerical Studies on Linear and Nonlinear Seakeeping Phenomena of the DTC Ship in Regular Waves. Ship Technol. Res. 2020, 68, 41–61. [Google Scholar] [CrossRef]
- Papanikolaou, A.; Liu, S. On the Uncertainties in the Estimation of the Added Resistance of Ships in Waves in View of Practical Applications. In Proceedings of the 5th Joint ISSC-ITTC International Workshop on Uncertainty Modelling in Wave Description and Wave Induced Responses, Virtual, 1–3 June 2021. [Google Scholar]
- De Jong, P.; Sharnke, J.; Drummen, I.; van Essen, S. Variability of Waves Generated in a Basin and Their Effect on Ship Responses. In Proceedings of the 5th Joint ISSC-ITTC International Workshop on Uncertainty Modelling in Wave Description and Wave Induced Responses, Virtual, 1–3 June 2021. [Google Scholar]
- MAN Diesel & Turbo. Basic Principles of Ship Propulsion, Copenhagen. 2011. Available online: https://www.man-es.com/docs/default-source/marine/tools/basic-principles-of-ship-propulsion_web_links.pdf?sfvrsn=12d1b862_10 (accessed on 15 August 2021).








| Ship Length Lpp, m | Significant Wave Height hs, m | Peak Wave Period TP, s | Mean Wind Speed Vw, m/s |
|---|---|---|---|
| Less than 200 | 4.5 | 7.0 to 15.0 | 19.0 |
| 200 ≤ Lpp ≤ 250 | Parameters linearly interpolated depending on ship’s length | ||
| More than 250 | 6.0 | 7.0 to 15.0 | 22.6 |
| METHOD | COMMENTS | |||
|---|---|---|---|---|
| 1 | Empirical Expression (Article 15.1) | Simple to Calculate | ||
| 2 | Spectral Method | Maxima of mean value in Short-crested bow waves head to 30o off-bow (Article 16) | RAO from recommended formula (a) | RAOs in regular waves of all directions (not possible in towing tank) |
| RAO from tank tests (b) | ||||
| 3 | Maxima of mean value in Short-crested head waves(Article 17) | RAO from recommended formula (a) | RAO in regular waves of all directions (not possible in towing tank) | |
| RAO from tank tests (b) | ||||
| 4 | 1.3 × maximum mean value in long-crested head waves (Article 18) | RAO from recommended formula (a) | RAOs in regular head waves (can be done in towing tank) | |
| RAO from tank tests (b) | ||||
| 37.0 | 394.3 | 866.9 (M-1) | 43.1 | 1341.3 | 1490.3 |
| 37.0 | 394.3 | 959.9 (M-3a) | 46.2 | 1437.4 | 1597.1 |
| 37.0 | 394.3 | 1008.4 (M-4a) | 47.8 | 1487.5 | 1652.8 |
| Method | n | |||||
|---|---|---|---|---|---|---|
| M-1 | 1490.3 | 16.9 | 0.1237 | 40.0 | 0.29181 | 7614.3 |
| M3-a | 1597.1 | 18.1 | 0.1193 | 41.5 | 0.29306 | 8524.6 |
| M4-a | 1652.8 | 18.8 | 0.1171 | 42.3 | 0.29368 | 9033.3 |
| Method | n | |||||
|---|---|---|---|---|---|---|
| M-1 | 1490.3 | 16.9 | 0.1335 | 37.1 | 0.34475 | 7156.5 |
| M3-a | 1597.1 | 18.1 | 0.1286 | 38.5 | 0.34611 | 8037.6 |
| M4-a | 1652.8 | 18.8 | 0.1258 | 39.4 | 0.34679 | 8603.2 |
Publisher’s Note: MDPI stays neutral with regard to jurisdictional claims in published maps and institutional affiliations. |
© 2021 by the authors. Licensee MDPI, Basel, Switzerland. This article is an open access article distributed under the terms and conditions of the Creative Commons Attribution (CC BY) license (https://creativecommons.org/licenses/by/4.0/).
Share and Cite
Feng, P.; Liu, S.; Shang, B.; Papanikolaou, A. Minimum Propulsion Power Assessment of a VLCC to Maintain the Maneuverability in Adverse Conditions. J. Mar. Sci. Eng. 2021, 9, 1287. https://doi.org/10.3390/jmse9111287
Feng P, Liu S, Shang B, Papanikolaou A. Minimum Propulsion Power Assessment of a VLCC to Maintain the Maneuverability in Adverse Conditions. Journal of Marine Science and Engineering. 2021; 9(11):1287. https://doi.org/10.3390/jmse9111287
Chicago/Turabian StyleFeng, Peiyuan, Shukui Liu, Baoguo Shang, and Apostolos Papanikolaou. 2021. "Minimum Propulsion Power Assessment of a VLCC to Maintain the Maneuverability in Adverse Conditions" Journal of Marine Science and Engineering 9, no. 11: 1287. https://doi.org/10.3390/jmse9111287
APA StyleFeng, P., Liu, S., Shang, B., & Papanikolaou, A. (2021). Minimum Propulsion Power Assessment of a VLCC to Maintain the Maneuverability in Adverse Conditions. Journal of Marine Science and Engineering, 9(11), 1287. https://doi.org/10.3390/jmse9111287

