Atmospheric Emissions in Ports Due to Maritime Traffic in Mexico
Abstract
:1. Introduction
2. Background
2.1. Port System in Mexico
2.2. Methods for Estimating Atmospheric Emissions
2.3. Determining Atmospheric Emissions in Port
3. Methodology
4. Results and Discussion
4.1. Arrival of the Vessels
4.2. Atmospheric Emissions from 2005 to 2020 at Pacific and Gulf-Caribbean
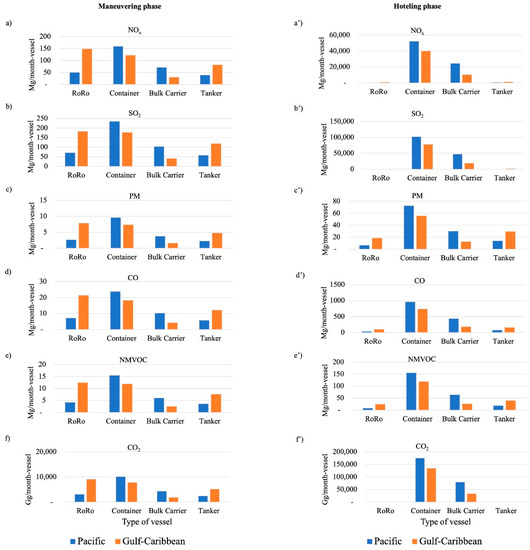
4.3. Distribution of Atmospheric Emissions at Pacific and Gulf-Caribbean Ports
5. Conclusions
6. Recommendations
7. Future Work
Author Contributions
Funding
Institutional Review Board Statement
Informed Consent Statement
Data Availability Statement
Acknowledgments
Conflicts of Interest
References
- Cofala, J.; Amann, M.; Heyes, C.; Wagner, F.; Klimont, Z.; Posch, M.; Schöpp, W.; Tarasson, L.; Jonson, J.E.; Whall, C.; et al. Analysis of Policy Measures to Reduce Ship Emissions in the Context of the Revision of the National Emissions Ceilings Directive; International Institute for Applied Systems Analysis, Norwegian Meteorological Institute and Entec UK Limited: Newcastle, UK, 2007; pp. 17–21. Available online: https://ec.europa.eu/environment/air/pdf/06107_final.pdf (accessed on 20 January 2020).
- UNCTAD. United Nations Conference on Trade and Development. Chapter 1: International Maritime Trade and Port Traffic. In Review of Maritime Transport; United Nations Publications: Geneva, Switzerland, 2019; pp. 1–23. Available online: https://unctad.org/webflyer/review-maritime-transport-2019 (accessed on 15 April 2019)ISBN 978-92-1-112958-8. ISSN 0566-7682.
- MARPOL 73/78. Marine Pollution 73/78. International Maritime Organization (OMI). International Convention for the Prevention of Pollution from Ships. Available online: https://www.imo.org/en/About/Conventions/Pages/International-Convention-for-the-Prevention-of-Pollution-from-Ships-(MARPOL).aspx (accessed on 10 August 2020).
- IMO. International Maritime Organization. Sulfur 2020 Implementation. IMO Issues Additional Guidance. Available online: http://www.imo.org/en/MediaCentre/PressBriefings/Pages/10-MEPC-74-sulphur-2020.aspx (accessed on 10 August 2020).
- IMO. International Maritime Organization. El Límite Mundial del Contenido de Azufre. Available online: https://www.imo.org/en/MediaCentre/HotTopics/Pages/Sulphur-2020.aspx (accessed on 10 August 2020).
- ENTEC. European Commission. Directorate General Environment. Service Contract on Ship Emissions: Quantification of Ship Emissions; Final Report; ENTEC UK Limited: Newcastle Upon Tyne, UK, 2002; pp. 3–23. Available online: https://ec.europa.eu/environment/air/pdf/chapter2_ship_emissions.pdf (accessed on 3 May 2020).
- ENTEC. European Commission. Directorate General Environment. Service Contract on Ship Emissions Inventory; Final Report; ENTEC UK Limited: Newcastle, UK, 2010; pp. 1–66. Available online: https://uk-air.defra.gov.uk/assets/documents/reports/cat15/1012131459_21897_Final_Report_291110.pdf (accessed on 3 May 2020).
