Fate of Particulate Matter Associated with Produced Water Discharge by Offshore Platforms in the Adriatic Sea (Mediterranean Sea)
Abstract
1. Introduction
2. Materials and Methods
2.1. Study Area
2.2. Model Settings and Input Data
3. Simulated Scenarios and In Situ Data
3.1. Discharge Simulation Scenarios
3.2. PW Sampling
3.3. Total Suspended Solids (TSS)
3.4. Granulometric Analysis
4. Results and Discussion
4.1. PW Analysis
4.2. Hydrodynamic Conditions
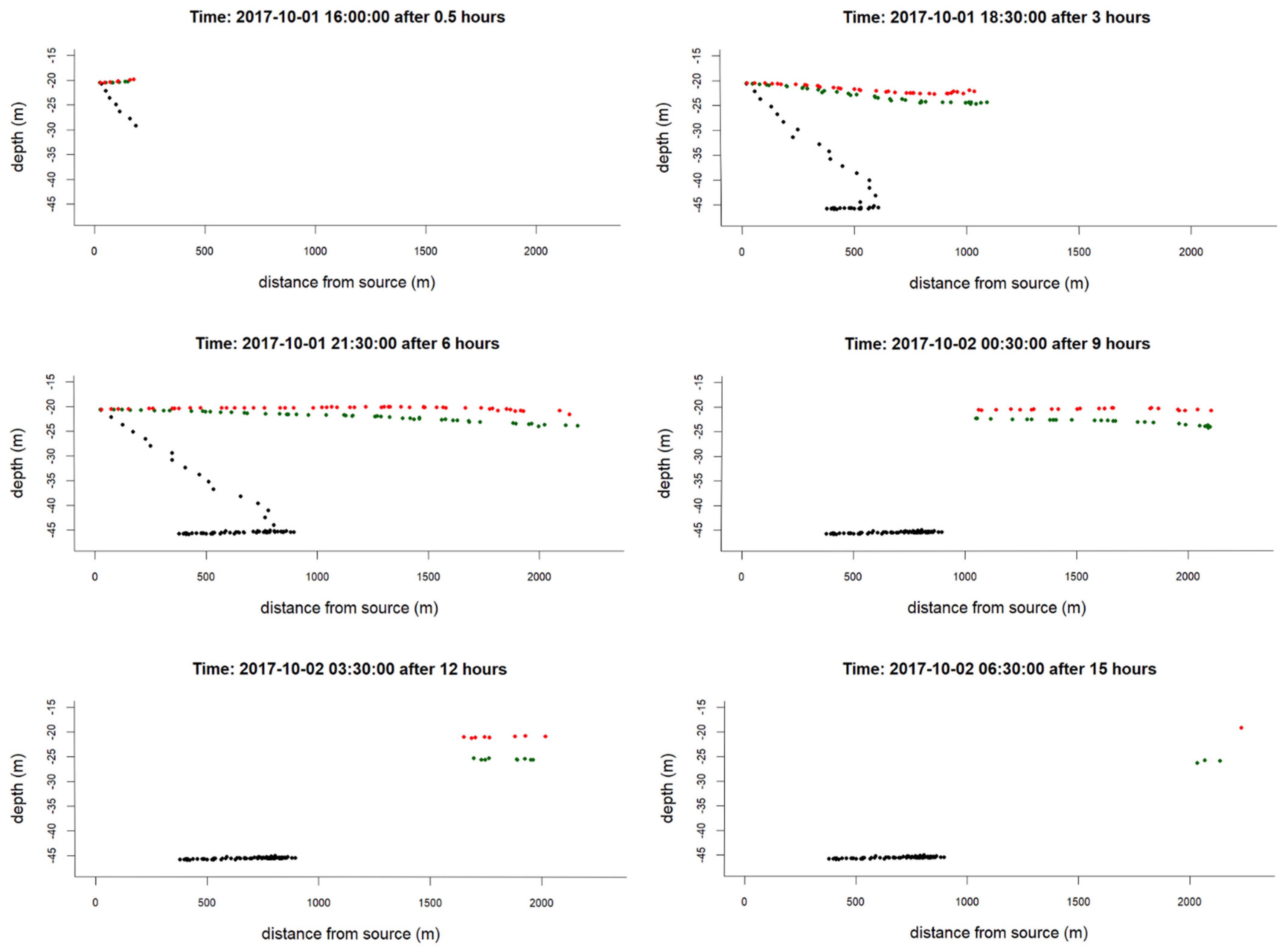
4.3. Transport and Fate of PW Particulate Matter Discharged
5. Conclusions
Author Contributions
Funding
Institutional Review Board Statement
Informed Consent Statement
Data Availability Statement
Acknowledgments
Conflicts of Interest
References
- EIA. Gulf of Mexico Fact Sheet. U.S. Energy Information Administration. 2020. Available online: http://www.eia.gov/special/gulf_of_mexico/ (accessed on 1 September 2020).