- EMEP/EEA. European Monitoring and Evaluation Programme/European Environment Agency; Navigation (Shipping); EMEP/EEA: Copenhagen, Denmark, 2019; pp. 1–40. Available online: https://www.eea.europa.eu/publications/emep-eea-guidebook-2019/part-b-sectoral-guidance-chapters/1-energy/1-a-combustion/1-a-3-d-navigation/view (accessed on 3 May 2020).
- SCT. Secretaría de Comunicaciones y Transportes, México. Informe Estadístico de los Puertos. 2020. Available online: http://www.sct.gob.mx/index.php?id=198 (accessed on 27 March 2020).
- Fuentes, G.G.; Baldasano, R.J.M.; Sosa, E.R.; Granados, H.E.; Zamora, V.E.; Antonio, D.R.E.; Kahl, W.J.D. Estimation of atmospheric emissions from maritime activity in the Veracruz port, Mexico. J. Air Waste Manag. Assoc. 2021, 71, 934–948. [Google Scholar] [CrossRef] [PubMed]
- CCA. Comisión Para la Cooperación Ambiental. Reducción de Emisiones Generadas Por El Movimiento de Bienes en El Transporte Marítimo en América del Norte; Evaluación de los efectos de las emisiones de buques en México: Montreal, QC, Canadá, 2018; pp. 1–42. Available online: http://www3.cec.org/islandora/en/item/11787-reducci-n-de-emisiones-generadas-por-el-movimiento-de-bienes-en-el-transporte-es.pdf (accessed on 20 September 2021).
- NFCCC. United Nations Framework Convention on Climate Change. Mexico Submits its Climate Action Plan Ahead of 2015 Paris Agreement. 2015. Available online: https://www4.unfccc.int/sites/submissions/INDC/Published%20Documents/Mexico/1/MEXICO%20INDC%2003.30.2015.pdf (accessed on 20 September 2021).
- SEGOB-INECC. Gobierno de México. Instituto Nacional de Ecología y Cambio Climático. Inventario Nacional de Emisiones de Gases y Compuestos de Efecto Invernadero. 2018. Available online: https://www.gob.mx/inecc/acciones-y-programas/inventario-nacional-de-emisiones-de-gases-y-compuestos-de-efecto-invernadero (accessed on 20 September 2021).
- IPCC. Intergovernmental Panel on Climate Change. Task Force on National Greenhouse Gas Inventories. Inventory Software. 2006. Available online: https://www.ipcc-nggip.iges.or.jp/software/index.html (accessed on 20 September 2021).
- INEGyCEI. Inventario Nacional de Emisiones de Gases y Compuestos de Efecto Invernadero. Datos y Recursos de México. 2018. Available online: https://datos.gob.mx/busca/dataset/inventario-nacional-de-emisiones-de-gases-y-compuestos-de-efecto-invernadero-inegycei (accessed on 20 September 2021).
- SEGOB-SEMARNAT. Gobierno de México. Secretaría del Medio Ambiente y Recursos Naturales. Inventario Nacional de Emisiones de Contaminantes Criterio INEM. 2019. Available online: https://www.gob.mx/semarnat/acciones-y-programas/inventario-nacional-de-emisiones-de-contaminantes-criterio-inem (accessed on 20 September 2021).
- SCT. Secretaría de Comunicaciones y Transportes, México. Informe Estadístico Mensual. Movimiento de Carga, buques y Pasajeros en los Puertos de México. Enero–diciembre, 2019–2020. 2020. Available online: http://www.sct.gob.mx/fileadmin/CGPMM/U_DGP/estadisticas/2020/Mensuales/12_diciembre_2020.pdf (accessed on 27 March 2020).
- Trozzi, C.; Vaccaro, R. Air Pollutant Emissions from Ships: High Tyrrhenian Sea Ports Case Study. In Proceedings of the First International Conference PORTS 98 Maritime Engineering and Ports, Genoa, Italy, 28–30 September 1998; pp. 1–11. Available online: https://www.researchgate.net/publication/236857601_Air_pollutant_emissions_from_ships_high_Tyrrhenian_Sea_ports_case_study (accessed on 3 May 2020).
- Trozzi, C.; Vaccaro, R. Methodologies for Estimating Air Pollutants Emissions from Ships: A 2006 Update. In Proceedings of the Environment & Transport 2nd International Scientific Symposium, Reims, France, 12–14 June 2006; pp. 1–8. Available online: https://www.researchgate.net/publication/259470337_Methodologies_for_estimating_air_pollutant_emissions_from_ships_a_2006_update (accessed on 3 May 2020).
- Shipping Activities. Emission Inventory Guidebook. In National Sea Traffic, National Fishing, International Sea Traffic, Inland Goods Carrying Vessels; European Environment Agency: Copenhagen, Denmark, 2002. [Google Scholar]
- Cooper, D.; Gustafsson, T. Methodology for calculating emissions from ships: 1. Update of emission factors. In Swedish Methodology for Environmental Data; SMED; Swedish Meteorological and Hydrological Institute: Norrkoping, Sweden, 2004; pp. 13–28. Available online: https://www.diva-portal.org/smash/get/diva2:1117198/FULLTEXT01.pdf (accessed on 17 January 2020)ISSN 1652-4179.
- USEPA. United States for Environmental Protection Agency. Chapter 2: Ocean Going Vessels. In Current Methodologies in Preparing Mobile Source Port-Related Emission Inventories; Final Report; United States for Environmental Protection Agency: Washington, DC, USA, 2009; pp. 1–26. Available online: https://www.epa.gov/sites/production/files/2016-06/documents/2009-port-inventory-guidance.pdf (accessed on 2 November 2019).
- NEAA. Netherlands Environmental Assessment Agency. Methodologies for Estimating Shipping Emissions in the Netherlands. In A Documentation of Currently used Emission Factors and Related Activity Data; NEAA. Netherlands Environmental Assessment Agency: AH Bilthoven, The Netherlands, 2010; pp. 13–38. Available online: https://www.researchgate.net/publication/277223271_Methodologies_for_estimating_shipping_emissions_in_the_Netherlands_A_documentation_of_currently_used_emission_factors_and_data_on_related_activity (accessed on 20 June 2020)ISSN 1875-2314.
- Trozzi, C. Emission Estimate Methodology for Maritime Navigation. USEPA. In Proceedings of the 19th International Emissions Inventory Conference, San Antonio, TX, USA, 20–30 September 2010; pp. 1–11. Available online: https://www.researchgate.net/publication/233387511_Emission_estimate_methodology_for_maritime_navigation (accessed on 20 June 2020).
- Venturini, G.; Iris, C.; Kontovas, C.A.; Larsen, A. The multi-port berth allocation problem with speed optimization and emission considerations. Transp. Res. Part D Transp. Environ. 2017, 54, 142–159. [Google Scholar] [CrossRef] [Green Version]
- Zhang, X.; Lam, J.S.L.; Çağatay, I. Cold chain shipping mode choice with environmental and financial perspectives. Transp. Res. Part D Transp. Environ. 2020, 87, 102537. [Google Scholar] [CrossRef]
- Johansson, L.; Jalkanen, J.-P.; Kukkonen, J. Global assessment of shipping emissions in 2015 on a high spatial and temporal resolution. Atmos. Environ. 2017, 167, 403–415. [Google Scholar] [CrossRef]
- Jalkanen, J.-P.; Brink, A.; Kalli, J.; Pettersson, H.; Kukkonen, J.; Stipa, T. A modelling system for the exhaust emissions of marine traffic and its application in the Baltic Sea area. Atmos. Chem. Phys. Discuss. 2009, 9, 9209–9223. [Google Scholar] [CrossRef] [Green Version]
- Jalkanen, J.-P.; Johansson, L.; Kukkonen, J.; Brink, A.; Kalli, J.; Stipa, T. Extension of an assessment model of ship traffic exhaust emissions for particulate matter and carbon monoxide. Atmos. Chem. Phys. Discuss. 2012, 12, 2641–2659. [Google Scholar] [CrossRef] [Green Version]
- Jalkanen, J.-P.; Johansson, L.; Kukkonen, J. A comprehensive inventory of the ship traffic exhaust emissions in the Baltic Sea from 2006 to 2009. Ambio 2014, 43, 311–324. [Google Scholar] [CrossRef] [Green Version]
- Simonsen, M.; Walnum, H.J.; Gössling, S. Model for Estimation of Fuel Consumption of Cruise Ships. Energies 2018, 11, 1059. [Google Scholar] [CrossRef] [Green Version]
- Toscano, D.; Murena, F. Atmospheric ship emissions in ports: A review. Correlation with data of ship traffic. Atmos. Environ. X 2019, 4, 100050. [Google Scholar] [CrossRef]
- Zhang, L.; Meng, Q.; Fwa, T.F. Big AIS data based spatial-temporal analyses of ship traffic in Singapore port waters. Transp. Res. Part E Logist. Transp. Rev. 2019, 129, 287–304. [Google Scholar] [CrossRef]
- Browning, L.; Bailey, K. Current Methodologies and Best Practices in Preparing Port Emissions Inventories. Final Report. USEPA. 2006. Available online: https://ntrl.ntis.gov/NTRL/dashboard/searchResults/titleDetail/PB2006112993.xhtml (accessed on 20 November 2019).