 - WOR. Oil and Gas from the sea. In World Ocean Review: Marine Resources—Opportunities and Risks; Maribus: Hamburg, Germany, 2014; pp. 8–51. Available online: http://worldoceanreview.com/en/wor-3-overview/oil-and-gas/ (accessed on 1 September 2020).
 - Neff, J.M.; Lee, K.; DeBlois, E.M. Produced Water: Overview of Composition, Fates, and Effects. In Produced Water; Springer: New York, NY, USA, 2011; pp. 3–54. [Google Scholar] [CrossRef]
 - OSPAR Commission. Discharges, Spills and Emissions from Offshore Oil and Gas Installations in 2017. In Offshore Oil & Gas Industry Series; Publication Number: 740/2019; OSPAR Commission: Sintra, Portugal, 2019; p. 66. [Google Scholar]
 - Di Mento, R.; Amici, M.; Berducci; Calcagni, L.; Lanera, P.; Maggi, C.; Mannozzi, M.; Lauria, A.; Oteri, F. Technical Reports on the Italian Monitoring Program to Assess the Impact on the Marine Environment from the PW Discharges in the Sea from Offshore Platforms; ISPRA: Rome, Italy, 2009–2017. [Google Scholar]
 - Tornambè, A.; Manfra, L.; Di Mento, R.; Moltedo, G.; Catalano, B.; Martuccio, G.; Sebbio, C.; Chiaretti, G.; Faraponova, O.; Amici, M.; et al. Application of a ‘weight-of-evidence’ model for assessing sediment quality and associated hazard with offshore gas platforms discharging produced water. In Proceedings of the SETAC Europe 28th Annual Meeting, Rome, Italy, 13–17 May 2018. [Google Scholar]
 - Manfra, L.; Maggi, C.; d’Errico, G.; Rotini, A.; Catalano, B.; Maltese, S.; Moltedo, G.; Romanelli, G.; Sesta, G.; Granato, G.; et al. A Weight of Evidence (WOE) Approach to Assess Environmental Hazard of Marine Sediments from Adriatic Offshore Platform Area. Water 2021, 13, 1691. [Google Scholar] [CrossRef]
 - Bakke, T.; Klungsøyr, J.; Sanni, S. Environmental impacts of produced water and drilling waste discharges from the Norwegian offshore petroleum industry. Mar. Environ. Res. 2013, 92, 154–169. [Google Scholar] [CrossRef] [PubMed]
 - Beyer, J.; Anders, G.; Dag, H.; Jarle, K. Environmental effects of offshore produced water discharges: A review focused on the Norwegian continental shelf. Mar. Environ. Res. 2020, 162, 105155. [Google Scholar] [CrossRef] [PubMed]
 - Cianelli, D.; Manfra, L.; Zambianchi, E.; Maggi, C.; Cappiello, A.; Famiglini, G.; Mannozzi, M.; Cicero, A.M. Near-field dispersion of produced formation water (PFW) in the Adriatic Sea: An integrated numerical–chemical approach. Mar. Environ. Res. 2008, 65, 325–337. [Google Scholar] [CrossRef][Green Version]
 - Durell, G.; Utvik, T.R.; Johnsen, S.; Frost, T.; Neff, J. Oil well produced water discharges to the North Sea. Part I: Comparison of deployed mussels (Mytilus edulis), semi-permeable membrane devices, and the DREAM model predictions to estimate the dispersion of polycyclic aromatic hydrocarbons. Mar. Environ. Res. 2006, 62, 194–223. [Google Scholar] [CrossRef]