- Dalsoren, S.B.; Eide, M.S.; Endresen, O.; Mjelde, A.; Gravir, G.; Isaken, I.S.A. Update on emissions and environment impacts from the international fleet of ships: The contribution from major ship types and ports. Atmos. Chem. Phys. 2009, 9, 2171–2194. [Google Scholar] [CrossRef] [Green Version]
- Moreno-Gutiérrez, J.; Calderay, F.; Saborido, N.; Boile, M.; Valero, R.R.; Durán-Grados, V. Methodologies for estimating shipping emissions and energy consumption: A comparative analysis of current methods. Energy 2015, 86, 603–616. [Google Scholar] [CrossRef]
- Hulskotte, J.; van der Gon, H.D. Fuel consumption and associated emissions from seagoing ships at berth derived from an on-board survey. Atmos. Environ. 2010, 44, 1229–1236. [Google Scholar] [CrossRef]
- USEPA. United States for Environmental Protection Agency. Analysis of Commercial Marine Vessels Emissions and Fuel Consumption Data; USEPA: Washington, DC, USA, 2000. [Google Scholar]
- Corbett, J.J.; Koehler, H.W. Updated emissions from ocean shipping. J. Geophys. Res. 2003, 108, 4650. [Google Scholar] [CrossRef]
- Eyring, V.; Köhler, H.W.; Van Aardenne, J.; Lauer, A. Emissions from international shipping: 1. The last 50 years. J. Geophys. Res. Space Phys. 2005, 110, 17305. [Google Scholar] [CrossRef]
- Rodríguez, G.D.M.; Martin-Alcalde, E.; Murcia-González, J.; Saurí, S. Evaluating air emission inventories and indicators from cruise vessels at ports. WMU J. Marit. Aff. 2017, 16, 405–420. [Google Scholar] [CrossRef] [Green Version]
- Zhang, Y.; Gu, J.; Wang, W.; Peng, Y.; Wu, X.; Feng, X. Inland port vessel emissions inventory based on Ship Traffic Emission Assessment Model–Automatic Identification System. Adv. Mech. Eng. 2017, 9, 1–9. [Google Scholar] [CrossRef]
- Carletti, S.; Latini, G.; Passerini, G. Air pollution and port operations: A case study and strategies to clean up. Sustain. City VII 2012, 1, 391–403. [Google Scholar] [CrossRef]
- Gutiérrez, J.; Grados, V.; Uriondo, Z.; Llamas, J. Emission-factor uncertainties in maritime transport in the Strait of Gibraltar, Spain. Atmos. Atmos. Meas. Tech. Discuss. 2012, 5, 5953–5991. [Google Scholar] [CrossRef]
- Corbett, J.J.; Winebrake, J.J.; Green, E.H.; Kasibhatla, P.; Eyring, V.; Lauer, A. Mortality from Ship Emissions: A Global Assessment. Environ. Sci. Technol. 2007, 41, 8512–8518. [Google Scholar] [CrossRef]
- Smith, T.; Jalkanen, J.; Anderson, B.A.; Corbett, J.J.; Faber, J.; Hanayama, S.; O’Keeffe, E.; Parker, S.; Johansson, L.; Aldous, L.; et al. Third IMO GHG Study; International Maritime Organization: London, UK, 2014; Available online: https://www.researchgate.net/publication/281242722_Third_IMO_GHG_Study_2014_Executive_Summary_and_Final_Report (accessed on 10 December 2019).
- Styhre, L.; Winnes, H.; Black, J.; Lee, J.; Le-Griffin, H. Greenhouse gas emissions from ships in ports–Case studies in four continents. Transp. Res. Part D Transp. Environ. 2017, 54, 212–224. [Google Scholar] [CrossRef]
- Iris, Ç.; Lam, J.S.L. A review of energy efficiency in ports: Operational strategies, technologies and energy management systems. Renew. Sustain. Energy Rev. 2019, 112, 170–182. [Google Scholar] [CrossRef]
- Merk, O. International Transport Forum. Shipping Emissions in Ports; International Transport Forum: Paris, France, 2014; Available online: https://www.itf-oecd.org/sites/default/files/docs/dp201420.pdf (accessed on 24 October 2019).