 - Frick, W.E.; Roberts, P.J.W.; Davis, L.R.; Keyes, J.; Baumgartner, D.J.; George, K.P. Dilution Models for Effluent Discharges, 4th ed.; Visual Plumes; EPA/600/R-03/025; Ecosystems Research Division, NERL, U.S. EPA: Athens, GA, USA, 2002. [Google Scholar]
 - Manfra, L.; Cianelli, D.; Di Mento, R.; Zambianchi, E. Numerical-ecotoxicological approach to assess potential risk associated with oilfield production chemicals discharged into the sea. Environ. Sci. Pollut. Res. 2018, 25, 18213–18219. [Google Scholar] [CrossRef]
 - Neff, J.M. Bioaccumulation in marine organisms. In Effects of Contaminants from Oil Well Produced Water; Elsevier: Amsterdam, The Netherlands, 2002; pp. 1–452. [Google Scholar]
 - Niu, H.; Lee, K.; Husain, T.; Veitch, B.; Bose, N. A coupled model for simulating the dispersion of produced water in the marine environment. In Produced Water; Springer: New York, NY, USA, 2011; pp. 235–247. [Google Scholar] [CrossRef]
 - Rye, H.; Reed, M.; Durgut, I.; Ditlevsen, M.K. ERMS Report No. 18: Documentation Report for the Revised DREAM Model; Report No. STF80MK F06224; SINTEF: Trondheim, Norway, 2006. [Google Scholar]
 - Rye, H.; Johansen, O.; Durgut, I.; Reed, M.; Ditlevsen, M.K. ERMS Report No. 21: Restitution of an Impacted Sediment; Report No. STF80MK A06226; SINTEF: Trondheim, Norway, 2006. [Google Scholar]
 - Sabeur, Z.A.; Tyler, A.O. Validation and application of the PROTEUS model for the physical dispersion, geochemistry and biological impacts of produced waters. Environ. Modell. Softw. 2004, 19, 717–726. [Google Scholar] [CrossRef]
 - Rye, H.; Reed, M.; Ekrol, N. Sensitivity analysis and simulation of dispersed oil concentrations in the North Sea with the PROVANN model. Environ. Modell. Softw. 1998, 13, 421–429. [Google Scholar] [CrossRef]
 - Neff, J.M.; Johnsen, S.; Frost, T.K.; Utvik, T.I.R.; Durell, G.S. Oil well produced water discharges to the North Sea. Part II: Comparison of deployed mussels (Mytilus edulis) and the DREAM model to predict ecological risk. Mar. Environ. Res. 2006, 62, 224–246. [Google Scholar] [CrossRef]
 - Reed, M.; Rye, H. The DREAM Model and the Environmental Impact Factor: Decision Support for Environmental Risk Management. In Produced Water; Springer: New York, NY, USA, 2011; pp. 198–203. [Google Scholar] [CrossRef]
 - Stagg, R.; Gore, D.J.; Whale, G.F.; Kirby, M.F.; Blackburn, M.; Bifield, S.; McIntosh, A.D.; Vance, I.; Flynn, S.A.; Foster, A. Produced Water 2: Environmental Issues and Mitigation Technologies; Reed, M., Johnsen, S., Eds.; Plenum Press: New York, NY, USA, 1996; pp. 81–100. [Google Scholar]
 - Brandsma, M.G.; Smith, J.P. Dispersion Modeling Perspectives on the Environmental Fate of Produced Water Discharges. In Produced Water 2; Environmental Science, Research; Reed, M., Johnsen, S., Eds.; Springer: Boston, MA, USA, 1996; Volume 52. [Google Scholar] [CrossRef]
 - Cianelli, D.; Manfra, L.; Di Mento, R.; Cicero, A.M.; Zambianchi, E. Disposal of Produced Formation Water from offshore gas platforms in the Mediterranean Sea: A parametric study on discharge conditions aimed at mitigating risks for the marine environment. In Mediterranean Sea: Ecosystems, Economic Importance and Environmental Threats; Hughes, T.B., Ed.; Nova Science Publishers: Hauppauge, NY, USA, 2013; pp. 65–90, Chapter 3. [Google Scholar]
 - Frick, W.E. Visual Plumes mixing zone modeling software. Environ. Model. Softw. 2004, 19, 645–654. [Google Scholar] [CrossRef]
 - Roberts, P.J.W.; Tian, X. New experimental techniques for validation of marine discharge models. Environ. Model. Softw. 2004, 19, 691–699. [Google Scholar] [CrossRef]
 - Johansen, Ø.; Durgut, I. ERMS Report No. 23: Implementation of the Near-Field Module in the ERMS Model; SINTEF Report, No. STF80MK A06204; SINTEF: Trondheim, Norway, 2006. [Google Scholar]
 - Reed, M.; Hetland, B. DREAM: A dose-related exposure assessment model technical description of physical-chemical fates components. In Proceedings of the SPE International Conference on Health, Safety and Environment in Oil and Gas Exploration and Production, Society of Petroleum Engineers, Kuala Lumpur, Malaysia, 20–22 March 2002; p. 73856. [Google Scholar]
 - Zhao, L.; Chen, Z.; Lee, K. Modelling the dispersion of wastewater discharges from offshore outfalls: A review. Environ. Rev. 2011, 19, 107–120. [Google Scholar] [CrossRef]
 - Russo, A.; Artegiani, A. Adriatic Sea hydrography. Sci. Mar. 1996, 60 (Suppl. 2), 33–43. [Google Scholar]
 - Cushman-Roisin, B.; Gacic, M.; Poulain, P.M.; Artegiani, A. (Eds.) Physical Oceanography of the Adriatic Sea: Past, Present and Future; Springer-Science Business Media: Dordrecht, The Netherlands, 2013. [Google Scholar] [CrossRef]
 - DHI. MIKE 21 & MIKE 3 Flow Model FM, Hydrodynamic and Transport Module—Scientific Documentation; DHI: Hørsholm, Denmark, 2020. [Google Scholar]
 - DHI. MIKE 21 & MIKE 3 Flow Model FM, Particle Tracking Module—Scientific Documentation; DHI: Hørsholm, Denmark, 2020. [Google Scholar]
 - Erichsen, A.C.; Konovalenko, L.; Møhlenberg, F.; Closter, R.M.; Bradshaw, C.; Aquilonius, K.; Kautsky, U. Radionuclide Transport and Uptake in Coastal Aquatic Ecosystems: A Comparison of a 3D Dynamics Model and a Compartment Model. Ambio 2013, 42, 464–475. [Google Scholar] [CrossRef] [PubMed]
 - Noya, Y.A.; Kalay, D.E.; Purba, M.; Koropitan, A.F.; Prartono, T. Modelling baroclinic circulation and particle tracking in Inner Ambon Bay. IOP Conf. Ser. Earth Environ. Sci. 2019, 339, 012021. [Google Scholar] [CrossRef]