- Knežević, V.; Radonja, R.; Dundović, Č. Emission Inventory of Marine Traffic for the Port of Zadar. Pomorstvo 2018, 32, 239–244. [Google Scholar] [CrossRef] [Green Version]
- Cullinane, K.; Tseng, P.-H.; Wilmsmeier, G. Estimation of container ship emissions at berth in Taiwan. Int. J. Sustain. Transp. 2016, 10, 466–474. [Google Scholar] [CrossRef]
- Yang, D.-Q.; Kwan, S.H.; Lu, T.; Fu, Q.-Y.; Cheng, J.-M.; Streets, D.G.; Wu, Y.-M.; Li, J.-J. An Emission Inventory of Marine Vessels in Shanghai in 2003. Environ. Sci. Technol. 2007, 41, 5183–5190. [Google Scholar] [CrossRef]
- Deniz, C.; Durmuşoğlu, Y. Estimating shipping emissions in the region of the Sea of Marmara, Turkey. Sci. Total. Environ. 2008, 390, 255–261. [Google Scholar] [CrossRef]
- Tzannatos, E. Ship emissions and their externalities for the port of Piraeus–Greece. Atmos. Environ. 2010, 44, 400–407. [Google Scholar] [CrossRef]
- Gibbs, D.; Rigot-Muller, P.; Mangan, J.; Lalwani, C. The role of sea ports in end-to-end maritime transport chain emissions. Energy Policy 2014, 64, 337–348. [Google Scholar] [CrossRef] [Green Version]
- McArthur, D.P.; Osland, L. Ships in a city harbour: An economic valuation of atmospheric emissions. Transp. Res. Part D Transp. Environ. 2013, 21, 47–52. [Google Scholar] [CrossRef]
- Cullinane, K.; Cullinane, S. Atmospheric Emissions from Shipping: The Need for Regulation and Approaches to Compliance. Transp. Rev. 2013, 33, 377–401. [Google Scholar] [CrossRef]
- Deniz, C.; Kilic, A.; Cıvkaroglu, G. Estimation of shipping emissions in Candarli Gulf, Turkey. Environ. Monit. Assess. 2010, 171, 219–228. [Google Scholar] [CrossRef] [PubMed]
- Papaefthimiou, S.; Maragkogianni, A.; Andriosopoulos, K. Evaluation of cruise ships emissions in the Mediterranean basin: The case of Greek ports. Int. J. Sustain. Transp. 2016, 10, 985–994. [Google Scholar] [CrossRef]
- Whall, C.; Stavrakaki, A.; Ritchie, A.; Green, C.; Shialis, T.; Minchin, W.; Cohen, A.; Stokes, R. Concawe. Ship Emissions Inventory-Mediterranean Sea; Final Report; Entec UK Limited: Newcastle, UK, 2007; p. 47. [Google Scholar]
- PAQS. Port Air Quality Strategies. Department of Transport. Moving Britain Ahead. London. 2002. Available online: https://assets.publishing.service.gov.uk/government/uploads/system/uploads/attachment_data/file/815665/port-air-quality-strategies.pdf (accessed on 20 March 2020).
- Wang, X.; Shen, Y.; Lin, Y.; Pan, J.; Zhang, Y.; Louie, P.K.K.; Li, M.; Fu, Q. Atmospheric pollution from ships and its impact on local air quality at a port site in Shanghai. Atmos. Chem. Phys. Discuss. 2019, 19, 6315–6330. [Google Scholar] [CrossRef] [Green Version]
- AQMB. Air Quality Monitoring in Barcelona Port, 2020. Available online: http://www.portdebarcelona.cat/en/web/el-port/108 (accessed on 28 August 2020).
- AQMLA. Air Quality Monitoring. Port Los Angeles Harbor. 2020. Available online: https://www.portoflosangeles.org/environment/air-quality/air-quality-monitoring (accessed on 28 August 2020).