 - Socolofsky, S.A.; Adams, E.E.; Boufadel, M.C.; Aman, Z.M.; Johansen, Ø.; Konkel, W.J.; Lindo, D.; Madsen, M.N.; North, W.W.; Paris, C.B.; et al. Intercomparison of oil spill prediction models for accidental blowout scenarios with and without subsea chemical dispersant injection. Mar. Pollut. Bull. 2015, 96, 110–126. [Google Scholar] [CrossRef] [PubMed]
 - Wu, J. Wind Stress Coefficients over sea surface and near neutral conditions—A revisit. J. Phys. Oceanogr. 1980, 10, 727–740. [Google Scholar] [CrossRef]
 - Wu, J. The sea surface is aerodynamically rough even under light winds. Bound.-Layer Meteorol. 1994, 69, 149–158. [Google Scholar] [CrossRef]
 - Aupoix, B. Eddy Viscosity Subgrid Scale Models for Homogeneous Turbulence. Macroscopic Modelling of Turbulent Flows, Lecture Notes in Physics. In Proceedings of the Workshop Held at INRIA, Sophia-Antipolis, France, 10–14 December 1984; Springer: Berlin/Heidelberg, Germany, 1985; pp. 45–64. [Google Scholar]
 - Horiuti, K. Comparison of conservative and rotational forms in large eddy simulation of turbulent channel flow. J. Comput. Phys. 1987, 71, 343–370. [Google Scholar] [CrossRef]
 - Leonard, A. Energy cascades in Carge-Eddy simulations of turbulent fluid flows. Adv. Geophys. 1974, 18, 237–247. [Google Scholar]
 - Lilly, D.K. On the application of the eddy viscosity concept in the inertial subrange of turbulence. Natl. Cent. Atmos. Res. Boulder Colo. Manuscr. 1966, 123. [Google Scholar] [CrossRef]
 - Rodi, W. Turbulence Models and Their Application in Hydraulics—A State of the Art Review; IAHR Publication: Delft, The Netherlands, 1980; pp. 1–115. [Google Scholar]
 - Rodi, W. Turbulence Models and Their Applications in Hydraulics, 3rd ed.; Routledge: London, UK, 2000. [Google Scholar] [CrossRef]
 - Flather, R.A. A tidal model of the northwest European continental shelf. Mem. Soc. R. Sci. Liege 1976, 10, 141–164. [Google Scholar]
 - Oddo, P.; Pinardi, N. Lateral open boundary conditions for nested limited area models: A scale selective approach. Ocean Model. 2008, 20, 134–156. [Google Scholar] [CrossRef]
 - Guarnieri, A.; Oddo, P.; Bertoluzzi, G.; Pastore, M.; Pinardi, N.; Ravaioli, M. The adriatic basin forecasting system: New model and system development. In Coastal to Global Operational Oceanography: Achievements and Challenges, Proceedings of the 5th International Conference on EuroGOOS, Exeter, UK, 20–22 May 2008; EuroGOOS AISBL: Brussels, Belgium, 2008; pp. 184–190. Available online: http://hdl.handle.net/2122/4782 (accessed on 1 September 2020).
 - Oddo, P.; Pinardi, N.; Zavatarelli, M.; Coluccelli, A. The Adriatic Basin forecasting system. Acta Adriat. 2006, 47, 169–184. Available online: https://hrcak.srce.hr/8550 (accessed on 1 September 2020).
 - Bolanos, R.; Tornfeldt Sørensen, J.V.; Benetazzo, A.; Carniel, S.; Sclavo, M. Modelling ocean currents in the Northern Adriatic Sea. Cont. Shelf Res. 2014, 87, 54–72. [Google Scholar] [CrossRef]
 - Saha, S.; Moorthi, S.; Pan, H.L.; Wu, X.; Wang, J.; Nadiga, S.; Goldberg, M. The NCEP Climate Forecast System Reanalysis. Bull. Am. Meteorol. Soc. 2010, 91, 1015–1057. [Google Scholar] [CrossRef]
 - Azetsu-Scott, K.; Yeats, P.; Wohlgeschaffen, G.; Dalziel, J.; Niven, S.; Lee, K. Precipitation of heavy metals in produced water: Influence on contaminant transport and toxicity. Mar. Environ. Res. 2007, 63, 146–167. [Google Scholar] [CrossRef]
 - Baumard, P.; Budzinski, H.; Garrigues, P. Polycyclic aromatic hydrocarbons in sediments and mussels of the western Mediterranean Sea. Environ. Toxicol. Chem. 1998, 17, 765–776. [Google Scholar] [CrossRef]
 - Tehrani, G.M.; Hashim, R.; Sulaiman, A.H.; Sany, B.T.; Salleh, A.; Jazani, R.K.; Savari, A.; Barandoust, R.F. Distribution of total petroleum hydrocarbons and polycyclic aromatic hydrocarbons in Musa Bay sediments (Northwest of the Persian Gulf). Environ. Prot. Eng. 2013, 39, 115–128. [Google Scholar] [CrossRef]
 - ISO. 13320: 2009. Particle size analysis—Laser diffraction methods. In ISO Standards Authority; ISO: London, UK, 2009. [Google Scholar]
 - Jones, R.M. Particle size analysis by laser diffraction: ISO 13320, standard operating procedures, and Mie theory. Am. Lab. 2003, 35, 44–47. [Google Scholar]
 - Ursella, L.; Gacic, M. Use of the Acoustic Doppler Current Profiler (ADCP) in the study of the circulation of the Adriatic Sea. Ann. Geophys. 2001, 19. [Google Scholar] [CrossRef][Green Version]
 - Clark, C.; Veil, J. Produced Water Volumes and Management Practices in the United States; Technical Report AN/EVS/R-09/1; Argonne National Laboratory, Environmental Science Division: Lemont, IL, USA, 2009; pp. 1–60. [Google Scholar] [CrossRef]
 - Henderson, S.B.; Grigson, S.J.W.; Johnson, P.; Roddie, B.D. Potential impact of production chemicals on toxicity of produced water discharge in North Sea oil platforms. Mar. Pollut. Bull. 1999, 38, 1141–1151. [Google Scholar] [CrossRef]
 - Boldrin, A.; Langone, L.; Miserocchi, S.; Turchetto, M.; Acri, F. Po River plume on the Adriatic continental shelf: Dispersion and sedimentation of dissolved and suspended matter during different river discharge rates. Mar. Geol. 2005, 222, 135–158. [Google Scholar] [CrossRef]
 - Martini, A.; Capello, M.; Ferrari, M.; Carniel, P. Alcune considerazioni sulle caratteristiche del materiale sospeso nelle acque del nord-adriatico. Assoc. Ital. Oceanol. Limnol. AIOL Proc. 2000, 13, 43–54. [Google Scholar]
 - Franco, P.; Rabitti, S.; Boldrin, A. Distribuzione del particellato ed idrologia nell’Adriatico settentrionale. In Proceedings of the Atti VII Congresso AIOL, Trieste, Italy, 11–14 June 1986; pp. 283–294. [Google Scholar]
 - Gismondi, M.; Giani, M.; Savelli, F.; Boldrin, A.; Rabitti, S. Particulate organic matter in the Northern and Central Adriatic. Chem. Ecol. 2002, 18, 27–38. [Google Scholar] [CrossRef]
 - Marchetti, R. Ecologia Applicata; Città Studi: Milano, Italy, 2000. [Google Scholar]