- Saraçoğlu, H.; Deniz, C.; Kılıç, A. An Investigation on the Effects of Ship Sourced Emissions in Izmir Port, Turkey. Sci. World J. 2013, 2013, 218324. [Google Scholar] [CrossRef]
- Endresen, Ø.; Sørgård, E.; Sundet, J.K.; Dalsøren, S.B.; Isaksen, I.S.A.; Berglen, T.F.; Gravir, G. Emission from international sea transportation and environmental impact. J. Geophys. Res. Atoms. 2003, 108. [Google Scholar] [CrossRef]
- Viana, M.; Hammingh, P.; Colette, A.; Querol, X.; Degraeuwe, B.; De Vlieger, I.; Van Aardenne, J. Impact of maritime transport emissions on coastal air quality in Europe. Atmos. Environ. 2014, 90, 96–105. [Google Scholar] [CrossRef]
- Lloyd’s Register. Sulphur 2020: What’s Your Plan? In Guidance for Shipowners and Operators on MARPOL Annex VI Sulphur Regulation; Lloyd’s Register Group Limited: London, UK, 2018; Available online: https://www.lr.org/en/sulphur-2020/ (accessed on 25 September 2020).
- ENTEC; European Commission; Directorate General Environment. Ship Emissions Inventory–Mediterranean Sea; Final Report, A report for CONCAWE; ENTEC UK Limited: Newcastle Upon Tyne, UK; European Commission: Brussels, Belgium; Directorate General Environment: Brussels, Belgium, 2007. [Google Scholar]
- Nicewicz, G.; Tarnapowicz, D. Assessment of Marine Auxiliary Engines Load Factor in Ports. Manag. Syst. Prod. Eng. 2012, 3, 12–17. Available online: https://www.researchgate.net/publication/298026922_Assessment_of_marine_auxiliary_engines_load_factor_in_ports (accessed on 15 October 2019).
- ENTEC. European Commission. Directorate General Environment. Service Contract on Ship Emissions: Assignment Abatement and Market-Based Instruments. Task 1 Preliminary Assignment of Ship Emissions to European Countries, 2005. Available online: https://ec.europa.eu/environment/air/pdf/task1_asign_report.pdf (accessed on 22 May 2020).







| Port Name | State | RoRo | Container | Bulk Carrier | Tanker | Total | |
|---|---|---|---|---|---|---|---|
| Pacific | Rosarito | BC | - | - | - | 133 | 133 |
| El Sauzal | BC | - | - | - | - | - | |
| Ensenada | BC | 93 | 243 | 153 | 4 | 493 | |
| Isla de Cedros | BC | - | 0 | 750 | - | 750 | |
| Guerrero Negro | BCS | - | 0 | 688 | - | 688 | |
| San Carlos | BCS | - | 0 | 0 | 11 | 11 | |
| Pichilingue | BCS | 24 | 0 | 102 | 40 | 166 | |
| La Paz | BCS | 10 | 0 | 0 | 150 | 160 | |
| San Juan de la Costa | BCS | - | - | 6 | - | 6 | |
| Isla San Marcos | BCS | - | - | 47 | - | 47 | |
| Punta Santa María | BCS | - | - | 30 | - | 30 | |
| Santa Rosalia | BCS | - | - | 0 | - | - | |
| Puerto Libertad | SON | - | - | 0 | - | - | |
| Guaymas | SON | 19 | 41 | 203 | 137 | 400 | |
| Topolobampo | SIN | 10 | - | 148 | 154 | 312 | |
| Mazatlán | SIN | 247 | 116 | 0 | 151 | 514 | |
| Manzanillo | COL | 203 | 1256 | 220 | 150 | 1829 | |
| Cuyutlán | COL | - | - | - | 36 | 36 | |
| Lázaro Cárdenas | MICH | 270 | 633 | 157 | 201 | 1261 | |
| Acapulco | GRO | 28 | - | - | 74 | 102 | |
| Salina Cruz | OAX | 1 | 13 | 3 | 203 | 220 | |
| Puerto Chiapas | CHIS | 24 | 54 | 9 | - | 87 | |
| TOTAL | 929 | 2356 | 2516 | 1444 | 7245 | ||
| Gulf-Caribbean | Altamira | TMPS | 372 | 535 | 221 | 418 | 1546 |
| Tampico | TMPS | 178 | 72 | 167 | 307 | 724 | |