 - Herut, B.; Sandler, A. Normalization Methods for Pollutants in Marine Sediments: Review and Recommendations for the Mediterranean; Report H 18; Israel Oceanographic & Limnological Research: Haifa, Israel, 2006; pp. 1–23. [Google Scholar]
 - Szava-Kovats, R.C. Grain-size normalization as a tool to assess contamination in marine sediments: Is the <63 μm fraction fine enough? Mar. Pollut. Bull. 2008, 56, 629–632. [Google Scholar] [CrossRef] [PubMed]
 - Ujević, I.; Odžak, N.; Barić, A. Trace metal accumulation in different grain size fractions of the sediments from a semi-enclosed bay heavily contaminated by urban and industrial wastewaters. Water Res. 2000, 34, 3055–3061. [Google Scholar] [CrossRef]
 - Frignani, M.; Langone, L.; Ravaioli, M.; Sorgente, D.; Alvisi, F.; Albertazzi, S. Fine-sediment mass balance in the western Adriatic continental shelf over a century time scale. Mar. Geol. 2005, 222, 113–133. [Google Scholar] [CrossRef]
 - Giani, M.; Gismondi, M.; Savelli, F.; Boldrin, A.; Rabitti, S. Carbonio organico, azoto e fosforo particellati nell’adriatico settentrionale: Distribuzione verticale e variabilità’ temporale. Atti Assoc. Ital. Oceanol. Limnol. 2000, 13, 55–65. [Google Scholar]
 - Harris, C.K.; Sherwood, C.R.; Signell, R.P.; Bever, A.J.; Warner, J.C. Sediment dispersal in the northwestern Adriatic Sea. J. Geophys. Res. Oceans 2008, 113, 1–18. [Google Scholar] [CrossRef]
 - Bolboaca, S.D.; Jäntschi, L. Pearson versus Spearman, Kendall’s tau correlation analysis on structure-activity relationships of biologic active compounds. Leonardo J. Sci. 2006, 5, 179–200. [Google Scholar]
 



















| Temperature (°C)  | Salinity (PSU)  | PW Discharge Depth (m)  | Water Column Depth m  | PW Discharge Volume 2017 * m3/y  | |
|---|---|---|---|---|---|
| Plt A | 22 | 33.5 | 10 | 44 | 6745 | 
| Plt B | 22 | 32.5 | 20 | 47 | 64,526 | 
| Plt A | Plt B | |||||
|---|---|---|---|---|---|---|
| Diameter (µm)  | Settling Velocity * (m/s)  | PW Flow Rate (m3/s)  | Mass Discharge (mg/s)  | PW Flow Rate (m3/s)  | Mass Discharge (mg/s)  | |
| Sand | >63 ≤175 | 5 × 10−3 | 2.12 | 57.70 | ||
| Silt | >4.3 ≤63 | 2.5 × 10−4 | 33.10 | 74.11 | ||
| Clay | ≤4.3 | 10−5 | 12.48 | 13.48 | ||
| Total | 7.5 × 10−4 | 47.70 | 7.076 × 10−3 | 145.29 | ||
| Parameter | ΣPAHs—16 EPA Congeners (ng/g dw) | TPH (mg/kg dw) | ||||||
|---|---|---|---|---|---|---|---|---|
| Platform | Plt A | Plt B | Plt A | Plt B | ||||
| Distance from Platform | 0–50 m | 500 m | 0–50 m | 500 m | 0–50 m | 500 m | 0–50 m | 500 m | 
| Min | 18 | 43 | 31 | 23 | 14 | 9 | 5 | 3 | 
| Max | 10,832 | 447 | 263 | 394 | 32,307 | 220 | 93 | 48 | 
| Mean | 1097 | 186 | 107 | 170 | 1131 | 54 | 34 | 23 | 
| Median | 250 | 173 | 102 | 163 | 197 | 39 | 31 | 21 | 
| Total samples | 53 | 20 | 50 | 20 | 53 | 20 | 50 | 20 | 
| N. samples > ref. val.* | 9 | 0 | 0 | 0 | 26 | 1 | 0 | 0 | 
| Plt A | Plt B | ||||
|---|---|---|---|---|---|
| Diameter µm  | TSS %  | TSS mg/L  | TSS %  | TSS mg/L  | |
| Sand | >63 ≤175 | 4.45 | 2.831 | 39.71 | 8.16 | 
| Silt | >4.3 ≤63 | 69.39 | 44.139 | 51.01 | 10.49 | 
| Clay | ≤4.3 | 26.16 | 16.640 | 9.28 | 1.91 | 
| Total | 63.61 | 20.56 | |||
| Plt A | Plt B | ||
|---|---|---|---|
| Diameter (µm)  | TSS (kg)  | TSS (kg)  | |
| Sand | >63 ≤175 | 1.66 | 45.18 | 
| Silt | >4.3 ≤63 | 25.92 | 58.03 | 
| Clay | ≤4.3 | 9.77 | 10.56 | 
| Tot | 37.35 | 113.77 | 
| Plt A | Plt B | |||
|---|---|---|---|---|
| TSS Settled (kg)  | TSS Suspended (kg)  | TSS Settled (kg)  | TSS Suspended (kg)  | |
| Sand | 1.66 | 0 | 45.18 | 0 | 
| Silt | 4.52 | 21.40 | 11.67 | 46.36 | 
| Clay | 0 | 9.77 | 0 | 10.56 | 
| Tot TSS | 6.18 (16.5%) | 31.17 (83.5%) | 56.85 (49.9%) | 56.92 (50.1%) | 
| Mean Mass-Suspended (µg/L)  | Max Mass-Suspended (µg/L)  | Distance from Source (m)  | Depth (m)  | Depth Discharge (m)  | ||
|---|---|---|---|---|---|---|
| Plt A | Silt | 6.8 | 77 | 3 | −10.85 | −10 | 
| Clay | 2.6 | 30 | ||||
| Plt B | Silt | 18 | 191 | 23 | −20.32 | −20 | 
| Clay | 3.3 | 38 | 
| Plt A (from 6 October 2010 16:30 to 7 October 2010 03:30) | |||
|---|---|---|---|
| MIN Speed (m/s) | MAX Speed (m/s) | Principal Direction (deg) | |
| −10 m | 0.13 | 0.26 | S | 
| −30 m | 0.12 | 0.28 | S-SE | 
| Bottom | 0.05 | 0.19 | SE | 
| Plt B (from 1 October 2010 16:00 to 2 October 2010 06:30) | |||
| MIN Speed (m/s) | MAX Speed (m/s) | Principal Direction (deg) | |
| −20 m | 0.07 | 0.16 | S-SE | 
| −30 m | 0.04 | 0.18 | E-SE | 
| bottom | 0.04 | 0.10 | S-SE | 
Publisher’s Note: MDPI stays neutral with regard to jurisdictional claims in published maps and institutional affiliations.  | 
© 2021 by the authors. Licensee MDPI, Basel, Switzerland. This article is an open access article distributed under the terms and conditions of the Creative Commons Attribution (CC BY) license (https://creativecommons.org/licenses/by/4.0/).
Share and Cite
Di Mento, R.; Pedroncini, A.; Granato, G.; Lanera, P.; Di Lorenzo, B.; Venti, F.; Cianelli, D. Fate of Particulate Matter Associated with Produced Water Discharge by Offshore Platforms in the Adriatic Sea (Mediterranean Sea). J. Mar. Sci. Eng. 2021, 9, 1195. https://doi.org/10.3390/jmse9111195
Di Mento R, Pedroncini A, Granato G, Lanera P, Di Lorenzo B, Venti F, Cianelli D. Fate of Particulate Matter Associated with Produced Water Discharge by Offshore Platforms in the Adriatic Sea (Mediterranean Sea). Journal of Marine Science and Engineering. 2021; 9(11):1195. https://doi.org/10.3390/jmse9111195
Chicago/Turabian StyleDi Mento, Rossella, Andrea Pedroncini, Giuseppe Granato, Pasquale Lanera, Bianca Di Lorenzo, Francesco Venti, and Daniela Cianelli. 2021. "Fate of Particulate Matter Associated with Produced Water Discharge by Offshore Platforms in the Adriatic Sea (Mediterranean Sea)" Journal of Marine Science and Engineering 9, no. 11: 1195. https://doi.org/10.3390/jmse9111195
APA StyleDi Mento, R., Pedroncini, A., Granato, G., Lanera, P., Di Lorenzo, B., Venti, F., & Cianelli, D. (2021). Fate of Particulate Matter Associated with Produced Water Discharge by Offshore Platforms in the Adriatic Sea (Mediterranean Sea). Journal of Marine Science and Engineering, 9(11), 1195. https://doi.org/10.3390/jmse9111195
        
                                                