| Tuxpan | VER | 84 | 59 | 70 | 439 | 652 | |
| Veracruz | VER | 474 | 642 | 371 | 374 | 1861 | |
| Coatzacoalcos | VER | 87 | 53 | 107 | 934 | 1181 | |
| Frontera | TAB | - | - | - | - | - | |
| Chiltepec | TAB | - | - | - | - | - | |
| Dos Bocas | TAB | 3469 | - | 60 | 490 | 4019 | |
| Carmen | CAMP | 2677 | - | 101 | 41 | 2819 | |
| Seybaplaya | CAMP | 210 | - | - | - | 210 | |
| Lerma | CAMP | - | - | - | 37 | 37 | |
| Cayo Arcas | CAMP | - | - | - | 167 | 167 | |
| Progreso | YUC | 16 | 277 | 96 | 158 | 547 | |
| Las Coloradas | YUC | - | - | - | - | - | |
| Puerto Morelos | Q.ROO | - | 52 | - | - | 52 | |
| Punta Venado | Q.ROO | - | - | 184 | - | 184 | |
| TOTAL | 7567 | 1690 | 1377 | 3365 | 13,999 | ||
| Ship Type | Sample of Ships, [7,69] | Total GT [7,69] | Average GT | Power Installed of the ME, [69] | Power of the ME, kW | Ratio AE/ME | Power of the AE, kW |
|---|---|---|---|---|---|---|---|
| RoRo | 10,670 | 182,580,944 | 17,112 | 11,425 | 0.39 | 4456 | |
| Container | 13,318 | 324,977,361 | 24,401 | 19,509 | 0.25 | 4877 | |
| Bulk Carrier | 7111 | 98,055,089 | 13,789 | 5486 | 0.38 | 2085 | |
| Tanker | 11,489 | 213,358,950 | 18,571 | 5824 | 0.29 | 1689 |
| Position | Engine | Emission Factors [7,8,22] | |||||||
|---|---|---|---|---|---|---|---|---|---|
| NOx | SO2 | CO | PM | NMVOC | CO2 | ||||
| 4.5% a | 3.5% b | 0.5% c | |||||||
| Maneuver gpollutant/kW-h | ME | 9.9 | 20.07 | 15.61 | 2.23 | 1.7 | 0.9 | 1.5 | 710 |
| AE | 13 | 19.53 | 15.19 | 2.17 | 1.6 | 0.3 | 0.4 | 690 | |
| Hoteling gpollutant/kW-h | AE | 13 | 19.53 | 15.19 | 2.17 | 1.6 | 0.3 | 0.4 | 690 |
Publisher’s Note: MDPI stays neutral with regard to jurisdictional claims in published maps and institutional affiliations. |
© 2021 by the authors. Licensee MDPI, Basel, Switzerland. This article is an open access article distributed under the terms and conditions of the Creative Commons Attribution (CC BY) license (https://creativecommons.org/licenses/by/4.0/).
Share and Cite
Fuentes García, G.; Sosa Echeverría, R.; Baldasano Recio, J.M.; W. Kahl, J.D.; Granados Hernández, E.; Alarcón Jímenez, A.L.; Antonio Durán, R.E. Atmospheric Emissions in Ports Due to Maritime Traffic in Mexico. J. Mar. Sci. Eng. 2021, 9, 1186. https://doi.org/10.3390/jmse9111186
Fuentes García G, Sosa Echeverría R, Baldasano Recio JM, W. Kahl JD, Granados Hernández E, Alarcón Jímenez AL, Antonio Durán RE. Atmospheric Emissions in Ports Due to Maritime Traffic in Mexico. Journal of Marine Science and Engineering. 2021; 9(11):1186. https://doi.org/10.3390/jmse9111186
Chicago/Turabian StyleFuentes García, Gilberto, Rodolfo Sosa Echeverría, José María Baldasano Recio, Jonathan D. W. Kahl, Elías Granados Hernández, Ana Luisa Alarcón Jímenez, and Rafael Esteban Antonio Durán. 2021. "Atmospheric Emissions in Ports Due to Maritime Traffic in Mexico" Journal of Marine Science and Engineering 9, no. 11: 1186. https://doi.org/10.3390/jmse9111186
APA StyleFuentes García, G., Sosa Echeverría, R., Baldasano Recio, J. M., W. Kahl, J. D., Granados Hernández, E., Alarcón Jímenez, A. L., & Antonio Durán, R. E. (2021). Atmospheric Emissions in Ports Due to Maritime Traffic in Mexico. Journal of Marine Science and Engineering, 9(11), 1186. https://doi.org/10.3390/jmse9111186

